相关产品推荐更多 >
万千商家帮你免费找货
0 人在求购买到急需产品
- 详细信息
- 文献和实验
- 技术资料
- 保存条件:
阴凉干燥
- 保质期:
长期
- 英文名:
Levobunolol Hydrochloride
- 库存:
497
- 供应商:
北京百奥莱博科技有限公司
- CAS号:
27912-14-7
特别声明:本产品及我公司所售其他产品均为科研类试剂产品,严禁用于药物、医疗及其他非科研用途。
北京百奥莱博公司供应包括北京盐*(代"酸")左布诺洛尔对照品说明书在内的化学标准品,化学对照品,杂志对照品,HPLC标准品,UV标准品等高品质标准品、对照品
名称:北京盐*(代"酸")左布诺洛尔对照品说明书
编号:BP0625
英文名:Levobunolol Hydrochloride
规格:100mg/支
品牌:百奥莱博
产地:国产|进口
本品为盐*(代"酸")左布诺洛尔化学对照品,供含量测定用,110℃减压干燥4小时后使用。供HPLC法测定,按C17H25NO3·HCl计,含量为100.0%。
CAS号:27912-14-7
分子式:C17H25NO3·HCl
分子量:327.85
包装及装量:棕色西林瓶装,约100mg/支
储存条件:遮光,密闭保存
关于北京盐*(代"酸")左布诺洛尔对照品说明书的更详细说明,请致电我公司咨询,我们将以最饱满的热情为您提供解答,此外,我公司专业供应下列产品:
ARB12362 大鼠苗条素受体(LR/Ob-R)定量分析 Rat leptin receptor,lr/ob-r ELISA KIT
PY08-044 营养肉汤 30ml 瓶,用于一般营养不苛求细菌的培养
BTN100928 湿法电转液(干粉) Wet Transfer Buffer Powder
ARB12704 大鼠糖原磷酸化酶同工酶Ⅱ(GP-Ⅱ)含量检测 Rat glycogen phosphorylase Ⅱ,gp-Ⅱ ELISA KIT
β-N-乙酰葡萄糖苷酶(NAG)检测试剂盒(PNP微板法) 50T
69-57-8 Penicillin G Sodium salt 青霉素G*盐
ARB13984 猪基质金属蛋白酶9(MMP-9)Elisa定量检测 Porcine matrix metalloproteinase 9,mmp-9 ELISA KIT
柠檬酸盐脱*液 500ml
ARB13436 鸡戊型肝炎(HEV)尿液中含量检测
BFD034 磺胺多残留快速检测试剂盒
BTN130832 通用型MLPA试剂盒 Universal MLPA Kit
9013-20-1 链霉亲和素
J0304 兔抗马IgG(H+L)抗血清
ARB10956 人肝脂酶(HL)elisa检测操作说明书 Human hepatic lipase,hl ELISA KIT
ARB13147 小鼠活性氧(ROS)Elisa方法检测
320-95-4 Deoxycholic acidsodiu*(代"m") salt 脱氧胆酸*
KT206 2×GC rich PCR MasterMix
北京盐*(代"酸")左布诺洛尔对照品说明书关键词:盐*(代"酸")左布诺洛尔,Levobunolol Hydrochloride,27912-14-7
F030239 HRP标记山羊抗人IgG(Fab)2抗体 HRP*Polyclonal Goat Anti-Human IgG Fab
BTN130924 口腔采样拭子 Oral Swab
DAPI染色封片剂 10ml
ARB13470 鸡免疫球蛋白G(IgG)含量检测 Chicken immunoglobulin g,IgG ELISA KIT
ARB12198 大鼠半胱*酸蛋白酶抑制剂/胱抑素C(Cys-C)代做ELISA实验 Rat cystatin c,cys-c ELISA KIT
ARB10202 人β2糖蛋白(β2-GP)酶联免疫定量检测 Human beta2 glycoprotein,β2-gp ELISA KIT
A0101 胎牛血清(无菌采制)
A7218-17 豚鼠血清Guinea Pig Serum
结合珠蛋白 TBHBA 9087-69-8
维生素C检测试剂盒(磷钼酸比色法) 50T
65455-52-9 Percoll 细胞分离液(1.131)
ARB10634 人血清淀粉样蛋白P(SAP)含量测试 Human serum amyloid p,sap ELISA KIT
改良Weigert弹力纤维染色液 5×50ml
BL0929 RBITC标记羊抗马IgG抗体
BL0815 HRP标记羊抗猪IgG抗体
HC0231 大龙8道手动移液器
ARB14024 植物生长激素(GH)elisa测定使用说明书 Plant growth hormone,gh ELISA KIT
PY02-244 丙二酸*培养基 10克
芥子酸 GSH-Px 530-59-6
9007-34-5 胶原蛋白Ⅰ型 Collagen TypeⅠ
SJ0238 Mimumum Essentiul Medium(MEM)
北京盐*(代"酸")左布诺洛尔对照品说明书关键词:盐*(代"酸")左布诺洛尔,Levobunolol Hydrochloride,27912-14-7
我公司为您您提供盐*(代"酸")左布诺洛尔相关的所有信息,如:第二名称、CAS号、规格、熔点、MSDS、用途、作用、毒性、价格等。规格包装,现货供应,极速发货,实验即可安排,试剂随叫随到,无需等待!
·格列风内酯
编号:BP1430
英文名称:Griffonilide
规格:20mg
本品为格列风内酯化学对照品,供相关物质鉴别用。
分子式:C8H8O4
分子量:168.15
包装及装量:棕色瓶装。
储存条件:干燥避光保存。
注意事项:使用前无需处理。
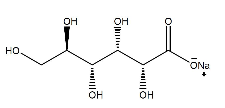
·葡萄糖酸*
编号:BP0568
英文名称:Sodium Gluconate
规格:100mg/支
本品为葡萄糖酸*化学对照品,使用前不需干燥处理,供HPLC法测定,按C6H11NaO7计,含量为99.4%。
CAS号:527-07-1
分子式:C6H11NaO7
分子量:218.14
结构式:

包装:棕色小瓶装
规格:每支约100毫克。
储存条件:遮光,密闭,10~30℃干燥处保存。
·盐*(代"酸")甲氧那明
编号:BP0318
英文名称:Methoxyphenamine Hydrochloride
规格:100mg/支
本品为盐*(代"酸")甲氧那明化学对照品,按C11H17NO·HCl计,供HPLC法测定,含量为99.9%。
分子式:C11H17NO·HCl
分子量:215.72
CAS号:5588-10-3
包装及装量:棕色小瓶装,每支约100毫克。
储存条件:遮光,密封保存。
注意事项:使用前不需干燥处理。
·乳糖
编号:BP0050
英文名称:Lactose
规格:300mg/支
本品为乳糖(Lactose)化学对照品,使用前不需干燥处理,供HPLC法测定,按C12H22O11· H2O计,含量为94.8%。
分子式:C12H22O11· H2O
结构式:

分子量:360.31
CAS号:5989-81-1
包装:西林瓶装
规格:约300mg/支
储存条件:遮光,密闭,10~30℃保存
我公司生化试剂产品种类丰富,涵盖溶剂、培养基、*基酸及其衍生物、组织学试剂、电泳试剂、核苷酸及其衍生物、糖类、纯化试剂、分子生物学用试剂、抗生素、生物缓冲试剂、染色剂、盐*(代"酸")左布诺洛尔等。我公司作为一家以客户为中心的生产厂家和全球分销商,生产经营品种齐全的高质量化学品,实验室耗品和器材。在百奥莱博,质量是我们第一关注的要点。欢迎咨询选购!
盐*(代"酸")左布诺洛尔由我公司长期专业供应,公司为广大顾客提供 盐*(代"酸")左布诺洛尔产品说明,生产厂家,价格,规格,哪里买 。公司遵循高品质的产品,高质量的技术服务,合理的价格,是国内研发与生产,销*(代"售")合为一体的一家大型企业,我们承诺:以最少的经费,最高的效率,得到您最需要的实验结果,同时我们承诺,若有质量问题,无条件退换。
北京百莱博科技有限公司专业生产标准品对照品产品,欢迎来电咨询选购北京盐*(代"酸")左布诺洛尔对照品说明书。
风险提示:丁香通仅作为第三方平台,为商家信息发布提供平台空间。用户咨询产品时请注意保护个人信息及财产安全,合理判断,谨慎选购商品,商家和用户对交易行为负责。对于医疗器械类产品,请先查证核实企业经营资质和医疗器械产品注册证情况。
文献和实验声明:本公司网站上的说明书及产品资料均为北京思尔成生物技术有限公司独家制作,严禁转载作为商业用途。 Invitrogen DNA提取试剂盒使用说明书.pdf
细菌基因组 DNA提取试剂盒操作指南 (DP302)——细菌
以下操作按照天根产品 DP302 细菌基因组 DNA 提取试剂盒的说明书进行,所有反应现象仅适用于该产品及本文所标明的样本量。如使用其它操作流程或产品,样本量不同可能现象与本文有所差异。 实验准备: 1. 培养菌液1-5ml (本实验以革兰氏阴性菌为例,革兰氏阳性菌前处理详见说明书) 2. 移液器及配套无菌枪头(200 μl ,1ml) 1.5 ml 离心管 3. 无水乙醇 4. 涡旋振荡器,金属浴/水浴,台式离心机 实验准备-试剂盒准备 使用前先在漂洗液PW和GD中加入无水乙醇,加入体积请
品和对照品均附有使用说明书,质量要求,有效期和装量等。 1.定义 生物制品标准物质系指用于生物制品效价、活性或含量测定的或其特性鉴别、检查的生物标准品或生物参考物质。 2.标准物质的种类 生物制品标准物质分为二类: 国家生物标准品:系指用国际标准品标定的,或我国自行研制的(尚无国际生物标准品者)用于定量测定某一制品效价或毒性的标准物质,其生物活性以国际单位(IU)或以单位(U)表示。 国家生物参考品:系指用国际参考品标定的,或我国自行研制的(尚无国际参考品者)用于微生
技术资料暂无技术资料 索取技术资料









