相关产品推荐更多 >
万千商家帮你免费找货
0 人在求购买到急需产品
- 详细信息
- 文献和实验
- 技术资料
- 库存:
581
- 英文名:
Tarafenacin D-tartrate
- CAS号:
1159101-48-0
- 保质期:
2年
- 供应商:
北京百奥莱博科技有限公司
- 保存条件:
-20℃
特别声明:本产品及我公司所售其他产品均为科研类试剂产品,严禁用于药物、医疗及其他非科研用途。
百奥莱博专业生产销*(代"售")北京M3毒蕈碱受体拮抗剂现货,我公司是生物试剂、化学试剂专业供应商,立足北京,服务全国的高校、研究所、医院、企业科研部门,欢迎各位老师来电垂询订购。
名称:北京M3毒蕈碱受体拮抗剂现货
品牌:百奥莱博
英文名:Tarafenacin D-tartrate
产地:国产|进口
Tarafenacin(SVT-40776)D型酒石酸盐是高亲和性M3毒蕈碱受体选择性拮抗剂,Ki为0.19nM,比对M2受体的亲和性高200倍。
注:本品仅可用于科研实验,严禁用于临床医疗及其他用途!
CAS号:1159101-48-0
别名:SVT-40776 D-tartrate
纯度:99.42%
分子式:C₂₅H₂₆F₄N₂O₈
分子量:558.48
结构式:

储存条件:-20℃,有效期2年,溶入溶剂后-20℃请尽量在一个月内使用。
除北京M3毒蕈碱受体拮抗剂现货外,我公司正在打折促销以下产品:
L-*甘*酸 Dicofol 2935-35-5
9007-34-5 胶原蛋白Ⅱ型 Collagen TypeⅡ
BL1145 CCK-8细胞增殖及毒性检测试剂盒
PY01-019A 猪胆酸 25克
ECL化学发光法检测试剂盒"
CYB164011 羊抗人IgG(1:500~2000)-HRP
ARB12690 大鼠凝血因子Ⅹ(FⅩ)血清中含量检测 Rat coagulation factor Ⅹ,fⅩ ELISA KIT
CYB166024-D 兔抗鸡IgG-GOLD
红藻*酸 Januˊs green B 58002-62-3
CYB166012-D 兔抗大鼠IgG-GOLD
ARB13799 豚鼠免疫球蛋白G1(IgG1)elisa检测说明书 Guinea pig immunoglobulin g1,igg1 ELISA KIT
66-84-2 D-Glucosamine D-*基葡萄糖
血液基因组DNA提取系统(0.1-20 ml)
ZCXJ01 兔血浆 100ml
2-*基*并噻唑 Anisomycin 136-95-8
ARB11818 人膀胱癌抗原(UBC)elisa测定使用说明书 Human urinary bladder cancer antigen,ubc ELISA KIT
ARB12713 大鼠磷酸化核因子κB抑制蛋白α(pIKBα)定量分析 Rat phospho-inhibitory subunit of nf-κbα,pikbα ELISA KIT
ARB13417 鸡L*丙*酸解*酶(PAL)酶联免疫定量检测 Chicken l-phenylalanine ammonla-lyase,pal ELISA KIT
北京M3毒蕈碱受体拮抗剂现货关键词:SVT-40776 D-tartrate,1159101-48-0,M3毒蕈碱受体拮抗剂
糖原 Sodium diethyldithiocarbamate trihydrate 9005-79-2
NF-216 羊抗人FN血清
蔗糖溶血检测试剂盒(比色法) 50T
F010203 小鼠抗人IgG Fab抗体 Monoclonal Mouse Anti-Human IgG(Fab)
SJ0324 G-1-P D-葡萄糖-1-磷酸二*
BL1059 大豆蛋白胨
BTN131087 碱性磷酸酶标记亲和素 AP-Avidin
*基琼脂糖凝胶4B Veratryl alcohol
铜盐染色液(红*酸法) 2×50ml
DP204 普通产物纯化试剂盒
2′-脱氧鸟苷-5′-单磷酸二*盐 DMTMM 33430-61-4
E0402 抗凝马血(无菌 袋装)
PY08-031 一次性硫乙醇酸盐培养基 10ml 10支/盒,用于产气荚膜羧菌的培养,也可用于药品、生物制品无菌检验
BTN130620 Poly(U)聚合酶 Poly(U) Polymerase
ARB12945 小鼠血红素氧合酶2(HO-2)elisa检测说明书 Mouse heme oxygenase 2,ho-2 ELISA KIT
ARB10316 人中性粒细胞明胶酶相关脂质运载蛋白(NGAL)含量测试 Human neutrophil gelatinase-associated lipocalin,ngal ELISA KIT
ARB10847 人抗组蛋白(H2A-H2B)-DNA抗体/抗二聚体-DNA抗体Elisa定量检测 Human Histone h2a-h2b-dna autoantibody ELISA KIT
北京M3毒蕈碱受体拮抗剂现货关键词:SVT-40776 D-tartrate,1159101-48-0,M3毒蕈碱受体拮抗剂
·Eldecalcitol
编号:M07186
英文名称:Eldecalcitol
规格:1mg
Eldecalcitol(ED-71;2.beta.-(3-Hydroxypropoxy)-1.alpha.,25-dihydroxyvitamin D3)是1,25-二羟基维生素D3的类似物。
注:本品仅可用于科研实验,严禁用于临床医疗及其他用途!
CAS号:104121-92-8
别名:ED-71;2.beta.-(3-Hydroxypropoxy)-1.alpha.,25-dihydroxyvitamin D3
纯度:99.89%
分子式:C₃₀H₅₀O₅
分子量:490.72
结构式:

储存条件:-20℃,有效期2年,溶入溶剂后-20℃请尽量在一个月内使用。
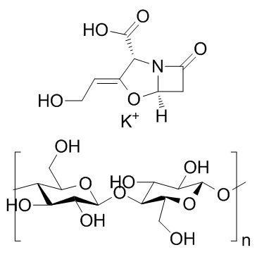
·β-内酰胺酶抑制剂(Potassium clavulanate cellulose)
编号:M03823
英文名称:Potassium clavulanate cellulose
规格:10mg|50mg|100mg|200mg|500mg
Potassium clavulanate cellulose是克拉维酸*和纤维素的混合物,是一种β-内酰胺酶抑制剂。
注:本品仅可用于科研实验,严禁用于临床医疗及其他用途!
别名:Potassium clavulanate:cellulose (1:1)
分子式:C₈H₉NO₅K .(C₆H₁₀O₅)n
分子量:238.26 (Potassium clavulanate)
结构式:

储存条件:-20℃,有效期2年,溶入溶剂后-20℃请尽量在一个月内使用。
北京百莱博科技有限公司专业生产细胞生物学试剂产品,欢迎来电咨询选购北京M3毒蕈碱受体拮抗剂现货。
风险提示:丁香通仅作为第三方平台,为商家信息发布提供平台空间。用户咨询产品时请注意保护个人信息及财产安全,合理判断,谨慎选购商品,商家和用户对交易行为负责。对于医疗器械类产品,请先查证核实企业经营资质和医疗器械产品注册证情况。
文献和实验DREADDs受体作用原理(Scott M. Sternson & Bryan L. Roth, Annu. Rev. Neurosci., 2014)2. 常见的DREADDs受体(1)Gq-DREADD和hM3Dq:最初的Gq-DREADD即hM3Dq,改造自人毒蕈碱型乙酰胆碱受体(the human muscarinic acetylcholine receptor,mAchRs)亚型M3(也称为hM3)。在正常生理状况下,hM3和乙酰胆碱结合,然后和Gq类G蛋白耦合受体耦合,作用于磷脂酶C、肌醇三磷酸
胆碱(ACh)的释放,该作用可被非选择性毒蕈碱型受体拮抗剂阿托品所抑制。目前认为本品促进ACh释放可能是通过毒蕈碱M1受体起作用。临床研究发现,AD患者用本品治疗后,脑脊液中高香草酸(HVA)、5-羟基吲哚乙酸(5-HIAA)及生长抑素的浓度升高,推测tacrine部分或间接地通过了多巴胺能、血清素能及生长抑素能神经系统而发挥临床作用。因此,tacrine对AD患者的治疗作用机制是多方面共同作用的结果。 Tacrine的主要不良反应是肝毒性,尤其是引起转氨酶ALT水平升高,多数患者于停药
Neuron:解密睡眠的新工具来了!北大李毓龙实验室开发新型组胺 GRAB 探针
GPCR 下游信号通路。进一步研究发现这两个探针只会响应组胺,而对组胺的前体、代谢产物以及其它测试的神经递质均不响应,且组胺引发的信号能够被相应受体的拮抗剂阻断,这些都表明探针保留了相应受体的药理学特性。 ▲新型组胺探针的刻画。A, 组胺探针工作原理。B, 组胺探针 HA1 h、HA1m 和 HA1mut 在 HEK293T 细胞上的表达及对组胺的反应。C, 组胺探针对饱和浓度组胺的响应曲线。D, 组胺探针 HA1 h 和 HA1m 对不同浓度组胺的信号响应(图片来源:参考资料 [1]) 接下
技术资料暂无技术资料 索取技术资料









