万千商家帮你免费找货
0 人在求购买到急需产品
- 详细信息
- 技术资料
- 保存条件:
冷藏
- 保质期:
长期
- 英文名:
Zanamivir
- 库存:
509
- 供应商:
北京百奥莱博科技有限公司
特别声明:本产品及我公司所售其他产品均为科研类试剂产品,严禁用于药物、医疗及其他非科研用途。
百奥莱博公司致力于为全国科研单位提供药典标准品、对照品、标准溶液、标准样品、对照培养基、国家标准品等可靠标准物质,其中扎那米韦对照品批发的品质过硬,在广大科研人员中有口皆碑!
名称:扎那米韦对照品批发
产地:国产|进口
规格:100mg
品牌:百奥莱博
英文名:Zanamivir
编号:BP0896
欲了解更多扎那米韦对照品批发的品牌、产地、价格及说明书等产品信息,请致电北京百奥莱博科技有限公司,我们将竭诚为您服务,另外,以下产品正在火爆促销:
BTN100212 一管式点突变试剂盒 One-Tube Mutagenesis Kit
ARB10905 人抗腮腺管抗体(Anti-pArotid duct Ab)Elisa方法检测 Human anti-pArotid duct antibody ELISA KIT
ARB12137 大鼠甲基化酶(MethylAse)elisa检测说明书 Rat methylase ELISA KIT
口腔拭子基因组DNA提取试剂盒
ARB10489 人白介素2受体(IL-2R)含量分析 Human interleukin-2 receptor,IL-2r ELISA KIT
桔霉素 Glycerol phosphate oxidase 518-75-2
乙酰胺甲氧基* 500ml
BL1283 酚:*仿:异戊醇 125:24:1(PH<5.0)
乳酸锌 BOP-CL 16039-53-5
丝*醇 Gum sandarac 534-03-2
植酸酶 Simazine 9001-89-2
DL-半胱*酸盐*(代"酸")盐无水物 2-Methylindole 10318-18-0
PY02-358 沙氏葡萄糖液体培养基 250克
ARB12383 大鼠肺表面活性物质相关蛋白c(SP-c)elisa检测操作说明书 Rat associated protein c,sp-c ELISA KIT
ARB12125 大鼠丙*酸*基转移酶(ALT)ELISA代测服务 Rat alanine aminotransferase,alt ELISA KIT
ARB10308 人巨噬细胞炎性蛋白5(MIP-5)elisa检测说明书 Human macrophage inflammatory protein 5,mip-5 ELISA KIT
ARB12766 小鼠NA-K-ATP酶检测服务 Mouse na-k-atp ELISA KIT
ARB10836 人抗环胍*酸肽抗体(CCP)含量检测 Human anti-cyclic citrullinated Peptide,ccp ELISA KIT
ARB13242 小鼠超氧化物歧化酶(SOD)免费代测 Mouse super oxidase dimutase,sod ELISA KIT
草酸* MT 6487-48-5
PY01-013-1 酵母浸粉 1公斤
扎那米韦对照品批发关键词:扎那米韦,Zanamivir,BP0896
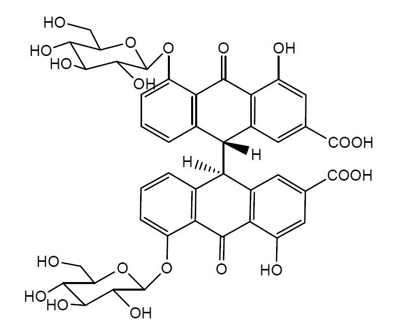
·番泻苷A
编号:BP1110
英文名称:Sennoside A
规格:20mg/支
本品为番泻苷A化学对照品,供含量测定用,使用前不需干燥处理,含量以95.2%计。
CAS号:81-27-6
分子式:C42H38O20
分子量:862.74
结构式:

包装:棕色安瓿瓶
规格:约20mg/支
储存条件:冷冻保存
注意事项:本品有引湿性,打开包装后一次使用完毕。
·当药苷
编号:BP1333
英文名称:Sweroside
规格:20mg
本品为番泻苷A化学对照品,供含量测定用,使用前不需干燥处理,含量以95.2%计。
CAS号:81-27-6
分子式:C42H38O20
分子量:862.74
结构式:

包装:棕色安瓿瓶
规格:约20mg/支
储存条件:冷冻保存
注意事项:本品有引湿性,打开包装后一次使用完毕。
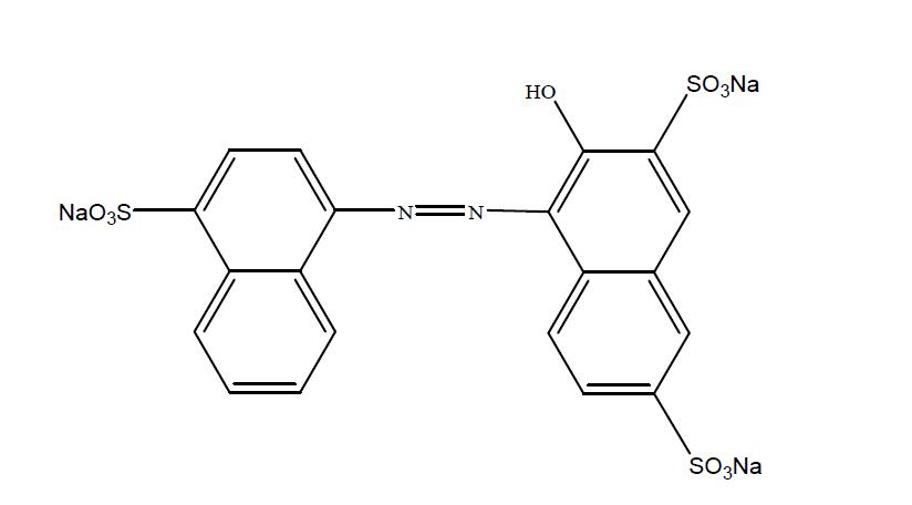
·苋菜红
编号:BP2161
英文名称:Amaranth
规格:50mg/支
本品为苋菜红化学对照品,供乌梅(炙乌梅)补充检验方法用,使用前不需干燥处理。含量以79.8%计。
CAS号:915-67-3
分子式:C20H11N2Na3O10S3
分子量:603.93
结构式:

包装:棕色安瓿瓶
规格:约50mg/支
储存条件:阴凉处保存
注意事项:本品极具引湿性,建议打开包装一次使用完毕。
·亚叶酸*
编号:BP0203
英文名称:Calcium Folinate
规格:100mg/支
本品为亚叶酸*五水合物的化学对照品,按C20H21CaN7O7计,供HPLC法测定,含量为85.6%。
分子式:C20H21CaN7O7·5H2O
分子量:601.61
CAS号:6035-45-6
包装及装量:棕色安瓿充氮熔封,每支约100毫克。
储存条件:遮光,密封,在冷处保存。
注意事项:建议打开包装一次性使用完毕,使用前不需干燥处理。
·丹参素*
编号:BP1132
英文名称:Sodium Danshensu
规格:20mg/支
本品为丹参素*化学对照品,供项下鉴别或含量测定用,含量以98.1%计,使用前不需干燥处理。
CAS号:67920-52-9
分子式:C9H9O5Na
分子量:220.04
结构式:

包装:棕色安瓿瓶。
装量:约20mg/支。
储存条件:冷冻保存。
注意事项:本品具引湿性,建议打开包装后一次使用完。
扎那米韦对照品批发关键词:扎那米韦,Zanamivir,BP0896
我公司主要从事免疫学、分子生物学和常规生化试剂的研发、销*(代"售")。并代理销*(代"售")R&D、Sigma、Amresco 、Gibco、Pharmacia、HyClone、GIBCO等多个国外知名品牌,致力于为广大高校、科研院所和企事业单位提供一流的科研试剂和完善的技术服务,满足生物化学、分子生物学 、细胞生物学、免疫学等生物科技实验需求。 公司主要产品:试剂盒:扎那米韦、ELISA试剂盒、分子生物学试剂、细胞凋亡试剂盒。各种动物血清:NBQQ、HyClone、GIBCO胎牛血清。抗体:进口原装抗体、进口分装抗体、单克隆抗体、多克隆抗体、一抗、二抗。 我们立足于生命科学领域,全力打造高品质生物科技产品链和技术服务链,立志成为生命科学研究领域的问题解决专家。
·**酸后马托品
编号:BP0830
英文名称:Homatropine Hydrobromide
规格:100mg
·右佐匹克隆
编号:BP0662
英文名称:Dexzopiclone
规格:100mg
·米诺环素
编号:BP1661
英文名称:Minocycline
规格:200mg
本品为米诺环素化学对照品,供高效液相含量测定用,含量以米诺环素(C23H27N3O7)计。
使用方法:精密称取适量,加水溶解,并稀释至所需浓度,本溶液于5小时之内使用。
储存条件:置 5℃以下低温避光保存。开启安瓿后严密保持干燥,以防吸水。
注意事项:使用前不需干燥处理。
·阿魏酸哌*(代"嗪")
编号:BP0633
英文名称:Piperazin*(代"e") Ferulate
规格:100mg/支
本品为阿魏酸哌*(代"嗪")化学对照品,供UV法含量测定用。按C4H10N2·2C10H10O4计,含量为100.0%。
分子式:C4H10N2·2C10H10O4
分子量:474.51
包装及装量:棕色西林瓶装,每支约100毫克
储存条件:遮光,密封保存
注意事项:使用前不需干燥处理。
·甘松新酮
编号:BP1397
英文名称:Nardosinone
规格:20mg/支
本品为甘松新酮化学对照品,供鉴别和含量测定用,含量以99.6%计,使用前经五氧化二磷减压干燥12小时以上后使用。
CAS号:23720-80-1
分子式:C15H22O3
分子量:250.33
结构式:

包装:棕色瓶。
规格:约20mg/支。
储存条件:冷处(2-10℃)保存。
扎那米韦由我公司长期专业供应,公司为广大顾客提供 扎那米韦产品说明,生产厂家,价格,规格,哪里买 。公司遵循高品质的产品,高质量的技术服务,合理的价格,是国内研发与生产,销*(代"售")合为一体的一家大型企业,我们承诺:以最少的经费,最高的效率,得到您最需要的实验结果,同时我们承诺,若有质量问题,无条件退换。
我公司客户遍布大学、研究所、医院、卫生防疫、商品检验检疫、制药公司、生物技术公司和食品工业等单位。公司供应的扎那米韦获得一致好评。其立足于生命科学领域,全力打造高品质生物科技产品链和技术服务链,也具备丰富的管理经验,同时我们建立了集技术支持、售后服务等多方位的服务体系。我们有激情、有理想,更有责任感,是您科研道路上值得信赖的伙伴。
公司的理念是:以诚信为本,努力打造优质品牌,为您提供全方位的售中、售后服务。
北京百莱博科技有限公司专业生产标准品对照品产品,欢迎来电咨询选购扎那米韦对照品批发。
风险提示:丁香通仅作为第三方平台,为商家信息发布提供平台空间。用户咨询产品时请注意保护个人信息及财产安全,合理判断,谨慎选购商品,商家和用户对交易行为负责。对于医疗器械类产品,请先查证核实企业经营资质和医疗器械产品注册证情况。
技术资料暂无技术资料 索取技术资料









