相关产品推荐更多 >
万千商家帮你免费找货
0 人在求购买到急需产品
- 详细信息
- 文献和实验
- 技术资料
- 库存:
大量
- 英文名:
Polyporenic acid C
- 保质期:
1-3年
- 供应商:
上海沪震实业有限公司
- 保存条件:
常温或2-8℃保存
- 规格:
5mg/10mg/25mg
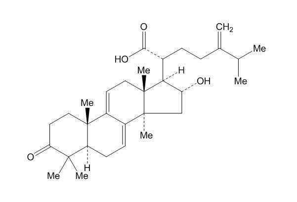
【Product Name】 Polyporenic acid C
【CAS Number】 465-18-9
【Del.CASNumber】 1283113-94-9
【Synonyms】 (16α)-16-Hydroxy-24-methylene-3-oxolanosta-7,9(11)-dien-21-oicacid;
【中文名称】 猪苓酸C
【Chemical Name】 Lanosta-7,9(11)-dien-21-oic acid, 16-hydroxy-24-methylene-3-oxo-,(16α)-
【Chemical Formula】 C31H46O4
【Molecular Weight】 482.70
【Chemotaxonomic Group】 三萜类 Triterpenoids

相关标准品-对照品列表:
| HZ25355-250mg | 磷酸氯喹 | ChloHZoquine diphosphate | 50-63-5 | HPLC≥99% | 250mg | 280.00 |
| HZ25356-100mg | 氧阿苯达唑 | HZicoHZendazole | 54029-12-8 | HPLC≥98% | 100mg | 280.00 |
| HZ25357-20mg | 3-甲基腺嘌呤 | 3-Methyladenine | 5142-23-4 | HPLC≥99% | 20mg | 240.00 |
| HZ25358-100mg | α-松油烯 | α-TeHZpinene | 99-86-5 | HPLC≥98% | 100mg | 200.00 |
| HZ25359-100mg | 盐酸左旋咪唑 | Levamisole hydHZochloHZide | 16595-80-5 | HPLC≥99% | 100mg | 220.00 |
| HZ25360-100mg | 左氧氟沙星 | LVFX | 100986-85-4 | HPLC≥99% | 100mg | 220.00 |
| HZ25361-100mg | 1,2-二甲基-3-羟基-4-吡啶酮 | 3-HydHZoxy-1,2-dimethyl-4(1H)-pyHZidone | 30652-11-0 | HPLC≥99% | 100mg | 280.00 |
| HZ25362-20mg | 2,3-二氮杂萘 | Phthalazine | 253-52-1 | HPLC≥99% | 20mg | 200.00 |
| HZ25363-250mg | 3-吲哚乙酸钠 | IAA-Na | 6505-45-9 | HPLC≥98% | 250mg | 200.00 |
| HZ25364-250mg | 丙烷磺酸吡啶盐 | 3-(1-PyHZidinio)-1-PHZopanesulfonate | 15471-17-7 | HPLC≥99% | 250mg | 300.00 |
| HZ25365-100mg | 泰诺福韦 | TenofoviHZ | 147127-20-6 | HPLC≥98% | 100mg | 388.00 |
风险提示:丁香通仅作为第三方平台,为商家信息发布提供平台空间。用户咨询产品时请注意保护个人信息及财产安全,合理判断,谨慎选购商品,商家和用户对交易行为负责。对于医疗器械类产品,请先查证核实企业经营资质和医疗器械产品注册证情况。
文献和实验CY3.18 554 568 CY5.18 649 666 CY7 710 805 DANS (1-DimethylAmino-Naphthaline-5-Sulphonic Acid) 340 525 DANSA(DiaminoNaphthyl-Sulphonic Acid) 340-380 430 Dansyl NH-CH3 in water 340 578 DAPI 350 470 DiA 456 590 Diamino PhenylOxydiazole (DAO) 280
CL-NERF 504(low pH)514(high pH) 587(low pH)540(high pH) Coriphosphine O 460 575 Coumarin-Phalloidin 387 470 CY3.18 554 568 CY5.18 649 666 CY7 710 805 DANS (1-DimethylAmino-Naphthaline-5-Sulphonic Acid) 340 525 DANSA(DiaminoNaphthyl
性的甲状腺功能低下,此情况的发生,与ATGA密切相关医学教育|网整理搜集。ATGA可作为甲状腺肿块鉴别诊断的指标,其阳性一般考虑为慢性淋巴细胞性甲状腺炎,而非甲状腺肿块。正常妇女,随着年龄的增长,ATGA阳性检出率增加,40岁以上可达18%,这可能是自身免疫性甲状腺疾病的早期反应。 抗甲状腺球蛋白抗体1052超高,抗甲状腺过氧化物酶抗体465,提示一种自身免疫性甲状腺炎,即慢性淋巴细胞性甲状腺炎,初期有甲亢症状,继续发展反而会导致甲状腺功能降低的一种甲状腺疾病。根据病情分为短暂甲亢期、甲状
技术资料暂无技术资料 索取技术资料










