相关产品推荐更多 >
万千商家帮你免费找货
0 人在求购买到急需产品
- 详细信息
- 文献和实验
- 技术资料
- 库存:
大量
- 英文名:
Saikosaponin D
- 保质期:
1-3年
- 供应商:
上海沪震实业有限公司
- 保存条件:
常温或2-8℃保存
- 规格:
5mg/25mg
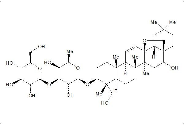
【Product Name】 Saikosaponin D
【CAS Number】 20874-52-6
【Synonyms】 Saikosaponin D
【中文名称】 柴胡皂苷D
【Chemical Name】 β-D-Galactopyranoside, (3β,4α,16α)-13,28-epoxy-16,23-dihydroxyolean-11-en-3-yl 6-deoxy-3-O-β-D-glucopyranosyl-
【Chemical Formula】 C42H68O13
【Molecular Weight】 780.99
【Chemotaxonomic Group】 三萜类 Triterpenoids

相关标准品-对照品列表:
| HZ20871-50ml | 免疫血清防腐剂(10×) | \N | \N | 50ml | 140.00 | |
| HZ20872-50ml | 免疫血清防腐剂(10×,荧光抗体用) | \N | \N | 50ml | 190.00 | |
| HZ20873-100ml | 明胶包被溶液 | \N | \N | 100ml | 120.00 | |
| HZ20874-500ml | 硼酸溶液(4mol/L) | \N | \N | 500ml | 130.00 | |
| HZ20875-500ml | 硼酸钠溶液(1mol/L,pH8.0) | \N | \N | 500ml | 90.00 | |
| HZ20876-500ml | 硼砂缓冲液(0.05mol/L,pH9.3-10.1) | \N | \N | 500ml | 80.00 | |
| HZ20877-500ml | 硼酸-硼砂缓冲液(pH7.4-9.0) | \N | \N | 500ml | 70.00 | |
| HZ20878-500ml | 硼酸缓冲盐溶液(0.015mol/L,pH8.5) | \N | \N | 500ml | 70.00 | |
| HZ20879-500ml | 硼酸盐溶液(0.1mol/L,pH8.5-10) | \N | \N | 500ml | 70.00 |
风险提示:丁香通仅作为第三方平台,为商家信息发布提供平台空间。用户咨询产品时请注意保护个人信息及财产安全,合理判断,谨慎选购商品,商家和用户对交易行为负责。对于医疗器械类产品,请先查证核实企业经营资质和医疗器械产品注册证情况。
文献和实验-连接区;) 会发生随机重组,各基因片段可变形式分别为,V 区(52 种),D 区(2 种),J区(13 种),配合V(D)J 片段中碱基的插入和缺失,进一步相互间的排列组合存在 1012 种以上组合形式,以此构成了 TCR 和 BCR 多样性的来源,而这种多样性正是适应性免疫系统能够识别众多抗原的基础。 免疫组库测序有必要做吗? 对于 1012 个以上的抗原识别基数来说,群体和个体间的免疫组库的丰富程度能够直接反应机体免疫系统情况,通常 TCR/BCR 的亚型越多,机体识别病原
数在α=0.05的水准处相差显著,下面将六个平均数进一步作两两比较: 从表8.11右侧六个动物的平均值看,Ⅱ号动物平均值为8.62,最高,其次是Ⅵ号动物的7.52,这两个均数比较后决定是否再和别的几个比。仍用最小显著差数法,先求出 现8.62-7.52=1.10>D 0.05,20 =0.98,故Ⅱ号与Ⅵ号动物在α=0.05水准处相差显著。Ⅱ号与其它各号动物的差别更大。下面查临界q值,比次大均数与最小均数
Cell Metabo: 另辟蹊径!武汉大学李红良等团队合作发现 2 型糖尿病治疗新靶点
,通过靶向肝糖异生来降低血糖水平已经成为 T2D 极具前景的治疗策略,并且正在临床试验中进行积极的测试,未来可期! 本周推荐:美少女福音!Science 重磅报道,他们率先实现皮肤无疤痕愈合眼看它就要封神了...Science 报道烟酰胺可增强胰岛素敏感性、促进肌肉重塑参考文献:1. Foreman, Kyle J et al. 2018, Lancet. https:// 10.1016/S0140-6736(18)31694-52. Petersen MC, Shulman GI. 2018
技术资料暂无技术资料 索取技术资料










