相关产品推荐更多 >
万千商家帮你免费找货
0 人在求购买到急需产品
- 详细信息
- 文献和实验
- 技术资料
- 库存:
662
- 英文名:
AhR GFP Reporter Plasmid
- 保质期:
长期
- 供应商:
北京百奥莱博科技有限公司
- 保存条件:
-20℃
特别声明:本产品及我公司所售其他产品均为科研类试剂产品,严禁用于药物、医疗及其他非科研用途。
北京百奥莱博主要从事生物试剂的生产和销*(代"售"),产品线涵盖SY0189型AhR-GFP报告基因质粒北京现货促销在内的细胞生物学试剂产品,还包括PCR及荧光定量PCR、核酸提取试剂盒类、样本核酸保护试剂、核酸提取、克隆与转化、蛋白纯化、蛋白检测、免疫组化、细胞凋亡与抗体等。
名称:SY0189型AhR-GFP报告基因质粒北京现货促销
英文名:AhR GFP Reporter Plasmid
编号:SY0189
产地:国产|进口
品牌:百奥莱博
规格:1μg
AhR-GFP报告基因是用于检测AhR转录活性水平为目的的报告基因。芳香族化合物受体(Aryl hydrocarbon receptor, AhR)是一个核受体转录因子。AhR广泛地参与多
种细胞内的信号通路,包括核受体信号通路,缺氧诱导因子(hypoxia-inducible factor,HIF)信号通路,p53信号通路以及细胞周期信号通路等。AhR通过对细胞内不同信号通路的调节作用
从而影响了细胞的生长,增殖以及分化等过程。另外,AhR与癌症的发生和发展也密切相关,在许多的肿瘤细胞中都发现了AhR的异常表达。
AhR-GFP报告基因主要用于检测细胞中Xenobiotic信号通路、药物研究、基因过表达和RNAi的表性分析等。
pGMAhR-GFP是我公司改造后的哺乳动物真核表达载体,在其多克隆位点插入了多个AhR结合位点,可以高效地检测AhR的激活水平。由于载体采用了GFP作为报告基因,更便于后续的检
测。同时,对载体中预测出的其它转录因子以外的结合位点进行了适当的突变,增加了质粒的转录因子结合特异性。另外,由于质粒体积减小,使得AhR-GFP报告基因更易于转染。
质粒图谱

pGM AHR -GFP质粒测序引物
5’-TAGCAAAATAGGCTGTCCC-3’
使用说明
pGMAhR-GFP可以采用常规转染方法转染哺乳动物细胞。
注意事项
1)本质粒未经我公司允许不得用于任何商业用途,也不得移交给订货人实验室以外的任何人或单位。
2)为了您的健康,实验操作时请穿实验服和带一次性手套。
储存条件:-20℃。
我公司的SY0189型AhR-GFP报告基因质粒北京现货促销,性价比高,货期短,送货上门,欢迎您来电咨询购买,另外,我公司还生产供应销*(代"售")下列产品:
BFD019 克伦特罗(瘦肉*(代"精"))快速检测试剂盒
乙酸铵溶液(1mol/L,无菌) 500ml
56-84-8 Guanosine鸟苷
(1S,2S)-1,2-二*基乙二*(代"胺") Digitonin 29841-69-8
BTN80401 柱式OLIGO回收试剂盒 Column OLIGOBACK
ARB11832 人鞘磷脂(SM)酶免分析 Human sphingomyelin,sm ELISA KIT
PY04-043 吖啶黄素(VI) 2.5mg/支×10支 加入100ml Fraser/Half Fraser肉汤基础中制成Fraser肉汤,用于李斯特氏菌的选择性增菌培养
BTN3060 非冻型组织RNA保存液 RNALOCKER
脂质体2000 β-DPNH
ARB12560 大鼠脂蛋白*(代"磷")脂酶A2(Lp-PL-A2)elisa检测 Rat lipoprotein-associated phospholipase a2,lp-pl-a2 ELISA KIT
尿酮体定性检测试剂盒(Lange法) 50T
酒石酸* L-Leucine 6100-19-2
α-甘油磷酸脱*酶 TBAB 9075-65-4
31282-04-9 潮霉素B Hygromycin B
BTN130647 尿嘧啶糖基化酶抑制剂 Uracil Glycosylase Inhibitor(UGI)
ARB11004 人补体3裂解产物(C3SP)Elisa定量检测 Human complement 3 split product,c3sp ELISA KIT
ARB13726 兔热休克蛋白40(HSP-40)ELISA检测服务 Rabbit heat shock protein 40,hsp-40 ELISA KIT
8008-63-7 牛胆粉
SY0189型AhR-GFP报告基因质粒北京现货促销关键词:AhR GFP Reporter Plasmid,AhR-GFP报告基因质粒,SY0189
F030708 BIOTIN标记兔抗人血清白蛋白抗体 Rabbit Anti-HSA*BIOTIN
乳酸脱*酶染色液(四唑盐法) 2×50ml
ARB12803 小鼠β葡萄糖醛酸苷酶(βGD)酶免分析 Mouse β-glucuronidase,βgd ELISA KIT
ARB12627 大鼠维生素E(VE)血清中含量检测 Rat vitamin e,ve ELISA KIT
羟胺溶液(1.5mol/L,pH8.5) 100ml
64-86-8 秋水仙碱 Colchicine
ARB12599 大鼠基质细胞衍生因子1A(SDF-1A/CXCL12)Elisa分析 Rat stromal cell derived factor 1a,sdf-1a ELISA KIT
ARB12016 大鼠α1酸性糖蛋白(α1-AGP)Elisa方法检测 Rat α1-acid glycoprotein,α1-agp ELISA KIT
嘌呤霉素盐*(代"酸")盐 L-(+)-Lactic acid 58-58-2
504-17-6 2-Thiobarbituric acid 硫代巴比*(代"妥")酸
Core苏木素染色液 100ml|500ml
96949-21-2 中性树胶
SY0189型AhR-GFP报告基因质粒北京现货促销关键词:AhR GFP Reporter Plasmid,AhR-GFP报告基因质粒,SY0189
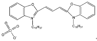
·细胞膜绿色荧光探针
编号:SY0560
英文名称:DiO (DiOC18(3))
规格:10mg
DiO是一种亲脂性的荧光染料,可以用来染细胞膜和其它脂溶性生物结构。进入细胞膜后,DiO在整个细胞膜上扩散,最佳浓度时可以使整个细胞膜染色。DiO在进入细胞膜之前荧光非常弱,当与细胞膜结合后其荧光强度大大增强,被激发后可以发出绿色的荧光,具有很高的淬灭常数和激发态寿命。可以用标准的FITC滤光片检测。
DiO通常不会明显影响细胞的生存力,因此被广泛用于正向或逆向的,活的或固定的神经等细胞或组织的示踪剂或长期示踪剂(long-term tracer)。除了最简单的细胞膜荧光标记外,还可以用于检测细胞的融合和粘附,检测发育或移植过程中细胞迁移,通过FRAP(Fluorescence Recovery After Photobleaching)检测脂在细胞膜上的扩散,检测细胞毒性和标记脂蛋白等。
CAS :34215-57-1
分子式:C53H85ClN2O6
分子量:881.72
外观:橘色至红色固体
Ex/Em:484/501 nm
推荐滤光器:XF23-Omega, 31001-Chroma
纯度:>97%
溶解性:溶于DMF,DMSO,甲醇
储存条件:-20℃避光干燥,有效期一年。
结构式

我公司生产供应销*(代"售")的报告基因检测正全品类优惠促销,十分期待您的咨询选购SY0189型AhR-GFP报告基因质粒北京现货促销。
风险提示:丁香通仅作为第三方平台,为商家信息发布提供平台空间。用户咨询产品时请注意保护个人信息及财产安全,合理判断,谨慎选购商品,商家和用户对交易行为负责。对于医疗器械类产品,请先查证核实企业经营资质和医疗器械产品注册证情况。
文献和实验颗粒都明显减少.设计的核酶构建了带有5’-、3’-自身修剪的真核细胞核酶表达质粒,包括含单个核酶和多个***的鸟枪型核酶基因的质粒,通过转染把他们同带有HBV基因组的质粒转入HepG2细胞. 用Southern blot、ELISA、RNase保护法等测定结果后,显示HBsAg、HBcAg、HBeAg以及他们相应的RNA、Dane颗粒数都因为核酶的作用而明显地减少[16]. Puthtz et al学者用重组筛选的方法从一个发夹型核酶文库中(5×109个)确定能有效地在转基因人肝癌细胞(HCC)中
技术资料暂无技术资料 索取技术资料










