相关产品推荐更多 >
万千商家帮你免费找货
0 人在求购买到急需产品
- 详细信息
- 文献和实验
- 技术资料
- 保存条件:
冷藏
- 保质期:
长期
- 英文名:
Stevioside
- 库存:
908
- 供应商:
北京百奥莱博科技有限公司
特别声明:本产品及我公司所售其他产品均为科研类试剂产品,严禁用于药物、医疗及其他非科研用途。
北京百奥莱博公司供应包括北京现货甜菊苷标准品哪里卖在内的化学标准品,化学对照品,杂志对照品,HPLC标准品,UV标准品等高品质标准品、对照品
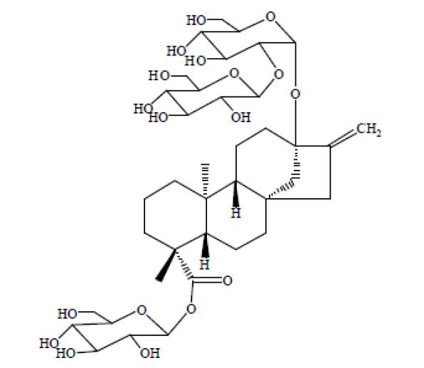
名称:北京现货甜菊苷标准品哪里卖
英文名:Stevioside
规格:约20mg/支
品牌:百奥莱博
产地:国产|进口
本品为甜菊苷化学对照品,供相关物质鉴别用。
分子式:C38H60O18
分子量:804.87
结构式:

包装及装量:棕色瓶。
储存条件:干燥避光保存。
北京现货甜菊苷标准品哪里卖正在火爆热销,除此之外,为您推荐下别热销产品:
·恩曲他滨
编号:BP0664
规格:100mg
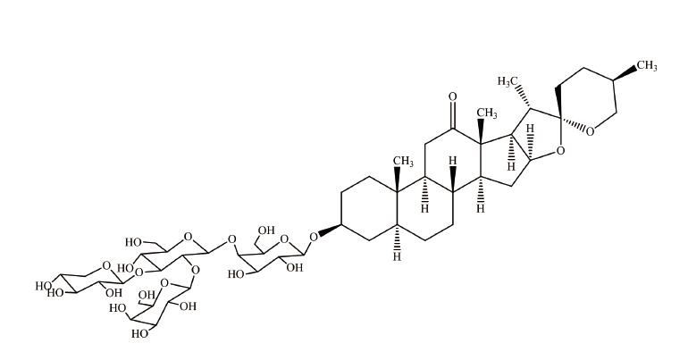
·蒺藜皂苷D
编号:BP1543
英文名称:Terrestrosin D
规格:20mg/支
本品为蒺藜皂苷D化学对照品,供鉴别和含量测定用,含量以95.3%计,使用前不需干燥处理。
CAS号:179464-23-4
分子式:C50H80O23
分子量:1049.16
结构式:

包装:棕色安瓿瓶
规格:约20mg/支
储存条件:冷处(2-10℃)保存
注意事项:本品具有引湿性,建议打开包装一次性使用完。
·尼扎替丁
编号:BP0649
英文名称:Nizatidine
规格:100mg/支
本品尼扎替丁为化学对照品,供IR鉴别和含量测定用,按C12H21N5O2S2计,含量为99.6%,使用前不需干燥处理。
CAS号:76963-41-2
分子式:C12H21N5O2S2
分子量:331.46
结构式:

包装:棕色西林瓶装。
规格:100毫克/支。
储存条件:遮光,密封保存。
·三*甲醇(齐多夫定杂质)
编号:BP0892
英文名称:Triphenylmethanol
规格:50mg
本品为三*甲醇(齐多夫定杂质)化学对照品,供HPLC法测定,按(C6H5)3COH计,含量为99.7%。
CAS号:76-84-6
分子式:(C6H5)3COH
分子量:260.33
包装及装量:西林瓶装,每支约50毫克。
储存条件:遮光,密封保存。
注意事项:使用前不需干燥处理。
·马兜铃酸 I
编号:BP1045
英文名称:Aristolochic acid I
规格:20mg/支
本品为马兜铃酸I化学对照品,供相关物质鉴别用,使用前不需干燥处理。含量以98.9%计。
CAS号:313-67-7
分子式:C17H11NO7
分子量:341.27
结构式:

包装:棕色安瓿瓶。
装量:约20mg/支。
储存条件:冷处(2-10℃)保存。
北京现货甜菊苷标准品哪里卖关键词:Stevioside,甜菊苷,BP1180
我公司以高效的产品质量,完善的销*(代"售")体系、快速、安全的产品渠道,优质的客户服务,以诚信的态度,真诚的对待客户、合作伙伴以及各位同仁,欢迎来电咨询甜菊苷!
·1,3-丁二醇
编号:BP2062
英文名称:1,3-Butanediol
规格:1ml/瓶
本品为1,3-丁二醇化学对照品,仅供乙基纤维素品种项下检查用对照品。
CAS号:107-88-0
分子式:C4H10O2
分子量:90.12
包装:棕色安瓿瓶
规格:约1ml/瓶
储存条件:常温保存
·米力农杂质Ⅱ
编号:BP0965
英文名称:Milrinone Impurity Ⅱ(1,6-Dihydro-2-methyl-6-oxo-(3,4′-bipyridine)-5-methylformate)
规格:30mg/支
本品为米力农杂质Ⅱ化学对照品,使用前不需干燥处理。供HPLC法检查用,按C13H12N2O3计,含量为100%。
CAS号:1443528-66-2
分子式:C13H12N2O3
分子量:244.25
结构式:

包装:棕色西林瓶。
规格:约30毫克/支。
储存条件:遮光,密闭,10~30℃干燥处保存。
注意事项:本品极具引湿性,一次性
·脱苏*醇8奥曲肽
编号:BP1893
英文名称:des-Thy-ol8-octreotide
规格:2mg/瓶
本品为米力农杂质Ⅱ化学对照品,使用前不需干燥处理。供HPLC法检查用,按C13H12N2O3计,含量为100%。
CAS号:1443528-66-2
分子式:C13H12N2O3
分子量:244.25
结构式:

包装:棕色西林瓶。
规格:约30毫克/支。
储存条件:遮光,密闭,10~30℃干燥处保存。
注意事项:本品极具引湿性,一次性
·D-甘露糖
编号:BP1804
英文名称:D-Mannose
规格:100mg/瓶
本品为D-甘露糖化学对照品,置五氧化二磷减压干燥器中60℃减压干燥至恒重后使用,以C6H12O6计,含量为99.4%。仅供甘露聚糖肽及其制剂鉴别以及含量测定用。
CAS号:3458-28-4
分子式:C6H12O6
分子量:180.16
包装:棕色西林瓶
规格:每瓶约100mg
储存条件:密闭,室温保存。
注意事项:本品易潮解,开封后尽快一次性使用。
北京现货甜菊苷标准品哪里卖关键词:Stevioside,甜菊苷,BP1180
甜菊苷如何储存?
化学试剂的变质,大多数情况是因为受外界条件的影响,如空气中的氧气、二氧化碳、水蒸气、空气中的酸碱性物质以及环境 温度、光照等,都可使化学试剂发生氧化、还原、潮解、风化、析晶、稀释、锈蚀、分解、挥发、升华、聚合、发霉、变色以及燃爆等变化。经常检查储存中的化学 试剂的存放状况发现实际起过的储存期或变质应及时报告,并按规定妥善处理 ( 降级使用或报废) 和销帐。在正常储存条件下,一般化学试剂贮有不宜超过2年,基准试剂不超1年。为了避免环境和其他因素的干扰,所有化学试剂一经取出不得放回贮有容器: 属于必须回收的试剂或指定、退库、的试剂,必须另设专用容器回收或贮存,具有吸潮性或易氧化,易变质的化学试试剂必须密封保存,避免吸湿解,氧化或变质。 定期盘点,核对出现差错应及时检查原因,并报主管领导或部门处理。
利福平 Ammonium bitartrate 13292-46-1
F030431 胶体金标记兔抗绵羊IgG抗体 Rabbit Anti-Sheep IgG*GOLD
*化胆固醇 TDZ 910-31-6
Gill苏木素染色液(Gill No.1) 100ml|500ml
ARB10955 人肝素辅因子Ⅱ(HCⅡ)含量分析 Human heparin cofactor Ⅱ,hcⅡELISA KIT
ARB13807 豚鼠单核细胞趋化蛋白4(MCP-4/CCL13)ELISA代测服务 Guinea pig monocyte chemotactic protein 4,mcp-4 ELISA KIT
ARB11066 人转录因子抗体-1(ATF-1)血清中含量检测 Human activating transcription factor-1,atf-1 ELISA KIT
ARB12368 大鼠转铁蛋白(TRF)酶联免疫定量检测
角豆胶 Sarcosine ethyl ester HC1 9000-40-2
ARB12379 大鼠乳腺癌标志物-CA153Elisa分析 Rat mammary carcinoma marker-ca153 ELISA KIT
ARB11142 人肿瘤坏死因子可溶性受体Ⅱ(TNFsR-Ⅱ)免费代测 Human tumor necrosis factor soluble receptor Ⅱ,tnfsr-Ⅱ ELISA KIT
DNA非变性加样缓冲液(2×) 5ml
2,4,6-三硝基*(代"*")磺酸 D-(?)-Tagatose 2508-19-*(代"2")
63231-63-0 (酵母RNA)核糖核酸酵母
精子细胞BWW培养基 100ml|500ml
PY01-094 脑磷脂 1克
DL-亮*酸 D-Lysine HCL 328-39-2
ARB10337 人水通道蛋白4(AQP-4)ELISA代测服务 Human aquaporin 4,aqp-4 ELISA KIT
L-正亮*酸 DL-Tyrosine 327-57-1
ARB13491 鸡核因子κB(NF-κB)Elisa方法检测 Chicken nuclear factor-kappa b,nf-κb ELISA KIT
BTN131071 牛血清γ球蛋白标准品 Bovine γ IgG Standard
我公司客户遍布大学、研究所、医院、卫生防疫、商品检验检疫、制药公司、生物技术公司和食品工业等单位。公司供应的甜菊苷获得一致好评。其立足于生命科学领域,全力打造高品质生物科技产品链和技术服务链,也具备丰富的管理经验,同时我们建立了集技术支持、售后服务等多方位的服务体系。我们有激情、有理想,更有责任感,是您科研道路上值得信赖的伙伴。
公司的理念是:以诚信为本,努力打造优质品牌,为您提供全方位的售中、售后服务。
北京百莱博科技有限公司专业生产标准品对照品产品,欢迎来电咨询选购北京现货甜菊苷标准品哪里卖。
风险提示:丁香通仅作为第三方平台,为商家信息发布提供平台空间。用户咨询产品时请注意保护个人信息及财产安全,合理判断,谨慎选购商品,商家和用户对交易行为负责。对于医疗器械类产品,请先查证核实企业经营资质和医疗器械产品注册证情况。
文献和实验卷和国际化学品安全卡片说明:长期或反复大量摄入三聚氰胺可能对肾与膀胱产生影响,导致产生结石。近期的“三lu奶粉”事件,就是因为不法分子掺卖混有三聚氰胺的奶粉,导致许多婴儿肾结石,造成了严重的后果。本文采用北京普析通用仪器有限公司的L6-1系列高效液相色谱仪和北京艾杰尔科技的三聚氰胺快速分析方法包,依据GB/T22400-2008《原料乳中三聚氰胺快速检测 液相色谱法》建立原奶中三聚氰胺快速、准确的检测方法。 实验部分 仪器与试剂
销售IEF组分分离器? http://www.dxy.cn/bbs/post/view?bid=65&id=2790861&sty=1&tpg=3&age=0 求助:有关肽链的内切酶! http://www.dxy.cn/bbs/post/view?bid=65&id=2784813&sty=1&tpg=4&age=0 那位北京的战友有神经细胞中的Syndecan-2的全长或者胞内部分的质粒 http://www.dxy.cn/bbs/post/view?bid=65&id=2778759
之所以要您用标准品检验,那是因为 我拿不准您的膜到底有没有标准,来源如何? 如果有,而且很可靠,您就不必这样做。 您的分子量大小,很简单的办法是用标准品作色谱,一针就见分晓。 “S“形曲线,是指膜的截流是一个相对的概念。不是说10KD的膜,就是10KD以下全部透过,以上全部截流。把截流分子量的百分比和分子量大小做图得到的曲线,就是”S“形曲线。衡量这个标准就是”S“形曲线。 兼解答想卖膜的那位。不过我奇怪的是,你既然卖膜,不会不知道”S“形曲线
技术资料暂无技术资料 索取技术资料









