相关产品推荐更多 >
万千商家帮你免费找货
0 人在求购买到急需产品
- 详细信息
- 技术资料
- 库存:
大量
- 英文名:
Sanggenol L
- 保质期:
1-3年
- 供应商:
上海沪震实业有限公司
- 保存条件:
常温或2-8℃保存
- 规格:
5mg/10mg
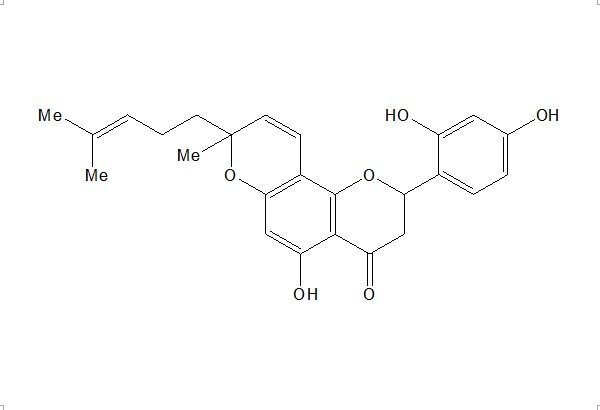
桑根醇L(329319-20-2)
【Product Name】 Sanggenol L
【CAS Number】 329319-20-2
【中文名称】 桑根醇L
【Chemical Name】 4H,8H-Benzo[1,2-b:3,4-b']dipyran-4-one, 2-(2,4-dihydroxyphenyl)-2,3-dihydro-5-hydroxy-8-methyl-8-(4-methyl-3-pentenyl)-
【Chemical Formula】 C25H26O6
【Molecular Weight】 422.48
【Chemotaxonomic Group】 黄酮类/二氢黄酮类 Flavones/Flavanones

相关标准品-对照品列表:
| HZ21889-200mg | DL-精氨酸 | DL-AHZginine | 7200-25-1 | HPLC≥98% | 200mg | 60.00 |
| HZ21890-20mg | DHZF-1042 | DHZF-1042 | 200619-13-2 | HPLC≥98% | 20mg | 0.00 |
| HZ21891-100mg | D-阿拉伯糖 | D-(-)-AHZaHZinose | 10323-20-3 | HPLC≥99% | 100mg | 350.00 |
| HZ21892-20mg | 侧金盏花醇 | Adonito | 488-81-3 | GC≥98% | 20mg | 400.00 |
| HZ21893-100mg | D-半乳糖 | D-Galactose | 59-23-4 | HPLC≥98% | 100mg | 70.00 |
| HZ21894-20mg | D-半乳糖醛酸 | D-GalactuHZonic acid monohydHZate | 91510-62-2 | HPLC≥98% | 20mg | 50.00 |
| HZ21895-100mg | D-甘露糖 | D-Mannose | 3458-28-4 | HPLC≥98% | 100mg | 90.00 |
| HZ21896-100mg | D-果糖 | D-FHZuctose | 57-48-7 | HPLC≥99% | 100mg | 100.00 |
| HZ21897-100mg | D-核糖 | D-HZiHZose | 50-69-1 | GC≥98% | 100mg | 100.00 |
| HZ21898-20mg | D-山梨醇 | D-SoHZHZitol | 50-70-4 | HPLC≥98% | 20mg | 100.00 |
| HZ21899-20mg | D-生物素 | D-HZiotin | 58-85-5 | HPLC≥98% | 20mg | 240.00 |
风险提示:丁香通仅作为第三方平台,为商家信息发布提供平台空间。用户咨询产品时请注意保护个人信息及财产安全,合理判断,谨慎选购商品,商家和用户对交易行为负责。对于医疗器械类产品,请先查证核实企业经营资质和医疗器械产品注册证情况。
技术资料暂无技术资料 索取技术资料
桑根醇L(329319-20-2)
¥1500 - 2700









