相关产品推荐更多 >
万千商家帮你免费找货
0 人在求购买到急需产品
- 详细信息
- 文献和实验
- 技术资料
- 库存:
670
- 英文名:
C/EBPβ luciferase reporter plasmid
- 保质期:
长期
- 供应商:
北京百奥莱博科技有限公司
- 保存条件:
-20℃
特别声明:本产品及我公司所售其他产品均为科研类试剂产品,严禁用于药物、医疗及其他非科研用途。
北京百奥莱博专业生产销*(代"售")C/EBPβ-Luc荧光素酶报告基因质粒哪里买,我公司供应的细胞生物学试剂品类齐全,且具有优势价格,欢迎新老客户垂询订购。
名称:C/EBPβ-Luc荧光素酶报告基因质粒哪里买
产地:国产|进口
品牌:百奥莱博
英文名:C/EBPβ luciferase reporter plasmid
规格:1μg
C/EBPβ-Luc荧光素酶报告基因质粒(C/EBPβ luciferase reporter plasmid)是用于检测C/EBPβ转录活性水平为目的的报告基因。C/EBPβ(CCAAT/enhancer-binding protein beta)是转录因子C/EBPs家族的重要成员,它主要通过对靶细胞基因转录的调节,参与细胞增殖与分化、肿瘤发生与凋亡、细胞周期调控等。
C/EBPβ-Luc荧光素酶报告基因质粒主要应用于C/EBP信号通路的研究、药物研究以及相关基因调控和功能的研究。
pGMC/EBPβ-Lu是我公司改造后的哺乳动物真核表达载体,在其多克隆位点插入了多个C/EBPβ结合位点,可以高灵敏度地检测C/EBPβ的激活水平。同时,对载体中预测出的其它转录因子以外的结合位点进行了适当的突变,增加了质粒的转录因子结合特异性。另外,由于质粒体积减小,使得C/EBPβ报告基因质粒更易于转染。
质粒图谱

使用说明
pGMC/EBPβ-Lu可以采用常规转染方法转染哺乳动物细胞。用荧光素酶检测试剂盒或双荧光素酶检测试剂盒进行检测。
注意事项
本质粒未经我公司允许不得用于任何商业用途,也不得移交给订货人实验室以外的任何人或单位。
为了您的健康,实验操作时请穿实验服和带一次性手套。
储存条件:-20℃。
除C/EBPβ-Luc荧光素酶报告基因质粒哪里买外,我公司正在打折促销以下产品:
·AEBSF
编号:SY0312
英文名称:AEBSF
规格:50mg
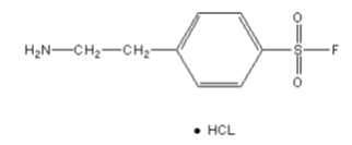
EBSF,英文名4-(2-Aminoethyl)benzenesulfonyl fluoride hydrochloride,中文名4-2-胺乙基*磺酰*盐*(代"酸")盐,是一种水溶性,不可逆的丝*酸蛋白酶抑制剂,广谱抑制胰蛋白酶、糜蛋白酶、纤溶酶、激肽释放酶和凝血酶活性。高产品蛋白纯化过程中往往需要蛋白酶抑制剂来预防蛋白降解,并提高蛋白制剂的纯度。AEBSF是传统蛋白酶抑制剂PMSF和DFP的替代物,因其毒性低,水溶性强,但水溶液稳定性更好。另外,AEBSF的抑制常数类似于 PMSF和DFP,且LD50(依小鼠的口服剂量)高于PMSF和DFP。近期报道发现AEBSF可以延长急性弓形虫感染小鼠的寿命,且在SNU-16人胃腺癌细胞中抑制TNF-α诱导的所有凋亡特征。
AEBSF已用于细胞培养及下游纯化,使用浓度可达 0.25 mM,推荐使用浓度为0.1-1 mM。
中文别名:4-(2-*乙基)*磺酰*盐*(代"酸")盐;;4-(2-*基乙基)**磺酰盐*(代"酸")盐
英文别名:AEBSF HCL; PEFABLOC SC;4-(2-Aminoethyl)benz;
分子式:C8H10FNO2S.HCl
分子量:239.7
CAS:30827-99-7
纯度:≥98%
外观:白色或灰白色结晶
熔点:180~182℃
溶解性:溶于水(50mg/ml),DMSO(50mg/ml)
结构式:

注意事项
1)AEBSF可诱导蛋白修饰,例如,可能影响蛋白的等电点。
2)AEBSF水溶液呈微弱酸性,4℃保持可维持其抑制活性高达6个月。而pH高于7.0水溶液稳定很弱。
3)为了您的安全和健康,请穿实验服并戴一次性手套操作。
储存条件:-20℃,有效期三年。
C/EBPβ-Luc荧光素酶报告基因质粒哪里买关键词:C/EBPβ-Luc荧光素酶报告基因质粒,SY0121,C/EBPβ luciferase reporter plasmid
"
ARB13422 鸡β内酰胺酶(β-lActAmAse)含量测试 Chicken β-lactamase ELISA KIT
HEPES溶液(pH6.8-8.0) 1mol/L 100ml
73049-73-7 胰蛋白胨 Tryptone
ARB12556 大鼠脂多糖结合蛋白(LBP)酶标法分析 Rat lipolysaccharide binding protein,lbp ELISA KIT
纤粘连蛋白 QAE Sephadex A-25 86088-83-7
37340-57-1 Lyticase 溶壁酶
5486-84-0 固蓝BB盐 Fast Blue BB Salt
ARB11256 人胃粘液素(GM)elisa测定使用说明书 Human gastric mucin,gm ELISA KIT
BOC-L-*甘*酸 Diaphorase 2900-27-8
P:C:I(25:24:1,pH﹥7.8) 100ml
ARB13445 鸡白介素2(IL-2)elisa检测说明书 Chicken interleukin 2,IL-2 ELISA KIT
氧化型谷胱甘肽(GSSG)检测试剂盒(DTNB速率比色法) 100T
ARB11154 人肥大细胞类胰蛋白酶(MCT)含量分析 Human mast cell tryptase,mct ELISA KIT
L-天门冬*酸* Eosin B 39162-75-9
环保组织固定液(浓缩型) 500ml|5L
ARB14216 人核因子κB受体活化因子配基(RANKL)含量检测
7447-41-8 Lithium Chloride *化*
5704-04-1 Tricine 三(羟甲基)甲基甘*酸
SJ0853 鸡血清
PY02-327 5%-8%羊血琼脂基础 250克
ARB14064 蝶蛹金小蜂卵黄蛋白原(vtg)血清中含量检测 Nasoniavitripennis vitellogenin,vtg ELISA KIT
C/EBPβ-Luc荧光素酶报告基因质粒哪里买关键词:C/EBPβ-Luc荧光素酶报告基因质粒,SY0121,C/EBPβ luciferase reporter plasmid
·小鼠纤连蛋白
编号:SY0515
英文名称:Mouse Fibronectin
规格:1mg
本品为来源小鼠血浆的纤连蛋白,以液体形式供货,产品稳定性高,可用于常规组织细胞培养和蛋白间作用研究。推荐使用浓度:用于培养板包被推荐浓度1-5 µg/cm2生长培养基面积;作为培养基添加组分推荐使用浓度为5 µg/ml。
细胞纤连蛋白(fibronectin,FN)是一种细胞外糖蛋白,分别以可溶形式存在于体液中,或以不可溶形式存在于细胞外基质中。作为主要的细胞粘附分子之一,FN在许多重要的生理过程中起着关键性作用,如胚胎生成,伤口愈合,止血和血栓形成。纤连蛋白表达的改变,降解以及组合与大量的病理发生密切相关,包括癌症和纤维化。
FN一般以二聚体形式分泌,各个单体的分子量为220-250kDa。主要由成纤维细胞、内皮细胞、软骨细胞、神经胶质细胞和肌细胞等合成,并分布在周围。器官移植会激发一系列的免疫级联反应,FN在T细胞活化过程表现为激活因子。所有FN由同一个基因编码产生,因转录后的mRNA经组织特异性的不同切割方式生成不同的翻译产物。FN上的多个结构域能与胶原、纤维蛋白、肝素和特异性细胞膜受体结合。其中广为人知的结合域是Arg-Gly-Asp 序列(RGD),为整合素识别后调控细胞粘附。FN参与体内众多生理作用和功能,如各种细胞间的吸附和迁移,细胞骨架组装,酪*酸磷酸化和肿瘤转移等。
纤连蛋白(FN)的应用:1)作为细胞培养基质;功能在于促进细胞生长,提高细胞贴壁率,增强细胞代谢水平,缩短细胞生长时间;杂交瘤技术中提高细胞融合率等。2)疾病诊断和治疗;功能在于伤口修复和愈合,癌症诊断和治疗,治疗血管系统和心脑血管疾病等。
百奥莱博提供高质量的人、小鼠、大鼠纤连蛋白。
来源:小鼠血浆
分子量:220 kD
外观:冷冻液体
浓度:10mg/ml
体积:0.1ml
储存缓冲液:0.1 M Tris-HCl; 0.15 M NaCl; pH 7.4
储存条件:-70℃,避免反复冻融
北京百莱博科技有限公司专业生产报告基因检测产品,欢迎来电咨询选购C/EBPβ-Luc荧光素酶报告基因质粒哪里买。
风险提示:丁香通仅作为第三方平台,为商家信息发布提供平台空间。用户咨询产品时请注意保护个人信息及财产安全,合理判断,谨慎选购商品,商家和用户对交易行为负责。对于医疗器械类产品,请先查证核实企业经营资质和医疗器械产品注册证情况。
文献和实验在用萤火虫荧光素酶定量基因表达时 ,通常采用第二个报告基因来减少实验的变化因素。但传统的共报告基因(比如CAT,β-Gal,GUS)不够便利。因为各自的测试化学,处理要求,检测特点存在差异。Promega提供一种先进的双报告基因技术,结合了萤火虫荧光素酶测试和海洋腔肠荧光素酶测试。双荧光素酶报告基因测试系统,结合pRL载体系统,表达第二个报告基因海洋腔肠荧光素酶,在单管中进行双荧光素酶报告基因测试,快速,灵敏,简便。系统还提供PLB裂解液,用来裂解在多孔板中培养的哺乳细胞,不需操作单个样品
【求助】请教荧光素酶报告基因检测NF-KB转录活性需要哪些试剂?
阿兰梦 之前没有做过,只是根据文献的简单描述依葫芦画瓢,但是毕竟是好几千的试剂,生怕弄错了 临床医生一下子做科研,确实很多地方不懂,很艰难 目的是想用双荧光素酶报告基因的方法检测药物内皮细胞的NF-KB的转录活性影响,需要买pNF-kB-Luc 报告质粒,碧云天有;然后需要双荧光素酶报告基因检测系统,promega有;另外还需要一个内参,文献是β-半乳糖苷酶 问题是: 1、不知道买哪一个对: http://www
待检测基因-Luc/Rluc的重组质粒;2、细胞系选择: 根据实验需要选择细胞株,通常选择转染效率较高的293T细胞或原代细胞等;3、共转染: 将带有Luc/Rluc标记的报告基因和目的基因进行共转染,设置不同的检测时间点,一般为24h/48h;4、外界干预: 转染后,可进行物理/化学/病毒等的相应刺激;5、细胞处理: 采用进口/国产双荧光素酶检测试剂盒依照protocol操作;6、荧光检测: 使用GENios Pro 酶标仪或具有类似检测功能的设备进行荧光强度检测。三、荧光素酶报告基因的优点
技术资料暂无技术资料 索取技术资料










