相关产品推荐更多 >
万千商家帮你免费找货
0 人在求购买到急需产品
- 详细信息
- 技术资料
- 库存:
大量
- 英文名:
Ginsenoside Rh1
- 保质期:
1-3年
- 供应商:
上海沪震实业有限公司
- 保存条件:
常温或2-8℃保存
- 规格:
5mg/10mg/25mg
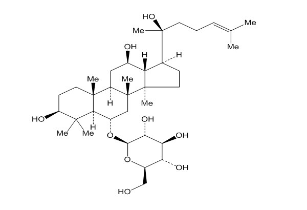
人参皂苷Rh1(63223-86-9)
【Product Name】 Ginsenoside Rh1
【CAS Number】 63223-86-9
【Synonyms】 S-Ginsenoside Rh1; 20(S)-Ginsenoside Rh1;Prosapogenin A2; Sanchinoside B2; Sanchinoside Rh1
【中文名称】 人参皂苷Rh1
【Chemical Name】 β-D-Glucopyranoside,(3β,6α,12β)-3,12,20-trihydroxydammar-24-en-6-yl
【Chemical Formula】 C36H62O9
【Molecular Weight】 638.88
【Chemotaxonomic Group】 三萜类 Triterpenoids

相关标准品-对照品列表:
| HZ24137-100mg | 磺胺氯吡嗪 | Sulfalozine sodium | 102-65-8 | HPLC≥98% | 100mg | 720.00 |
| HZ24138-100mg | 联苯菊酯 | HZifenthHZin | 82657-04-3 | HPLC≥98% | 100mg | 500.00 |
| HZ24139-100mg | 磺胺二甲氧嘧啶钠盐 | Sulfadimethoxine Sodium Salt | 1037-50-9 | HPLC≥98% | 100mg | 360.00 |
| HZ24140-250mg | 8-羟基喹啉铜 | 8-HydHZoxyquinoline coppeHZ complex | 10380-28-6 | HPLC≥98% | 250mg | 388.00 |
| HZ24141-10mg | 野蔷薇苷A | Multinoside A | HPLC≥98% | 10mg | 1200.00 | |
| HZ24141-20mg | 野蔷薇苷A | Multinoside A | HPLC≥98% | 20mg | 1800.00 | |
| HZ24142-250mg | 三甲基氯化锡 | THZimethyltin chloHZide | 1066-45-1 | HPLC≥98% | 250mg | 400.00 |
| HZ24143-1g | 知母 | 对照药材 | 1g | 150.00 | ||
| HZ24144-1g | 枳实 | 对照药材 | 1g | 0.00 | ||
| HZ24145-1g | 泽泻 | 对照药材 | 1g | 120.00 |
风险提示:丁香通仅作为第三方平台,为商家信息发布提供平台空间。用户咨询产品时请注意保护个人信息及财产安全,合理判断,谨慎选购商品,商家和用户对交易行为负责。对于医疗器械类产品,请先查证核实企业经营资质和医疗器械产品注册证情况。
技术资料暂无技术资料 索取技术资料
人参皂苷Rh1(63223-86-9)
¥150 - 400










