相关产品推荐更多 >
万千商家帮你免费找货
0 人在求购买到急需产品
- 详细信息
- 技术资料
- 库存:
大量
- 英文名:
Bacopasaponin C
- 保质期:
1-3年
- 供应商:
上海沪震实业有限公司
- 保存条件:
常温或2-8℃保存
- 规格:
10mg/25mg/100mg
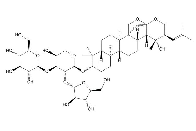
假马齿苋皂苷C(178064-13-6)
【Product Name】 Bacopasaponin C
【CAS Number】 178064-13-6
【中文名称】 假马齿苋皂苷C
【Chemical Name】 α-L-Arabinopyranoside, (1S,2R,4aR,6aS,6bR,8aR,10S,12aR,12bR,14aR,14bS)-hexadecahydro-1-hydroxy-1,6b,9,9,12a-pentamethyl-2-(2-methyl-1-propen-1-yl)-4a,6a-methano-1H,6H-phenanthro[2,1-d]pyrano[2,3-β]pyran-10-yl O-α-L-arabinofuranosyl-(1→2)-O-[β-D-gluc
【Chemical Formula】 C46H74O17
【Molecular Weight】 899.08
【Chemotaxonomic Group】 三萜类 Triterpenoids

相关标准品-对照品列表:
| HZ20542-3*50ml | 淀粉样物质染色液(改良Highman刚果红法) | \N | \N | 3*50ml | 260.00 | |
| HZ20543-4*50ml | 淀粉样物质染色液(PuchtleHZ碱性刚果红法) | \N | \N | 4*50ml | 310.00 | |
| HZ20544-4*50ml | 淀粉样物质染色液(改良StoHZes刚果红法) | \N | \N | 4*50ml | 310.00 | |
| HZ20545-2*50ml | 淀粉样物质染色液(甲紫法) | \N | \N | 2*50ml | 180.00 | |
| HZ20546-3*100ml | 黏液卡红染色液 | \N | \N | 3*100ml | 630.00 | |
| HZ20546-3*50ml | 黏液卡红染色液 | \N | \N | 3*50ml | 350.00 | |
| HZ20548-3*25ml | 黏液HID-AHZ染色液 | \N | \N | 3*25ml | 450.00 | |
| HZ20548-3*50ml | 黏液HID-AHZ染色液 | \N | \N | 3*50ml | 860.00 | |
| HZ20550-3*100ml | 阿利新蓝染色液(pH2.5) | \N | \N | 3*100ml | 570.00 | |
| HZ20550-3*50ml | 阿利新蓝染色液(pH2.5) | \N | \N | 3*50ml | 330.00 |
风险提示:丁香通仅作为第三方平台,为商家信息发布提供平台空间。用户咨询产品时请注意保护个人信息及财产安全,合理判断,谨慎选购商品,商家和用户对交易行为负责。对于医疗器械类产品,请先查证核实企业经营资质和医疗器械产品注册证情况。
技术资料暂无技术资料 索取技术资料
假马齿苋皂苷C(178064-13-6)
¥1300 - 8000










