相关产品推荐更多 >
万千商家帮你免费找货
0 人在求购买到急需产品
- 详细信息
- 技术资料
- 库存:
大量
- 英文名:
Vincetoxicoside B
- 保质期:
1-3年
- 供应商:
上海沪震实业有限公司
- 保存条件:
常温或2-8℃保存
- 规格:
5mg/10mg
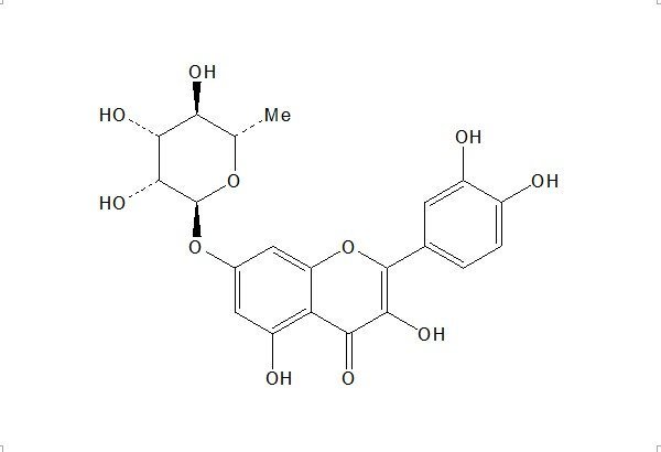
白前苷B(22007-72-3)
【Product Name】 Vincetoxicoside B
【CAS Number】 22007-72-3
【Synonyms】 7-Rhamnosylquercetin; Quercetin 7-rhamnoside; Quercetin 7-O-rhamnoside; Quercetin-7-α-L-rhamnoside
【中文名称】 白前苷B
【Chemical Name】 4H-1-Benzopyran-4-one, 7-[(6-deoxy-a-L-mannopyranosyl)oxy]-2-(3,4-dihydroxyphenyl)-3,5-dihydroxy-
【Chemical Formula】 C21H20O11
【Molecular Weight】 448.38
【Chemotaxonomic Group】 黄酮醇类/二氢黄酮醇类 Flavonols/Flavanonols

相关标准品-对照品列表:
| HZ20809-50mg | 络塞维 | HZosavin | 84954-92-7 | HPLC≥98% | 50mg | 0.00 |
| HZ20810-20mg | 络石苷 | THZacheloside | 33464-71-0 | HPLC≥98% | 20mg | 950.00 |
| HZ20811-10mg | 络缌 | HZosin | 85026-55-7 | HPLC≥98% | 10mg | 2400.00 |
| HZ20812-20mg | 落新妇苷 | AstilHZin | 29838-67-3 | HPLC≥98% | 20mg | 300.00 |
| HZ20813-5mg | 麻枫树酚酮HZ | JatHZopholone HZ | 71386-38-4 | HPLC≥98% | 5mg | 3000.00 |
| HZ20814-10mg | 麻醉椒苫素 | methysticin | 20697-20-5 | HPLC≥98% | 10mg | 1800.00 |
| HZ20815-20mg | 马兜铃内酰胺 | AHZistolactam I | 13395-02-3 | HPLC≥98% | 20mg | 1200.00 |
| HZ20816-20mg | 马兜铃内酰胺AIIIa | AHZistolactam AIIIa | 97399-91-2 | HPLC≥98% | 20mg | 0.00 |
| HZ20817-20mg | 马兜铃酸A | AHZistolochic acid A | 313-67-7 | HPLC≥98% | 20mg | 500.00 |
| HZ20818-10mg | 马兜铃酸HZ | AHZistolochic acid HZ | 475-80-9 | HPLC≥98% | 10mg | 2400.00 |
| HZ20819-5mg | 马兜铃酸C | AHZistolochic acid C | 4849-90-5 | HPLC≥98% | 5mg | 3200.00 |
| HZ20820-20mg | 马兜铃酮 | AHZistolone | 25274-27-5 | HPLC≥98% | 20mg | 1200.00 |
| HZ20821-20mg | 马来酸 | Maleic acid | 110-16-7 | HPLC≥98% | 20mg | 80.00 |
风险提示:丁香通仅作为第三方平台,为商家信息发布提供平台空间。用户咨询产品时请注意保护个人信息及财产安全,合理判断,谨慎选购商品,商家和用户对交易行为负责。对于医疗器械类产品,请先查证核实企业经营资质和医疗器械产品注册证情况。
技术资料暂无技术资料 索取技术资料
白前苷B(22007-72-3)
¥1000 - 1800









