相关产品推荐更多 >
万千商家帮你免费找货
0 人在求购买到急需产品
- 详细信息
- 技术资料
- 库存:
945
- 英文名:
Stibogluconate sodium
- CAS号:
16037-91-5
- 保质期:
2年
- 供应商:
北京百奥莱博科技有限公司
- 保存条件:
-20℃
特别声明:本产品及我公司所售其他产品均为科研类试剂产品,严禁用于药物、医疗及其他非科研用途。
百奥莱博专业生产供应北京蛋白酪*酸磷酸酶抑制剂厂家,我公司销*(代"售")高质量、高纯度的生化试剂,同时价格极具竞争力,满心期待您的咨询订购。
名称:北京蛋白酪*酸磷酸酶抑制剂厂家
英文名:Stibogluconate sodiu*(代"m")
产地:国产|进口
规格:1mL(10mM)|500mg|1g
品牌:百奥莱博
编号:M00592
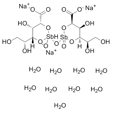
Stibogluconate sodiu*(代"m")是蛋白酪*酸磷酸酶(phosphatase)的有效抑制剂。Stibogluconate sodiu*(代"m")在10,100和100μg/mL时分别抑制99%的SHP-1,SHP-2和PTP1B活性。
注:本品仅可用于科研实验,严禁用于临床医疗及其他用途!
CAS号:16037-91-5
别名:Sodium stibogluconate
纯度:98.0%
分子式:C₁₂H₃₈O₂₆Sb₂Na₃
分子量:910.9
结构式:

储存条件:-20℃,有效期2年,溶入溶剂后-20℃请尽量在一个月内使用。
欲咨询购买北京蛋白酪*酸磷酸酶抑制剂厂家,请致电北京百奥莱博科技有限公司,为您提供最全面周到的产品服务,除此之外,我公司正在促销以下产品:
ARB10191 人α半乳糖基抗体(GAl)血清中含量检测 Human α-galactoyl,gal ELISA KIT
*化铵 ABTS diammonium salt 12124-97-9
ARB12601 大鼠基质溶素(MAT)elisa测定使用说明书 Rat matrilysin,mat ELISA KIT
ARB12551 大鼠胰蛋白酶(trypsin)elisa检测操作说明书 Rat trypsin ELISA KIT
F020203 山羊抗小鼠IgG2a抗体 Goat Anti-Mouse IgG2a
Acr-Bis(45%,43.4:1.6) 500ml
铬天青S C12E9 1667-99-8
BTN100922 亚硫*(代"酸")*盐DNA修饰试剂盒 Bisulfite DNA Modification Kit
RIPA裂解液(强) 100ml
596-09-8 Fluorescein diacetate 二乙酸荧光素
ARB10875 人抗胰蛋白酶(AT)酶免分析 Human anti-trypsin,at ELISA KIT
ARB10776 人抗乙型肝炎病毒核心IgM抗体(HBcAb-IgM)酶标法分析 Human anti-hepatitis b virus core igm,hbc-igM antibody ELISA KIT
DL-组*酸 Fmoc-Glu(OtBu)-OH 4998-57-6
BL1347 BCIP/NBT显色试剂盒
尿蛋白检测试剂盒(丽春红比色法) 100T
ARB12853 小鼠水通道蛋白3(AQP-3)Elisa定量检测 Mouse aquaporin 3,aqp-3 ELISA KIT
FMOC-D-色*酸 Quercetin 86123-11-7
001012 狗血清 100ml|500ml
PY04-038 吖啶黄素(I) 3.75mg/支×10支 每支添加于225ml胰酪胨大豆酵母浸膏肉汤(TSB-YE)培养基中,用于单增李氏菌增菌肉汤(EB)的配制,也可用于李斯特氏菌的培养
北京蛋白酪*酸磷酸酶抑制剂厂家关键词:Sodium stibogluconate,蛋白酪*酸磷酸酶抑制剂,16037-91-5
85-61-0 辅酶A COA
F030219 HRP标记兔抗鸡IgY(IgG)抗体 Rabbit Anti-Chicken IgY*HRP
糖原 Sodium diethyldithiocarbamate trihydrate 9005-79-2
PY01-134 溶菌酶(1:15000) 1克
*化胆碱 NAM 67-48-1
CYB162003 兔抗人IgM(抗血清) 0.5ml
ARB11365 人前白蛋白(PA)elisa检测操作说明书 Human prealbumin,pa ELISA KIT
ARB10996 人泛素结合酶(E2/UBCE)代做ELISA实验 Human e2/ubiquitin-conjugating enzyme,e2/ubce ELISA KIT
甘*酸甲酯盐*(代"酸")盐 INAH 5680-79-5
石胆酸 Fast Violet B Salt 434-13-9
ARB13933 猪组织因子(TF)尿液中含量检测 Porcine tissue factor,tf ELISA KIT
常规甘油封片剂 10ml|50ml
115-39-9 Bromphenol Blue *酚蓝
北京蛋白酪*酸磷酸酶抑制剂厂家关键词:Sodium stibogluconate,蛋白酪*酸磷酸酶抑制剂,16037-91-5
ARB13262 小鼠催乳素(PRL)ELISA检测服务 Mouse prolactin,prl ELISA KIT
BL1288 1%多聚甲醛
ARB12065 大鼠巨噬细胞炎性蛋白3β(MIP-3β/ELC/CCL19)酶免分析 Rat macrophage inflammatory protein 3β,mip-3β ELISA KIT
ARB10613 人血红蛋白β亚基(HB-β)Elisa方法检测 Human β-subunits of hemoglobin,hb-β ELISA KIT
F030604 FITC标记小鼠抗猴IgG抗体 Monoclonal Mouse Anti-Monkey IgG*FITC
D-甘露糖胺盐*(代"酸")盐 Histones,dried(Calf thymus) 5505-63-5
Tris-Tricine阳极缓冲液(5×,pH8.9) 500ml
ARB12483 大鼠前降*素(PCT)Elisa定量检测 Rat procalcitonin,pct ELISA KIT
BTN130897 YPDG液体培养基 YPDG Liquid Medium
ARB12780 小鼠α2纤溶酶抑制物(α2-PI)酶标法分析 Mouse α2-plasmin inhititor,α2-pi ELISA KIT
ARB11988 大鼠L选择素(L-Selectin/CD62L)ELISA代测服务 Rat l-selectin ELISA KIT
BTN100873 尿素 Urea
去*抗坏血酸 Fmoc-D-Arg(Pbf)-OH 490-83-5
BL1379 4×SDS-PAGE浓缩胶缓冲液(PH=6.8)
ARB12688 大鼠凝血因子Ⅲ(FⅢ)尿液中含量检测 Rat coagulation factor Ⅲ,fⅢ ELISA KIT
我公司生产供应销*(代"售")的抑制剂激活剂产品正全系列现货促销,满分期待您的垂询选购北京蛋白酪*酸磷酸酶抑制剂厂家。
风险提示:丁香通仅作为第三方平台,为商家信息发布提供平台空间。用户咨询产品时请注意保护个人信息及财产安全,合理判断,谨慎选购商品,商家和用户对交易行为负责。对于医疗器械类产品,请先查证核实企业经营资质和医疗器械产品注册证情况。
技术资料暂无技术资料 索取技术资料









