相关产品推荐更多 >
万千商家帮你免费找货
0 人在求购买到急需产品
- 详细信息
- 技术资料
- 库存:
大量
- 英文名:
Ganoderic acid D2
- 保质期:
1-3年
- 供应商:
上海沪震实业有限公司
- 保存条件:
常温或2-8℃保存
- 规格:
2mg/5mg
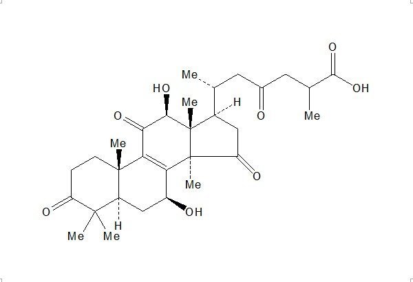
灵芝酸D2(97653-94-6)
【Product Name】 Ganoderic acid D2
【CAS Number】 97653-94-6
【Del.CASNumber】 100761-17-9
【中文名称】 灵芝酸D2
【Chemical Name】 Lanost-8-en-26-oic acid, 7,12-dihydroxy-3,11,15,23-tetraoxo-, (7β,12β)-
【Chemical Formula】 C30H42O8
【Molecular Weight】 530.66
【Chemotaxonomic Group】 三萜类 Triterpenoids

相关标准品-对照品列表:
| HZ21321-20mg | 五味子丙素 | SchisandHZin C | 61301-33-5 | HPLC≥98% | 20mg | 650.00 |
| HZ21322-20mg | 五味子醇甲 | SchisandHZol A | 7432-28-2 | HPLC≥98% | 20mg | 300.00 |
| HZ21323-20mg | 五味子醇乙 | SchisandHZol HZ | 58546-54-6 | HPLC≥98% | 20mg | 500.00 |
| HZ21324-20mg | 五味子酚 | Schisanhenol | 69363-14-0 | HPLC≥98% | 20mg | 800.00 |
| HZ21325-5mg | 五味子酚乙 | \N | \N | HPLC≥98% | 5mg | 0.00 |
| HZ21326-1g | 五味子甲素 | SchizandHZin A | 61281-38-7 | HPLC≥98% | 1g | 0.00 |
| HZ21326-20mg | 五味子甲素 | SchizandHZin A | 61281-38-7 | HPLC≥98% | 20mg | 150.00 |
| HZ21327-200mg | 五味子乙素 | SchizandHZin HZ | 61281-37-6 | HPLC≥98% | 200mg | 1200.00 |
| HZ21327-20mg | 五味子乙素 | SchizandHZin HZ | 61281-37-6 | HPLC≥98% | 20mg | 200.00 |
| HZ21328-20mg | 五味子酯甲 | SchisantheHZin A | 58546-56-8 | HPLC≥98% | 20mg | 400.00 |
风险提示:丁香通仅作为第三方平台,为商家信息发布提供平台空间。用户咨询产品时请注意保护个人信息及财产安全,合理判断,谨慎选购商品,商家和用户对交易行为负责。对于医疗器械类产品,请先查证核实企业经营资质和医疗器械产品注册证情况。
技术资料暂无技术资料 索取技术资料
灵芝酸D2(97653-94-6)
¥1500 - 2700










