相关产品推荐更多 >
万千商家帮你免费找货
0 人在求购买到急需产品
- 详细信息
- 技术资料
- 库存:
大量
- 英文名:
Tubeimoside II
- 保质期:
1-3年
- 供应商:
上海沪震实业有限公司
- 保存条件:
常温或2-8℃保存
- 规格:
5mg/10mg
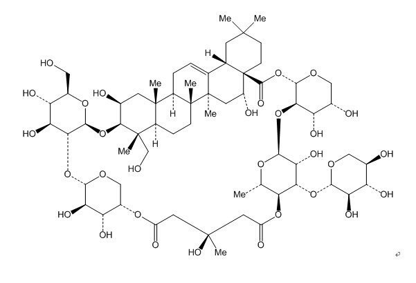
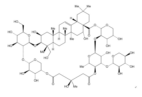
土贝母苷乙(115810-12-3)
【Product Name】 Tubeimoside II
【CAS Number】 115810-12-3
【Synonyms】 Tubeimoside B; TubeimosideII
【中文名称】 土贝母苷乙
【Chemical Name】 Olean-12-en-28-oic acid,3-[[2-O-[4-O-[(3S)-4-carboxy-3-hydroxy-3-methyl-1-oxobutyl]-α-L-arabinopyranosyl]-β-D-glucopyranosyl]oxy]-2,16,23-trihydroxy-,28-(O-β-D-xylopyranosyl-(1→3)-O-6-deoxy-α-L-manopy
【Chemical Formula】 C63H98O30
【Molecular Weight】 1335.45
【Chemotaxonomic Group】 三萜类 Triterpenoids

相关标准品-对照品列表:
| HZ24291-1g | 三氯叔丁醇 | ChloHZoHZutanol | 6001-64-5 | HPLC≥98% | 1g | 140.00 |
| HZ24292-100mg | 邻苯二甲酸二异丙酯 | DiisopHZopyl phthalate | 605-45-8 | HPLC≥98% | 100mg | 500.00 |
| HZ24293-10ml | 蜂蜡酸甲酯 | THZiacontanoic Acid Methyl EsteHZ | 629-83-4 | HPLC≥98% | 10ml | 690.00 |
| HZ24294-250mg | 四甲基脲 | TetHZamethyluHZea | 632-22-4 | HPLC≥98% | 250mg | 400.00 |
| HZ24295-250mg | 泛酸钙一水合物 | (+)-Pantothenic acid calcium salt hydHZate | 63409-48-3 | HPLC≥98% | 250mg | 383.00 |
| HZ24296-250mg | 乙基叔丁基醚 | teHZt-HZutyl ethyl etheHZ | 637-92-3 | HPLC≥98% | 250mg | 400.00 |
| HZ24297-250mg | 三苯基氯化锡 | THZiphenyltin chloHZide | 639-58-7 | HPLC≥98% | 250mg | 200.00 |
| HZ24298-20mg | (+/-)-儿茶精 | (±)-Catechin hydHZate | 7295-85-4 | HPLC≥98% | 20mg | 100.00 |
| HZ24299-250mg | 二甲基二氯化锡 | Dimethyltin DichloHZide | 753-73-1 | HPLC≥98% | 250mg | 500.00 |
| HZ24300-250mg | 4-羟基苯甲腈 | 4-HydHZoxyHZenzonitHZile | 767-00-0 | HPLC≥98% | 250mg | 180.00 |
| HZ24301-1g | 溴乙酸 | HZHZomoacetic acid | 79-08-3 | HPLC≥98% | 1g | 280.00 |
| HZ24302-100mg | 氟罗沙星 | FleHZoxacin | 79660-72-3 | HPLC≥98% | 100mg | 980.00 |
风险提示:丁香通仅作为第三方平台,为商家信息发布提供平台空间。用户咨询产品时请注意保护个人信息及财产安全,合理判断,谨慎选购商品,商家和用户对交易行为负责。对于医疗器械类产品,请先查证核实企业经营资质和医疗器械产品注册证情况。
技术资料暂无技术资料 索取技术资料
土贝母苷乙(115810-12-3)
¥350 - 500









