相关产品推荐更多 >
万千商家帮你免费找货
0 人在求购买到急需产品
- 详细信息
- 文献和实验
- 技术资料
- 保存条件:
阴凉干燥
- 保质期:
长期
- 英文名:
3-Methyl-N-[4-(trifluoromethyl)phenyl]isoxazole-4-carboxamide
- 库存:
429
- 供应商:
北京百奥莱博科技有限公司
特别声明:本产品及我公司所售其他产品均为科研类试剂产品,严禁用于药物、医疗及其他非科研用途。
北京百奥莱博公司供应包括北京3米*米特杂质III标准品说明书在内的化学标准品,化学对照品,杂志对照品,HPLC标准品,UV标准品等高品质标准品、对照品
名称:北京3米*米特杂质III标准品说明书
规格:25微克
编号:BP0570
英文名:3-Methyl-N-[4-(trifluoromethyl)phenyl]isoxazole-4-carboxamide
品牌:百奥莱博
本品为来*米特杂质III化学对照品,化学名称3-甲基-N-[4(-三*甲基)*基]异恶唑-4-甲酰胺,本品每支装量约为25μg,临用量可用少量乙*(代"腈")溶解后,加流动稀释至一定体积制成储备液,用于系统适用性试验溶液的制备。
分子式:C12H9F3N2O2
分子量:270.20
包装及装量:棕色小瓶装,每支约 25 微克。
储存条件:遮光,密闭保存
更多有关北京3米*米特杂质III标准品说明书的价格及使用说明等,请联系我们的业务经理王欣女士咨询,我公司还销*(代"售")以下产品:
·去乙酰车叶草酸甲酯
编号:BP1362
英文名称:Deacetyl asperulosidic acid methyl ester
规格:20mg/支
本品为去乙酰车叶草酸甲酯化学对照品,含量测定用,含量以94.3%计,使用前不需干燥处理。
分子式:C17H24O11
分子量:404
包装:棕色安瓿瓶
规格:约20mg/支
储存条件:冷处(2~10℃)保存
·磷酸奥司他韦杂质Ⅲ
编号:BP0989
英文名称:Oseltamivir Phosphate Impurity Ⅲ ((3R,4R,5S)-4-acetamido-5-amino-3-(1-ethylpropoxy)cyclohex-1-ene-1-carboxylic acid)" title="Oseltamivir Phosphate Impurity Ⅲ ((3R,4R,5S)-4-acetamido-5-amino-3-(1-ethylpropoxy)cyclohex-1-ene-1-carboxylic acid)"
规格:30mg"
本品为去乙酰车叶草酸甲酯化学对照品,含量测定用,含量以94.3%计,使用前不需干燥处理。
分子式:C17H24O11
分子量:404
包装:棕色安瓿瓶
规格:约20mg/支
储存条件:冷处(2~10℃)保存
·洋艾素
编号:BP1428
英文名称:Artemitin
规格:20mg/支
本品为洋艾素化学对照品,供鉴别或含量测定用,含量以97.2%计。
分子式:C20H20O8
分子量:388
包装及装量:棕色瓶。
储存条件:室温干燥保存。
注意事项:使用前无需处理。
·保泰松
编号:BP0375
英文名称:Phenylbutazone
规格:100mg
本品为洋艾素化学对照品,供鉴别或含量测定用,含量以97.2%计。
分子式:C20H20O8
分子量:388
包装及装量:棕色瓶。
储存条件:室温干燥保存。
注意事项:使用前无需处理。
·壬*醇醚
编号:BP0087
英文名称:Nonoxinol
规格:1ml/支
本品为壬*醇醚(Nonoxinol)的化学对照品,供HPLC鉴别和含量测定用,含量为99.3%。
分子式:C9H19C6H4(OCH2CH2)nOH,(n平均值为9)
结构式:

CAS号:26027-38-3
包装:棕色安瓿瓶
规格:约1ml/支
储存条件:遮光,密封保存
北京3米*米特杂质III标准品说明书关键词:3-Methyl-N-[4-(trifluoromethyl)phenyl]isoxazole-4-,3米*米特杂质III,BP0570
我公司坚持“品质至上”, 通过与国际知名品牌的合作,选择高品质的产品,提供优质的客户服务。3米*米特杂质III现货供应,以保证产品质量和市场需求率为主要目标,争取能在科研生命道路上能够长久的服务于广大新老客户。
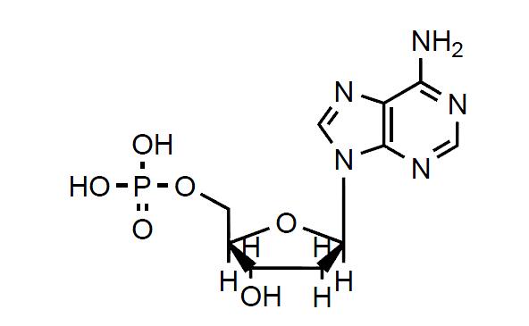
·脱氧核糖腺嘌呤核苷酸*(A)
编号:BP1852
英文名称: deoxyribose adenylic acid sodiu*(代"m")(dAMP-Na)
规格:20mg/瓶
本品为脱氧核糖腺嘌呤核苷酸*化学对照品,含量以脱氧核糖腺嘌呤核苷酸计为94.7%。供脱氧核苷酸鉴别及含量测定用。
分子式:C10H14N5O6P
分子量:331.22
结构式:

包装:棕色瓶
装量:约20mg/支
储存条件:-20℃低温保存
注意事项:使用前不需干燥。
·丙*(代"酮")酸
编号:BP2026
英文名称:Pyruvic acid
规格:0.5ml/瓶
本品为丙*(代"酮")酸化学对照品,供丙*(代"酮")酸检查用,使用前不需干燥处理。
CAS号:127-17-3
分子式:C3H4O3
分子量:88.06
包装:棕色安瓿
规格:约0.5ml/支
储存条件:遮光常温保存。
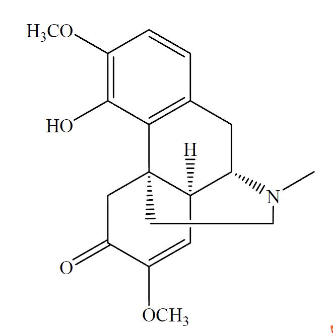
·青藤碱
编号:BP1070
英文名称:Sinomenine
规格:20mg
本品为青藤碱化学对照品,供鉴别或含量测定用。
分子式:C19H23NO4
分子量:329.38
结构式:

包装:棕色瓶装
规格:约20mg/支
储存条件:干燥密闭保存
·呋*(代"喃")西林
编号:BP0851
英文名称:Nitrofurazone
规格:100mg
本品为呋*(代"喃")西林化学对照品,供HPLC法测定,按C6H6N4O4计,含量为99.4%。
CAS号:59-87-0
分子式:C6H6N4O4
分子量:198.14
包装及装量:棕色小瓶装,每支约100毫克。
储存条件:遮光,密封保存。
注意事项:使用前不需干燥处理。
北京3米*米特杂质III标准品说明书关键词:3-Methyl-N-[4-(trifluoromethyl)phenyl]isoxazole-4-,3米*米特杂质III,BP0570
我公司主要从事免疫学、分子生物学和常规生化试剂的研发、销*(代"售")。并代理销*(代"售")R&D、Sigma、Amresco 、Gibco、Pharmacia、HyClone、GIBCO等多个国外知名品牌,致力于为广大高校、科研院所和企事业单位提供一流的科研试剂和完善的技术服务,满足生物化学、分子生物学 、细胞生物学、免疫学等生物科技实验需求。 公司主要产品:试剂盒:3米*米特杂质III、ELISA试剂盒、分子生物学试剂、细胞凋亡试剂盒。各种动物血清:NBQQ、HyClone、GIBCO胎牛血清。抗体:进口原装抗体、进口分装抗体、单克隆抗体、多克隆抗体、一抗、二抗。 我们立足于生命科学领域,全力打造高品质生物科技产品链和技术服务链,立志成为生命科学研究领域的问题解决专家。
BTN80814 Bradford法蛋白定量试剂盒 Bradford Protein Assay Kit
ARB10810 人抗丝集蛋白抗体(AFA)检测服务 Human anti-filaggrin antibody,afa ELISA KIT
双链λ噬菌体DNA载体 100ug
ARB11987 大鼠L*丙*酸解*酶(PAL)elisa检测 Rat l-phenylalanine ammonla-lyase,pal ELISA KIT
TES缓冲液(1×,pH7.5) 500ml
ARB12956 小鼠血管内皮细胞生长因子受体3(VEGFR-3/Flt-4)elisa检测操作说明书 Mouse vascuoar endothelial cell growth factor receptor,vegfr-3/flt-4 ELISA KIT
ARB12346 大鼠层连蛋白/板层素(LN)Elisa分析 Rat laminin,ln ELISA KIT
CYB161019 山羊IgG(液体)
ARB13677 兔血浆α颗粒膜蛋白(GMP-140)酶标法分析 Rabbit alpha-granular membrane protein,gmp-140 ELISA KIT
ARB12216 大鼠血小板生成素(TPO)血清中含量检测 Rat thrombopoietin,tpo ELISA KIT
琥珀酸脱*酶染色液(四唑盐法) 60ml
乙酸维生素A ALCAR 127-47-9
F030811 BIOTIN标记山羊抗小鼠IgA抗体 Goat Anti-Mouse IgA*BIOTIN
9050-68-4 葡聚糖凝胶G-10 Sephadex G-10 medium
α-淀粉酶(α-AMS)检测试剂盒(硝基水杨酸法) 100T
ARB10221 人β乳糖蛋白抗体IgG elisa检测操作说明书 Human β anti-galactan proteins igG ELISA KIT
ARB12824 小鼠干细胞因子/肥大细胞生长因子(SCF/MGF)酶联免疫定量检测 Mouse stem cell factor/mast cell growth factor,scf/mgf ELISA KIT
链脲佐菌素 CBZ-L-Tryptophan 18883-66-4
F030304 胶体金标记小鼠抗HIS抗体 Monoclonal Mouse Anti-His*GOLD
2650-17-1 Xylene Cyanol FF 二甲*青
阿魏酸乙酯 Ethyl carbamate 4046-02-0
B0801 兔血清(辐照灭菌)
生物化工学科起始于第二次世界大战时期,以抗生素的深层发酵和大规模生产技术的研究为标志。20世纪60年代末至80年代中期,转基因技术、生物催化与转比技术、动植物细胞培养技术、新型生物反应器和新型生物分离技术等开发和研究的成功,使本学科进入了新的发展时期,学科体系逐步完善。20世纪后期,随着以基因工程为代表的高新技术的迅速崛起,为本学科的进一步发展开辟了新领域,无数前人的工作和我公司的不懈奋斗。造就了高品质的3米*米特杂质III。
我公司生产供应销*(代"售")的标准品对照品产品正全系列现货促销,满分期待您的垂询选购北京3米*米特杂质III标准品说明书。
风险提示:丁香通仅作为第三方平台,为商家信息发布提供平台空间。用户咨询产品时请注意保护个人信息及财产安全,合理判断,谨慎选购商品,商家和用户对交易行为负责。对于医疗器械类产品,请先查证核实企业经营资质和医疗器械产品注册证情况。
文献和实验上可见,几乎所有的碘化HGH都集中在峰II;保存1个月后,峰II组份减少,峰I和峰III成分明显增加,峰I是集聚的标记生长激素,而峰III是不具有免疫活性的放射性化学杂质(图8--3)。 图8-3 125 I―HGH的Sephadex G-100过滤谱 标记化合物的纯化方法,除制备比活度低而化学量又较多的标记物可用重结晶、蒸馏、萃取等常规方法外,一般需用微量分离技术,较方便的是层析法、离子交换法、凝胶过滤及高效液相层析法等。现以碘标记蛋白为例,说明以上各种方法的适用情况
烃类化合物、氧、水等杂质,以提高载气的纯度,延长色谱柱使用寿命,减少色谱柱固定相流失,而且很大程度地降低背景噪音,使基线更加稳定。建议最好安装一个高容量脱氧管和载气净化器或使用复合型载气净化管。净化装置应及时更换,脱氧管使用时间过长,吸附的氧气会随着载气进人仪器,导致m /z32的谱线丰度过大。市售的脱氧管通常会用氮气进行饱和,安装时,必须用氦气将脱氧管内和管线里的氮气吹扫干净,再接至仪器上。 2 质谱真空泄漏的确认及检漏 2・1 确认泄漏 质谱真空是否出现空气
: 高压――压力可达150~300 Kg/cm2。色谱柱每米降压为75 Kg/cm2以上。 高速――流速为0.1~10.0 ml/min。 高效――可达5000塔板每米。在一根柱中同时分离成份可达100种。 高灵敏度――紫外检测器灵敏度可达0.01ng。同时消耗样品少。 HPLC与经典液相色谱相比有以下优点: 速度快――通常分析一个样品在15~30 min,有些样品甚至在5 min内即可完成。 分辨率高――可选择固定相和流动相以达到最佳分离
技术资料暂无技术资料 索取技术资料










