相关产品推荐更多 >
万千商家帮你免费找货
0 人在求购买到急需产品
- 详细信息
- 文献和实验
- 技术资料
- 保存条件:
阴凉干燥
- 保质期:
长期
- 英文名:
Eitimicin
- 库存:
642
- 供应商:
北京百奥莱博科技有限公司
- CAS号:
362045-44-1
特别声明:本产品及我公司所售其他产品均为科研类试剂产品,严禁用于药物、医疗及其他非科研用途。
百奥莱博公司致力于为全国科研单位提供药典标准品、对照品、标准溶液、标准样品、对照培养基、国家标准品等可靠标准物质,其中北京现货依替米星标准品供应的品质过硬,在广大科研人员中有口皆碑!
名称:北京现货依替米星标准品供应
英文名:Eitimicin
产地:国产|进口
规格:200mg
品牌:百奥莱博
本品为依替米星标准品,供抗生素微生物效价测定用,使用前不需干燥处理。
CAS号:362045-44-1
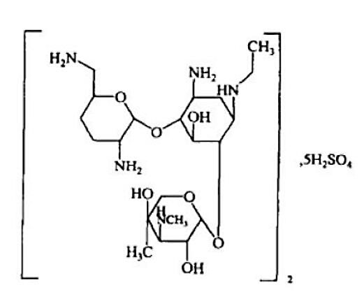
分子式:(C21H43N5O7)2·5H2SO4
分子量:1445.58
结构式:

包装:白色安瓿
规格:约200毫克/支
储存条件:2-8℃保存
北京现货依替米星标准品供应极具性价比,此外,我公司正火爆促销以下产品:
L-多巴 Lead chloride 59-92-7
A2801-12 新生牛血清 100ml|500ml
BL1149 10×DNA上样缓冲液
伊红染色液(水溶) 100ml|500ml
PY02-241 半固体动力培养基 250克
ARB14255 猪免疫球蛋白A(IgA)elisa检测
磁珠法病毒DNA/RNA提取试剂盒
ARB11436 人埃滋蛋白(EzrIn)免费代测 Human ezrin ELISA KIT
草酸铵 L-GLDH 6009-70-7
M0110 TMB-2HCL
BL0792 豚鼠IgG抗原(干粉)
维生素B2 PS 83-88-5
ARB13420 鸡α葡萄糖苷酶(A-Glu)elisa检测说明书 Chicken α-glucosidase,a-glu ELISA KIT
BL1407 2×Taqman PCR MasterMix
RNA凝胶加样缓冲液(5×) 5ml
SJ0796 干酪素
ARB10064 人B细胞活化因子受体(BAFF-R)酶免分析 Human b cell activation factorr from the tumor necrosis factor family receptor,baff-r ELISA KIT
PY01-102 马铃薯淀粉 500克
A8016-19 大鼠血清 100ml|500ml
3-(N,N-二甲基十二烷基铵)丙*(代"烷")磺酸盐 Bis(4-nitrophenyl)phosphoric Acid 14933-08-5
ARB12826 小鼠上皮中性粒细胞活化肽78(ENA-78/CXCL5)酶联免疫定量检测 Mouse epithelial neutrophil activating Peptide 78,ena-78 ELISA KIT
北京现货依替米星标准品供应关键词:362045-44-1,Eitimicin,依替米星
ARB11504 人脂蛋白A(Lp-A)定量分析 Human lipoprotein,lp-a elsia kit
呋嘧醇 Hymexazol 56425-91-3
EGTA溶液(0.5mol/L,pH8.0) 100ml
L-甲状腺素 GGTP 51-48-9
4-羟基*甲*(代"酸")* 5′-UDP 114-63-6
7585-39-9 β-环糊精
PY02-259 布氏菌疫苗培养基 250克
ARB13276 小鼠雌二醇受体(ER)代做ELISA实验 Mouse estradiol receptor,er ELISA KIT
胆固醇乙酸脂 Lignin alkalie 604-35-3
ARB13650 兔子碱性成纤维细胞生长因子(bFGF)免费代测 Rabbit basic fibroblast growth factor,bfgf ELISA KIT
Von Ebener"s液 500ml
F030638 FITC标记山羊人IgM抗体 Polyclonal Goat Anti-Human IgG FC*FITC
ARB10640 人血管内皮细胞生长因子B(VEGF-B)elisa检测 Human vascular endothelial cell growth factor b,vegf-b ELISA KIT
酸性磷酸酶(ACP)检测试剂盒(麝香草酚酞微板法) 100T
H0401 小牛血浆(去红细胞、无菌过滤)
ARB10049 人Apelin 12(AP12)Elisa方法检测 Human apelin 12,ap12 ELISA KIT
PY08-041 胆盐乳糖发酵培养基 10ml 10支/盒,用于药品大肠菌群的测定
F030238 HRP标记山羊人IgM抗体 HRP*Polyclonal Goat Anti-Human IgG FC
BTN100204 一站式PCR-SSCP套装 One-Stop PCR-SSCP Pack
BTN131118 乙*(代"烯")乙二醇 Ethylene Glycol
BTN131196 Therminator II DNA聚合酶 Therminator II DNA Polymerase
北京现货依替米星标准品供应关键词:362045-44-1,Eitimicin,依替米星
我公司主要从事免疫学、分子生物学和常规生化试剂的研发、销*(代"售")。并代理销*(代"售")R&D、Sigma、Amresco 、Gibco、Pharmacia、HyClone、GIBCO等多个国外知名品牌,致力于为广大高校、科研院所和企事业单位提供一流的科研试剂和完善的技术服务,满足生物化学、分子生物学 、细胞生物学、免疫学等生物科技实验需求。 公司主要产品:试剂盒:依替米星、ELISA试剂盒、分子生物学试剂、细胞凋亡试剂盒。各种动物血清:NBQQ、HyClone、GIBCO胎牛血清。抗体:进口原装抗体、进口分装抗体、单克隆抗体、多克隆抗体、一抗、二抗。 我们立足于生命科学领域,全力打造高品质生物科技产品链和技术服务链,立志成为生命科学研究领域的问题解决专家。
ARB12815 小鼠乙酰胆碱(ACH)含量分析 Mouse acetylcholine,ach ELISA KIT
JC-1线粒体膜电位检测试剂盒 20T|50T|100T
M-MLV(RNase H-) 反转录酶 2000U
ARB11411 人绒毛膜促性腺激素(HCG)elisa检测 Human chorionic gonadotrophin,hcg ELISA KIT
pH计电极保护液 50ml|100ml
ARB14256 猪补体3(C3)elisa检测操作说明书
ARB12381 大鼠肺表面活性物质相关蛋白A(SP-A)Elisa分析 Rat associated protein a,sp-a ELISA KIT
9011-18-1 Dextran Sulfate 硫*(代"酸")葡聚糖
ARB14078 大鼠高密度脂蛋白胆固醇(HDL-C)酶标法分析
葡聚糖凝胶LH-60 VBT
ARB12517 大鼠热休克蛋白27(HSP-27)检测服务 Rat heat shock protein 27,hsp-27 ELISA KIT
柠檬酸铋铵 DL-Lactic acid 31886-41-6
BL1357 RIPA组织/细胞裂解液
13292-46-1 Rifampicin 利福平
γ-谷*酰基转移酶(GGT)检测试剂盒(重氮微板法) 100T
NF-212 羊抗人C3D血清
α-*乙酸* Boc-D-Asp-OH 15165-79-4
3,5-二*-2-羟基*磺酸* Histamine diphospate 54970-72-8
PY08-057 十六烷三甲基*化铵琼脂平板 9CM 10皿/盒,用于绿脓杆菌的选择性分离培养
ARB13770 家蚕卵黄蛋白(LT)代做ELISA实验 Bombyx mori livetin,lt ELISA KIT
299-11-6 PMS 吩嗪硫*(代"酸")甲脂
RN4301 EASYspin Plus 细菌RNA快速提取试剂盒
我公司提供多种购买方式:登陆网站联系客服查询!(您可通过电话/传真/QQ/邮件等方式咨询,订购或索取依替米星最新报价)
我们专业供应科研试剂多年,品质保证 售前,售中,售后服务一条*(代"龙"),无效果、免费退换。您只需告诉我们您的需要或要求,我们的客户服务代表将会给您提供专业的咨询和解答。优质服务让您更省心,更舒心,更放心。敬请关注!
我公司专业供应高品质 elisa试剂盒,血清,抗体,培养基,标准品,依替米星,生物试剂,实验耗材,公司位于北京市海淀区,是一家专业从事“产品研发生产、市场销*(代"售")、技术服务”为一体的高科技生物技术公司。
北京百莱博科技有限公司是标准品对照品产品的专业生产供应销*(代"售")商,恭候您的咨询选购北京现货依替米星标准品供应。
风险提示:丁香通仅作为第三方平台,为商家信息发布提供平台空间。用户咨询产品时请注意保护个人信息及财产安全,合理判断,谨慎选购商品,商家和用户对交易行为负责。对于医疗器械类产品,请先查证核实企业经营资质和医疗器械产品注册证情况。
文献和实验就到 有些抗体有现货,有些抗体没有现货,需要订购。 米宝 只有等着了。。 bianbenjamin 中山金桥,北京的,他们的二抗也是jakson分装的,我个人觉得二抗没有那么关键。 米宝 今天做上了。。问公司要了点进口分装的。。明天看出不出结果了。。晕 米宝 出结果了!结果条带比较杂,但是p-akt还是比较清楚的!另外,出现诡异现象就是,无法解释!糖
93311chen 本人在做荧光定量PCR是要用到NF-kB&β-actin标准品,请问哪里有卖!? jmfan Sigma公司应该有卖, 楼主可以直接上sigma公司网页,网址http://www.sigmaaldrich.com/Local/SA_Splash.html 或者和sigma公司中国分公司联系,网址 http://www.sigmaaldrich.com/Area
0.002% (w/w),或在1% BSA溶液中脂肪酸浓度 作用:可用于测定培养的组织细胞释放的游离脂肪酸浓度等。 4、 牛血清白蛋白(无蛋白酶),或者称为无Protease 牛血清白蛋白,或者称为Protease Free BSA,产品不含有DNAse酶、蛋白酶以及IgG,如Equitech bio公司货号为BAH67的BSA(我们公司长期有现货供应)和wako货号为:010-15131的牛血清蛋白。 作用
技术资料暂无技术资料 索取技术资料










