相关产品推荐更多 >
万千商家帮你免费找货
0 人在求购买到急需产品
- 详细信息
- 询价记录
- 文献和实验
- 技术资料
- 保存条件:
阴凉干燥
- 保质期:
长期
- 英文名:
National Standard Factor VIIa Concentrate
- 库存:
912
- 供应商:
北京百奥莱博科技有限公司
特别声明:本产品及我公司所售其他产品均为科研类试剂产品,严禁用于药物、医疗及其他非科研用途。
北京百奥莱博公司供应包括重组人凝血因子VIIa国家标准品标准品大量库存促销在内的化学标准品,化学对照品,杂志对照品,HPLC标准品,UV标准品等高品质标准品、对照品
名称:重组人凝血因子VIIa国家标准品标准品大量库存促销
产地:国产|进口
编号:BP2118
规格:1.0ml/支
英文名:National Standard Factor VIIa Concentrate
本品为重组人凝血因子VIIa标准品,由重组人凝血因子VIIa原液经缓冲液稀释后分装冻干而成。用于重组人凝血因子VIIa产品效价测定。
组成和性状:重组人凝血因子VIIa,20mg/ml人血白蛋白。冻干剂型
装量和标示量:1568IU/支
使用方法:用1.0ml无菌水复溶后备用
储存条件:-20℃以下
注意事项:非人用品。复溶后的标准品冰浴保存待用。禁止冻融。
关于重组人凝血因子VIIa国家标准品标准品大量库存促销的更详细说明,请致电我公司咨询,我们将以最饱满的热情为您提供解答,此外,我公司专业供应下列产品:
·盐*(代"酸")特拉唑嗪
编号:BP0301
英文名称:Terazosin Hydrochloride
规格:100mg
本品为盐*(代"酸")特拉唑嗪的二水合物,按C19H25N5O4·HCl计,供HPLC法测定,含量为92.3%;供UV法测定,含量为92.4%。
分子式:C19H25N5O4·HCl·2H2O
分子量:459.93
CAS号:70024-40-7
包装及装量:棕色小瓶装,每支约100毫克
储存条件:遮光,密封保存。
注意事项:使用前不需干燥处理。
·阿那曲唑
编号:BP0593
英文名称:Anastrozole
规格:100mg
本品为阿那曲唑化学对照品,使用前不需干燥处理。按C17H19N5计,供HPLC含量测定用,含量为99.7%。
CAS号:120511-73-1
分子式:C17H19N5
分子量:293.37
结构式:

包装及装量:棕色西林瓶装,每支约100毫克。
储存条件:遮光,密封保存。
·杯苋甾酮
编号:BP1374
英文名称:Cyasterone
规格:约20mg/支
本品为杯苋甾酮化学对照品,鉴别或含量测定用,含量以95.3%计,使用前不需干燥处理。
CAS号:17086-76-9
分子式:C29H44O8
分子量:520.65
结构式:

包装:棕色安瓿
规格:约20mg/支
储存条件:冷处(2~10℃)
注意事项:本品有引湿性,建议打开包装一次性使用完。
重组人凝血因子VIIa国家标准品标准品大量库存促销关键词:National Standard Factor VIIa Concentrate,重组人凝血因子VIIa国家标准品,BP2118
·**蝶啶
编号:BP0338
英文名称:Triamterene
规格:100mg/支
本品为**蝶啶化学对照品,供含量测定用,使用前不需干燥处理。按C12H11N7计,含量为99.8%。
分子式:C12H11N7
结构式:

分子量:253.27
CAS号:396-01-0
包装:棕色西林瓶。
规格:100毫克/支。
储存条件:遮光,密封保存。
·西索米星
编号:BP1575
英文名称:Sisomicin
规格:约150mg
本品为西索米星标准品,供效价测定用,使用前不需要干燥处理。
使用方法:本标准品使用时,精密称取适量,用磷酸盐缓冲液(pH7.8)使溶解,并制成每1ml中约含1000单位的溶液。1000西索米星单位的标准品溶液在5℃保存,可使用7日。
储存条件:置4℃以下低温避光保存。
·芥子碱硫*酸盐
编号:BP1303
英文名称:Sinapine cyanide sulfonate (Sinapine thiocyanate)
规格:20mg/支
本品为芥子碱硫*酸盐化学对照品,供鉴别和含量测定用,含量以98.3%计,使用前不需干燥处理。
CAS号:7431-77-8
分子式:C16H24NO5·SCN
分子量:594.52
结构式:

包装:棕色安瓿瓶
装量:约20mg/支
储存条件:冷处(2-10℃)保存
注意事项:本品具有引湿性,建议打开包装一次性使用完毕。
·一磷酸腺苷*
编号:BP1855
英文名称:Adenosine 5"-MonophosphateSodium salt
规格:20mg/支
本品为一磷酸腺苷*化学对照品,供二丁酰环磷酸腺苷*鉴别试验用,使用前不需干燥处理。
分子式:C10H14N5O7P
分子量:347.22
结构式:

包装:西林瓶
规格:每瓶约20mg
储存条件:密封干燥处保存
重组人凝血因子VIIa国家标准品标准品大量库存促销关键词:National Standard Factor VIIa Concentrate,重组人凝血因子VIIa国家标准品,BP2118
重组人凝血因子VIIa国家标准品等试剂产品的使用注意事项:
(1)、所有试剂、溶液以及样品的包装上必须要有标签。标签要完整、清晰,表明试剂的名称、规格、质量。
(2)、溶液除了表明品名外,还应表明浓度、配置日期等。万一标签脱落,应照原样贴牢。决定不允许在容器内装入与标签不相符的物品。
(3)、无标签的试剂必须取小样检定后才可使用。不能使用的化学试剂要慎重处理,不能随意乱倒。为了保证试剂不受污染,应当用清洁的牛角勺或不锈钢小勺从试剂瓶中取出试剂,绝不可以用手抓取。若试剂结块,可用洁净的玻璃棒或瓷药铲将其捣碎后取出。
(4)液体试剂可用洗干净的量筒到取,不要用吸管伸入原试剂中吸取液体。从试剂瓶中取出的、没有用完的声誉药品,不可再倒回原瓶。
·顺铂
编号:BP0317
英文名称:Cisplatin
规格:100mg
本品为顺铂化学对照品,使用前不需干燥处理。供HPLC法含量测定用,按Cl2H6N2Pt计,含量为99.8%。本品溶液不稳定,需临用新制。
分子式:Cl2H6N2Pt
结构式:

分子量:300.05
CAS号:15663-27-1
包装及装量:棕色西林瓶装,每支约100mg。
储存条件:遮光,密封保存。
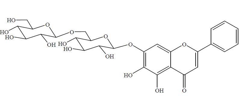
·木蝴蝶苷B
编号:BP1455
英文名称:Baicalein-7-O-diglucoside
规格:20mg/支
本品为木蝴蝶苷B化学对照品,供鉴别及含量测定用,含量以91.9%计,使用前不需干燥处理。
CAS号:114482-86-9
分子式:C27H30O15
分子量:594.16
结构式:

包装:棕色安瓿瓶
规格:约20mg/支
储存条件:冷处(2-10℃)保存
·二乙酰*乙酸乙二*(代"胺")
编号:BP0611
英文名称:Ethylenediamine Diaceturate
规格:100mg
本品为二乙酰*乙酸乙二*(代"胺")化学对照品,供含量测定用。
分子式:C10H22O6N4
分子量:294.3
包装及装量:棕色小瓶装,每支约100毫克。
储存条件:遮光,密闭保存。
注意事项:使用前不需干燥处理。
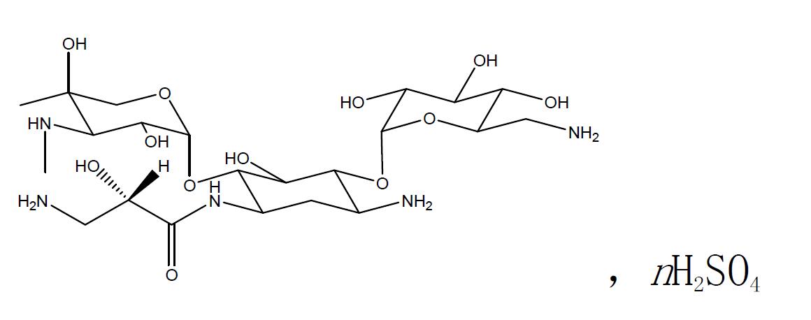
·异帕米星
编号:BP1714
英文名称:Isepamicin
规格:100mg/支
本品为异帕米星化学对照品,供高效液相含量测定用,含量以异帕米星(C22H43N5O12)计。
分子式:C22H43N5O12·nH2SO4(n≤2)
结构式:

包装:安瓿
装量:100mg/支
储存条件:置4℃以下条件低温保存。
我公司客户遍布大学、研究所、医院、卫生防疫、商品检验检疫、制药公司、生物技术公司和食品工业等单位。公司供应的重组人凝血因子VIIa国家标准品获得一致好评。其立足于生命科学领域,全力打造高品质生物科技产品链和技术服务链,也具备丰富的管理经验,同时我们建立了集技术支持、售后服务等多方位的服务体系。我们有激情、有理想,更有责任感,是您科研道路上值得信赖的伙伴。
公司的理念是:以诚信为本,努力打造优质品牌,为您提供全方位的售中、售后服务。
重组人凝血因子VIIa国家标准品由我公司长期专业供应,公司为广大顾客提供 重组人凝血因子VIIa国家标准品产品说明,生产厂家,价格,规格,哪里买 。公司遵循高品质的产品,高质量的技术服务,合理的价格,是国内研发与生产,销*(代"售")合为一体的一家大型企业,我们承诺:以最少的经费,最高的效率,得到您最需要的实验结果,同时我们承诺,若有质量问题,无条件退换。
北京百莱博科技有限公司专业生产标准品对照品产品,欢迎来电咨询选购重组人凝血因子VIIa国家标准品标准品大量库存促销。
风险提示:丁香通仅作为第三方平台,为商家信息发布提供平台空间。用户咨询产品时请注意保护个人信息及财产安全,合理判断,谨慎选购商品,商家和用户对交易行为负责。对于医疗器械类产品,请先查证核实企业经营资质和医疗器械产品注册证情况。
- 作者
- 内容
- 询问日期
文献和实验质量控制标准品的正确使用: 标准品目前分以下级别: 1.国际标准品:是在有组织的国际研究的基础上,取得了成员国完全同意,并确定了国际单位(U)的生物制品。 2.国家标准品:由国家指定机构溯源至国际标准品,为二级标准医`学教育网搜集整理。 3.三级标准品:通常为使用的厂家标准品,三级标准品是与二级标准品对比而来。 对标准品的要求主要有其量值可溯源、准确性高;基质效应小;无传染危险性;稳定性好等。
标准品目前分以下级别: 1.国际标准品:是在有组织的国际研究的基础上,取得了成员国完全同意,并确定了国际单位(U)的生物制品。 2.国家标准品:由国家指定机构溯源至国际标准品。为二级标准 3.三级标准品:通常为使用的厂家标准品,医学教|育网|收集整理三级标准品是与二级标准品对比而来。 对标准品的要求主要有其量值可溯源、准确性高;基质效应小;无传染危险性;稳定性好等。
量具;是测量药品质量的基准;也是做为校正测试仪器与方法的物质标准;在药品检验中,它是确定药品真伪优劣的对照,是控制药品质量必不可少的工具。 目前,中国药品生物制品检定所已能提供各类国家标准物质1242种,其中中药化学对照品288种,对照药材400种,两者占总数的一半以上. 国家标准品及生物参考品系指用于鉴别、检查含量或效价测定的标准物质,其制备与标定应符合“生物制品国家标准物质制备和标定规程”要求,并由国务院药品监督管理部门指定的机构分发。企业工作标准品或参考品必须经国家标准品或参考品标化后方能使用
技术资料暂无技术资料 索取技术资料










