相关产品推荐更多 >
万千商家帮你免费找货
0 人在求购买到急需产品
- 详细信息
- 文献和实验
- 技术资料
- 库存:
大量
- 英文名:
Raddeanoside 20
- 保质期:
1-3年
- 供应商:
上海沪震实业有限公司
- 保存条件:
常温或2-8℃保存
- 规格:
5mg/10mg
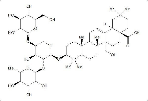
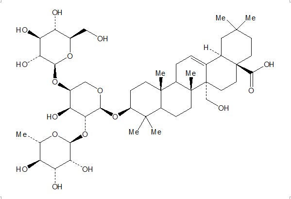
【Product Name】 Raddeanoside 20
【CAS Number】 335354-79-5
【Chemical Name】 Olean-12-en-28-oic acid, 3-[(O-6-deoxy-α-L-mannopyranosyl-(1→2)-O-[β-D-glucopyranosyl-(1→4)]-α-L-arabinopyranosyl)oxy]-27-hydroxy-, (3β
【Chemical Formula】 C47H76O17
【Molecular Weight】 913.11
【Chemotaxonomic Group】 三萜类 Triterpenoids

相关标准品-对照品列表:
| HZ50002-20mg | 2-氨基乙基膦酸 | (2-Aminoethyl)phosphinic acid | 85618-16-2 | HPLC≥98% | 20mg | 0.00 |
| HZ50003-20mg | 薰草菌素HZ | Lavendustin HZ | 125697-91-8 | HPLC≥98% | 20mg | 0.00 |
| HZ50004-20mg | 细交链孢菌酮酸 | Tenuazonic acid | 610-88-8 | HPLC≥97% | 20mg | 0.00 |
| HZ50005-20mg | 戊茄碱 | ValeHZoidine | 490-96-0 | HPLC≥95% | 20mg | 0.00 |
| HZ50006-20mg | 乙酰托品醇 | THZopine acetate | 3423-27-6 | HPLC≥95% | 20mg | 0.00 |
| HZ50007-20mg | 托品醇异丁酯 | THZopine isoHZutyHZate | 495-80-7 | HPLC≥95% | 20mg | 0.00 |
| HZ50008-20mg | 托品醇壬酸酯 | THZopine nonanoate | 146018-90-8 | HPLC≥95% | 20mg | 0.00 |
| HZ50009-20mg | 瓦托品 | ValtHZopine | 495-82-9 | HPLC≥95% | 20mg | 0.00 |
| HZ50010-20mg | 妥帕可卡 | THZopacocaine | 537-26-8 | HPLC≥95% | 20mg | 0.00 |
| HZ50011-20mg | 异东莨菪醇 | Scopoline | 487-27-4 | HPLC≥98% | 20mg | 0.00 |
| HZ50012-20mg | 托品林 | Tigloidine | 533-08-4 | HPLC≥95% | 20mg | 0.00 |
| HZ50013-20mg | 猪屎青碱 | CHZotastHZiatine | 11051-94-8 | HPLC≥95% | 20mg | 0.00 |
风险提示:丁香通仅作为第三方平台,为商家信息发布提供平台空间。用户咨询产品时请注意保护个人信息及财产安全,合理判断,谨慎选购商品,商家和用户对交易行为负责。对于医疗器械类产品,请先查证核实企业经营资质和医疗器械产品注册证情况。
文献和实验3.58 3.41 3.29 3.20 3.12 3.06 2.96 2.86 2.76 2.64 2.52 2.39 15 16 4.69 4.08 3.73 3.50 3.34 3.22 3.12 3.05 2.99 2.89 2.79 2.68 2.57 2.45 2.32 16 17 4.62 4.01 3.66 3.44 3.28 3.16 3.06 2.98 2.92 2.82 2.72 2.62 2.50 2.38 2.25 17 18 4.56 3.95
近期,来自广州海洋实验室的陈凯教授,昆明医科大学口腔医学院的杨禾丰教授和胡江天教授团队在 Bioactive Materials 杂志发表了题为「miR-423-5p-enriched small extracellular vesicles drive periodontal regeneration via Sfrp2+ cell expansion」的科研论文,IF = 20.3。 研究背景: 牙周缺损(periodontal defect)是牙周炎引发的成年人牙齿脱落的主要原因
平均气温7℃时萌发,气温升高,生长加快,遇霜冻则上部枯萎,冬季休眠。 以无性繁殖为主,割取孕穗前的地上茎,按行距25-30cm,株距4-5cm斜放于栽植沟上,埋土至2-3节位,保持适当水分即可成活。雨季,用有1-2个节的茎段栽植。盖土深3-5cm,10多天即可出苗。对氮肥十分敏感,当株高达60-100cm时即可刈割利用,留茬高3-5cm。春栽当年可刈割2-4次,第二年可刈4-6次,每公顷产青草75-113t,拔节中期刈割的青草含干物质15.57%,干物质中含粗蛋白质10.79%,粗脂肪1.99
技术资料暂无技术资料 索取技术资料










