相关产品推荐更多 >
万千商家帮你免费找货
0 人在求购买到急需产品
- 详细信息
- 文献和实验
- 技术资料
- 库存:
大量
- 英文名:
Pulchinenoside B4
- 保质期:
1-3年
- 供应商:
上海沪震实业有限公司
- 保存条件:
常温或2-8℃保存
- 规格:
5mg/10mg/25mg
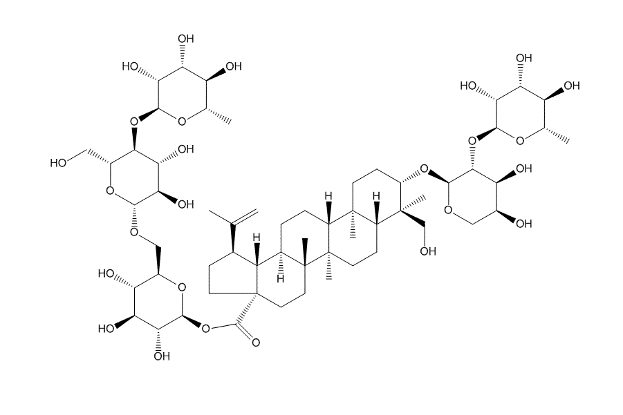
白头翁皂苷B4(129741-57-7)
【Product Name】 Pulchinenoside B4
【CAS Number】 129741-57-7
【Del.CASNumber】 1310041-11-2
【中文名称】 白头翁皂苷B4
【Chemical Name】 Lup-20(29)-en-28-oic acid, 3-[[2-O-(6-deoxy-α-L-mannopyranosyl)-α-L-arabinopyranosyl]oxy]-23-hydroxy-, O-6-deoxy-α-L-mannopyranosyl-(1→4)-O-β-D-glucopyranosyl-(1→6)-β-D-glucopyranosyl ester, (3β,4α)-
【Chemical Formula】 C59H96O26
【Molecular Weight】 1221.39
【Chemotaxonomic Group】 三萜类 Triterpenoids

相关标准品-对照品列表:
| HZ20107-100ml | 胰蛋白酶-EDTA溶液(0.25%:0.02%) | \N | \N | 100ml | 50.00 | |
| HZ20108-100ml | 胰蛋白酶-碳酸氢铵溶液(0.25%:0.2%) | \N | \N | 100ml | 70.00 | |
| HZ20109-100ml | 胰蛋白酶溶液(0.25%) | 100ml | 50.00 | |||
| HZ20110-100ml | 胰蛋白酶溶液(2.5%) | \N | \N | 100ml | 80.00 | |
| HZ20111-100ml | 胰蛋白酶溶液(0.05%) | \N | \N | 100ml | 50.00 | |
| HZ20112-100ml | 胰蛋白酶溶液(0.1%) | \N | \N | 100ml | 50.00 | |
| HZ20113-100ml | 胰蛋白酶溶液(1%) | \N | \N | 100ml | 70.00 | |
| HZ20114-100ml | 碳酸氢钠溶液(3.7%) | \N | \N | 100ml | 100.00 | |
| HZ20115-100ml | 碳酸氢钠溶液(5.6%) | \N | \N | 100ml | 100.00 | |
| HZ20116-100ml | 碳酸氢钠溶液(7.4%) | \N | \N | 100ml | 100.00 | |
风险提示:丁香通仅作为第三方平台,为商家信息发布提供平台空间。用户咨询产品时请注意保护个人信息及财产安全,合理判断,谨慎选购商品,商家和用户对交易行为负责。对于医疗器械类产品,请先查证核实企业经营资质和医疗器械产品注册证情况。
文献和实验]。 ( 3 ) 洋地黄阜苷增溶液:5.0% 洋地黄阜苷(Fluka,Buchs,Switzerland) ,30 mmol/L HEPPS,150 mmol/L 乙酸钾,10% ( V/V ) 甘油,pH 7.4,4°C 贮藏备用。这个增溶液要新鲜配制,配制时短时间加热到 98°C,溶解洋地黄皂苷。使用前加入苯甲基磺酰氟(PMSF) [ 终浓度为 2 mmol/L,储液配制:200 mmol/L PMSF ( m/V ) 溶解在乙醇溶液中]。 ( 4 ) 考马斯亮蓝染色液:5% 考马斯亮蓝 G-250
技术资料暂无技术资料 索取技术资料










