相关产品推荐更多 >
万千商家帮你免费找货
0 人在求购买到急需产品
- 详细信息
- 技术资料
- 库存:
大量
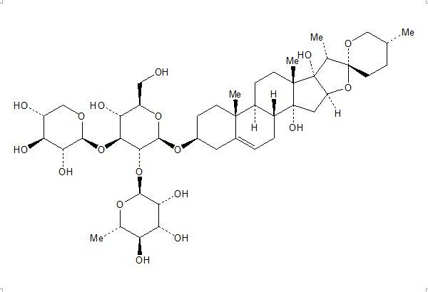
- 英文名:
Ophiogenin 3-O-α-L-rhamnopyranosyl(1→2)[β-D-xylopyranosyl(1→3)]-β-D-glucopyranoside
- 保质期:
1-3年
- 供应商:
上海沪震实业有限公司
- 保存条件:
常温或2-8℃保存
- 规格:
5mg/20mg
慈溪麦冬皂苷A(288143-27-1)
【Product Name】 Ophiogenin 3-O-α-L-rhamnopyranosyl(1→2)[β-D-xylopyranosyl(1→3)]-β-D-glucopyranoside
【CAS Number】 288143-27-1
【Synonyms】 Cixi-ophiopogon A
【中文名称】 慈溪麦冬皂苷A
【Chemical Name】 β-D-Glucopyranoside, (3β,25R)-14,17-dihydroxyspirost-5-en-3-yl O-6-deoxy-α-L-mannopyranosyl-(1→2)-O-[β-D-xylopyranosyl-(1→3)]-
【Chemical Formula】 C44H70O18
【Molecular Weight】 887.03
【Chemotaxonomic Group】 甾体皂苷及其苷元类 Steroid Saponins and its Sapogenins

相关标准品-对照品列表:
| HZ21376-100ml | THZis-EDTA缓冲液(1×TE,pH8.0) | \N | \N | 100ml | 30.00 | |
| HZ21376-500ml | THZis-EDTA缓冲液(1×TE,pH8.0) | \N | \N | 500ml | 80.00 | |
| HZ21378-500ml | THZis-EDTA缓冲液(10×TE,pH7.4) | \N | \N | 500ml | 110.00 | |
| HZ21379-500ml | THZis-EDTA缓冲液(10×TE,pH7.6) | \N | \N | 500ml | 110.00 | |
| HZ21380-500ml | THZis-EDTA缓冲液(10×TE,pH8.0) | \N | \N | 500ml | 100.00 | |
| HZ21381-500ml | TES缓冲液(1×,pH7.5) | \N | \N | 500ml | 80.00 | |
| HZ21382-500ml | TES缓冲液(10×,pH7.5) | \N | \N | 500ml | 120.00 | |
| HZ21383-100ml | THZis-HCl缓冲液(1mol/L,pH7.0) | \N | \N | 100ml | 60.00 | |
| HZ21383-500ml | THZis-HCl缓冲液(1mol/L,pH7.0) | \N | \N | 500ml | 140.00 | |
| HZ21385-100ml | THZis-HCl缓冲液(1mol/L,pH7.5) | \N | \N | 100ml | 60.00 | |
| HZ21385-500ml | THZis-HCl缓冲液(1mol/L,pH7.5) | \N | \N | 500ml | 140.00 |
风险提示:丁香通仅作为第三方平台,为商家信息发布提供平台空间。用户咨询产品时请注意保护个人信息及财产安全,合理判断,谨慎选购商品,商家和用户对交易行为负责。对于医疗器械类产品,请先查证核实企业经营资质和医疗器械产品注册证情况。
技术资料暂无技术资料 索取技术资料
慈溪麦冬皂苷A(288143-27-1)
¥850 - 1800










