万千商家帮你免费找货
0 人在求购买到急需产品
- 详细信息
- 技术资料
- 保存条件:
阴凉干燥
- 保质期:
长期
- 库存:
637
- 供应商:
北京百奥莱博科技有限公司
特别声明:本产品及我公司所售其他产品均为科研类试剂产品,严禁用于药物、医疗及其他非科研用途。
马来酸多潘立酮对照品现货供应的品牌:百奥莱博,是优质的标准品对照品产品,用于科研目的生化试验项目,本产品质量好,且极具价格优势,深为用户称道,了解更多马来酸多潘立酮等标准品对照品产品请联系我司咨询订购。
名称:马来酸多潘立酮对照品现货供应
品牌:百奥莱博
规格:100mg
编号:BP0537
欲咨询购买马来酸多潘立酮对照品现货供应,请致电北京百奥莱博科技有限公司,为您提供最全面周到的产品服务,除此之外,我公司正在促销以下产品:
PY02-180 赖*酸脱羧酶培养基 5克
ARB12753 小鼠CXC趋化因子受体3(CXCR3)免费代测 Mouse cxc-chemokine receptor 3,cxcr3 ELISA KIT
CYB168003 优级新生牛血清 100ml/瓶
B1101 小牛血清(辐照灭菌)
ARB11866 人糖原磷酸化酶同工酶MM(GP-MM)检测服务 Human glycogen phosphorylase mm,gp-mm ELISA KIT
ARB10162 人S蛋白100P(S-100P)elisa测定使用说明书 Human s-100p ELISA KIT
ARB10404 人可溶性细胞间粘附分子1(sICAM-1)ELISA代测服务 Human soluble intercellular adhesion molecule-1,sicam-1 ELISA KIT
没食子兰 BOC-L-Ile 1562-85-2
FMOC-D-丙*酸 Polymyxin B sulfate 79990-15-1
哌*(代"嗪")-N,N-双(2-羟基乙磺酸) NAPP 68189-43-5
PY04-092 甲氧苄*嘧啶乳酸盐 2mg/支×10支 每支添加于100ml Bolton肉汤基础中,用于弯曲杆菌的增菌培养
BL1068 麦芽汁琼脂
7365-44-8 N-三(羟甲基)甲基-2-*基乙*(代"烷")磺酸 TES
齐墩果酸 G418 sulfate 508-02-1
F040108 鸡卵清蛋白偶联莱克多巴胺 OVA-RAC
9002-93-1 Trion X-100 曲拉通X-100
马来酸多潘立酮对照品现货供应关键词:马来酸多潘立酮,百奥莱博,BP0537
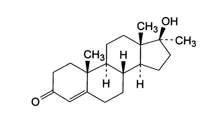
·甲睾酮
编号:BP0139
英文名称:Methyltestosterone
规格:100mg/支
本品为甲睾酮的化学对照品,供HPLC法鉴别和含量测定用。本品应于105℃干燥2小时后使用,以C20H30O2计,含量为99.5%。
CAS号:58-18-4
分子式:C20H30O2
分子量:302.46
结构式:

包装:棕色西林瓶
规格:约100毫克/支
储存条件:常温遮光,密闭保存
注意事项:本品略有引湿性,打开包装后应密闭保存,使用前应干
·西瑞香素
编号:BP1341
英文名称:Daphnoretin
规格:约20mg/支
本品为西瑞香素化学对照品,供含量测定用,含量以99.4%计。
分子式:C19H12O7
分子量:352.29
包装及装量:棕色瓿。
储存条件:室温干燥保存。
注意事项:置五氧化二磷减压干燥器中干燥 12 小时后使用。
·款冬酮
编号:BP1431
英文名称:Tussilagone
规格:约20mg/支
本品为款冬酮化学对照品,供鉴别或含量测定用,含量以99.1%计,置五氧化二磷干燥器中减压干燥12小时后使用。
CAS号:104012-37-5
分子式:C23H34O5
分子量:390.51
结构式:

包装:棕色瓶
规格:约20mg/支
储存条件:冷处(2-10℃)
马来酸多潘立酮对照品现货供应关键词:马来酸多潘立酮,百奥莱博,BP0537
我公司严格遵守“质量优先、客户优先、技术优先、服务优先”“四项优先”原则;马来酸多潘立酮已被广泛应用于化学、化工、生命科学的基础研究和开发应用等诸多领域,并销往全国各地,公司客户遍布国内各大学、医院、研究所、卫生防疫、制药公司、生物公司等单位,得到广大客户的一致好评。我们的宗旨是“为客户提供最优质的产品和服务”。 百奥莱博以技术为核心并拥有完善的市场营销体系、现代化管理体系和专业化物流配送系统,最大程度满足国内外生命科研人员的产品需求。公司专门设立优质完善的客服中心及技术中心,第一时间为客户解决技术支持、产品跟踪以及售后等相关问题,旨在生命科学和医学科学研究领域创造具有国际竞争力的自主知识产权品牌产品。欢迎社会各界朋友前来洽谈业务,共创辉煌!
氧化金 Alu-Gln 1303-58-8
SJ0842 胎牛血清(澳洲血源)
BTN130703 p19 miRNA检测试剂盒 p19 miRNA Detection Kit
BFD013 鸡禽流感病毒抗体检测试剂盒
ARB13605 兔子肾上腺髓质素(ADM)ELISA检测服务 Rabbit soluble endothelial protein c receptor,sepcr ELISA KIT
ARB11109 人乳头瘤病毒18抗体(HPV18)血清中含量检测 Human papillomavirus18,hpv18 ELISA KIT
BTN120625 ATP溶液,100mM ATP Solution
PY02-049 7.5%*化*肉汤 250克
碘化银 Pluronic F-68 7783-96-2
ARB10413 人可溶性瘦素受体(sLR)酶标法分析 Human leptin soluble receptor,slr ELISA KIT
3,5-二*水杨酸 DL-Malic acid 320-72-9
BL1083 标准胎牛血清
我公司在保证产品质量的同时,以价格优、到货快、服务周到,致力于马来酸多潘立酮的研发、销*(代"售")。售前、售中、售后免费技术指导,质量保证,可放心购买!
我公司每月推出一类产品促销,您可对我公司网站时刻进行关注,在促销期间购买您所需产品马来酸多潘立酮,价格更优惠。所有产品质量保证,已经得到广大客户的认可,您可放心购买,且我司有专门的售后部门对客户进行全线跟踪。欢迎询价详谈!
我公司正在火爆促销标准品对照品系列产品,欢迎您的垂询选购马来酸多潘立酮对照品现货供应。
风险提示:丁香通仅作为第三方平台,为商家信息发布提供平台空间。用户咨询产品时请注意保护个人信息及财产安全,合理判断,谨慎选购商品,商家和用户对交易行为负责。对于医疗器械类产品,请先查证核实企业经营资质和医疗器械产品注册证情况。
技术资料暂无技术资料 索取技术资料









