相关产品推荐更多 >
万千商家帮你免费找货
0 人在求购买到急需产品
- 详细信息
- 文献和实验
- 技术资料
- 库存:
大量
- 英文名:
Clematichinenoside C
- 保质期:
1-3年
- 供应商:
上海沪震实业有限公司
- 保存条件:
常温或2-8℃保存
- 规格:
5mg/10mg
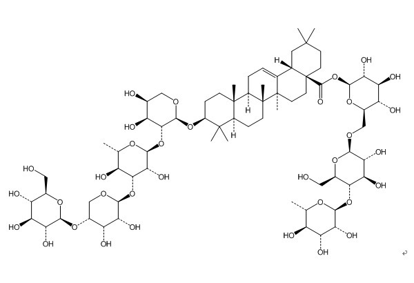
【Product Name】 Clematichinenoside C
【CAS Number】 177912-24-2
【Chemical Name】 Olean-12-en-28-oic acid, 3-[(O-β-D-glucopyranosyl-(1→4)-O-β-D-ribopyranosyl-(1→3)-O-6-deoxy-α-L-mannopyranosyl-(1→2)-α-L-arabinopyranosyl)oxy]-, O-6-deoxy-α-L-mannopyranosyl-(1→4)-O-β-D-glucopyranosyl
【Chemical Formula】 C70H114O34
【Molecular Weight】 1499.65
【Chemotaxonomic Group】 三萜类 Triterpenoids

相关标准品-对照品列表:
| HZ25979-10mg | K-卡拉胶七糖 | k-CaHZHZaheptaose tetHZasulsate tetHZasodium salt | HPLC≥98% | 10mg | 0.00 | |
| HZ25980-10mg | K-卡拉胶九糖 | k-CaHZHZananaose pentasulsate pentasodium salt | HPLC≥97% | 10mg | 0.00 | |
| HZ25981-10mg | K-卡拉胶十一糖 | Kappa-caHZHZaundecaose hexasodium salt | HPLC≥96% | 10mg | 0.00 | |
| HZ25982-10mg | K-卡拉胶十三糖 | Kappa-caHZHZatHZidecaose heptasodium salt | HPLC≥95% | 10mg | 0.00 | |
| HZ25983-10mg | K-卡拉胶十五糖 | Kappa-caHZHZapentadecaose octasodium salt | HPLC≥95% | 10mg | 0.00 | |
| HZ25984-10mg | K-卡拉胶十七糖 | Kappa-caHZHZaheptadecaose nonasodium salt | HPLC≥93% | 10mg | 0.00 | |
| HZ25985-10mg | K-卡拉胶十九糖 | Kappa-caHZHZanonadecaose decasodium salt | HPLC≥93% | 10mg | 0.00 | |
| HZ25986-10mg | 木六糖 | Xylohexaose | HPLC≥96% | 10mg | 0.00 | |
| HZ25987-10mg | 壳寡糖 | Chitosan oligosacchaHZide | dp3-7,MW≈1kDa 97% | 10mg | 500.00 | |
| HZ25988-10mg | 琼胶二糖醇 | AgaHZoHZitol | HPLC≥98% | 10mg | 0.00 | |
| HZ25989-10mg | 琼胶四糖醇 | AgaHZotetHZitol | HPLC≥98% | 10mg | 0.00 | |
| HZ25990-10mg | 琼胶六糖醇 | AgaHZohexaitol | 68289-59-8 | HPLC≥98% | 10mg | 0.00 |
风险提示:丁香通仅作为第三方平台,为商家信息发布提供平台空间。用户咨询产品时请注意保护个人信息及财产安全,合理判断,谨慎选购商品,商家和用户对交易行为负责。对于医疗器械类产品,请先查证核实企业经营资质和医疗器械产品注册证情况。
文献和实验结合,红细胞就不出现凝集,这种现象我们称为血凝抑制。血凝和血凝抑制,是病毒学研究常用的检测指标。 血凝集是流感病毒的主要中和抗原,其抗原性最易发生变异。它是流感病毒亚型划分的另一依据。 (二)分型、变异与流行 按核蛋白的可溶性补体结合抗原的不同,流感病毒被分为甲(A)、乙(B)和丙(C)三型;各型流感病毒又根据其表面血凝素及神经氨酸酶抗原性的不同再分为若干亚型。从世界上过去流感流行的资料分析,认为乙型和丙型流感病毒抗原性比较稳定;甲型的表面抗原HA、HA最易变异,二者可同时变
(C)三型;各型流感病毒又根据其表面血凝素及神经氨酸酶抗原性的不同再分为若干亚型。从世界上过去流感流行的资料分析,认为乙型和丙型流感病毒抗原性比较稳定;甲型的表面抗原HA、HA最易变异,二者可同时变异,也可分别发生。自1934年分离出甲型流感病毒以来,已发生多次世界性的大流行(见表24-2)以及大流行间期的小流行。其流行规模的大小,主要取决于病毒表面抗原变异幅度大小;幅度小,属于量变称抗原漂移(Antigen drift),是核酸序列的点突变,致使HA或HA抗原决定簇发生某些改变,并在免疫人群中
呈壶状,5岁以下儿童比重锐减为9.2%,反映了推行计划生育后人口出生率降低;但图C底部又略向外突出,5岁以下儿童比重又回升为10.3%,值得注意。 2.性比例:三次调查结果男女比值波动于1.06:1到1.08:1之间。随着年龄增长,比值下降,60岁以后女性比男性多,80岁以上高龄的男女比值为1:2,这反映了人口构成的自然规律。 3.65岁以上老人占的比重:1953年为4.37%,1982年上升为4.91%,1990年再上升为5.458%。按国际标准以65岁以上老人
技术资料暂无技术资料 索取技术资料










