万千商家帮你免费找货
0 人在求购买到急需产品
- 详细信息
- 技术资料
- 保存条件:
2~10℃
- 保质期:
长期
- 英文名:
Tracheloside
- 库存:
284
- 供应商:
北京百奥莱博科技有限公司
- CAS号:
33464-71-0
特别声明:本产品及我公司所售其他产品均为科研类试剂产品,严禁用于药物、医疗及其他非科研用途。
百奥莱博公司致力于为全国科研单位提供药典标准品、对照品、标准溶液、标准样品、对照培养基、国家标准品等可靠标准物质,其中北京现货络石苷标准品批发的品质过硬,在广大科研人员中有口皆碑!
名称:北京现货络石苷标准品批发
品牌:百奥莱博
规格:约20mg/支
产地:国产|进口
英文名:Tracheloside
本品为络石苷化学对照品,供鉴别及含量测定用,含量以99.5%计,置五氧化二磷干燥器中减压干燥12小时后使用。
CAS号:33464-71-0
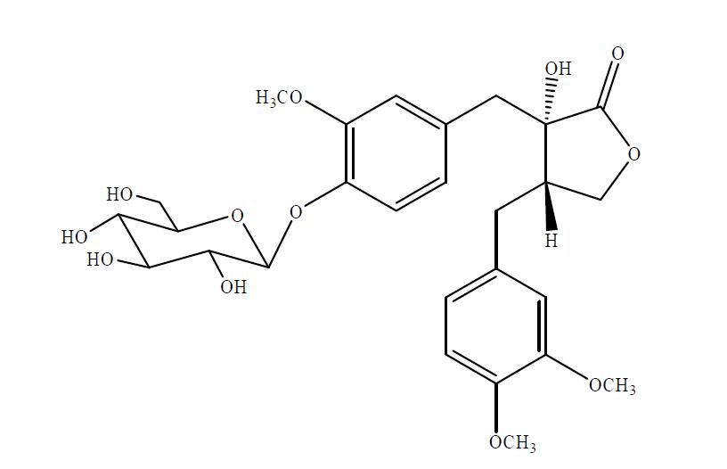
分子式:C27H34O12
分子量:550
结构式:

包装:棕色瓶
规格:约20毫克/支
储存条件:冷处(2~10℃)保存
欲了解更多北京现货络石苷标准品批发的品牌、产地、价格及说明书等产品信息,请致电北京百奥莱博科技有限公司,我们将竭诚为您服务,另外,以下产品正在火爆促销:
ARB11346 人类白细胞抗原A(HLA-A)ELISA检测服务 Human leukocyte antigen a,hla-a ELISA KIT
ARB13435 鸡可溶性细胞间粘附分子1(sICAM-1)含量分析 Chicken soluble intercellular adhesion molecule-1,sicam-1 ELISA KIT
真菌膜蛋白提取试剂盒(2D电泳用) 50T|100T
磁珠法植物基因组DNA提取试剂盒
1,4-二甲氧基* Bluo-Gal 150-78-7
ARB12613 大鼠粒细胞集落刺激因子(G-CSF)Elisa方法检测 Rat granulocyte colony stimulating factor,g-csf ELISA KIT
ARB11803 人雌激素受体(ER)elisa检测操作说明书 Human estrogen receptor,er ELISA KIT
ARB12302 大鼠抗促甲状腺素受体抗体(TRAb)Elisa分析 Rat thyroid stimulating hormone receptor antidoby,trab ELISA KIT
H0801 绵羊血浆(去红细胞、无菌过滤)
酒石酸** Glyphosine 526-94-3
胡椒碱 Tin(II) sulfate 94-62-2
F030225 HRP标记兔抗豚鼠IgG抗体 Rabbit Anti-Guinea Pig IgG*HRP
BFD006 猪伪狂犬GE病毒抗体检测试剂盒
北京现货络石苷标准品批发关键词:络石苷,Tracheloside,33464-71-0
ARB13412 鸡17-酮类固醇(17-KS)elisa检测 Chicken 17-ketosteroids,17-ks ELISA KIT
丙*(代"酮")酸检测试剂盒(二硝基*(代"*")肼比色法) 50T
ARB11439 人真胰岛素(TI)elisa检测操作说明书 Human true insulin,ti ELISA KIT
F030627 FITC标记兔抗鸭IgY IgG抗体 Rabbit Anti-Duck IgY*FITC
PY04-066 TTC 4mg/支×10支 每支添加于100mlTTC琼脂培养基基础中,用于细菌总数测定
NF-257 冻干抗人PA血清
BL1330 通用引物 Oligo T16
BL1364 5×RNA Loading Buffer(非变性)
F030711 BIOTIN标记羊抗乙肝核心抗原抗体 Polyclonal Goat Anti-HBcAg*BIOTIN
ARB11593 人副流感病毒(HPIV)抗原ELISA检测服务 Human parainfluenza virus ,hpiv ELISA KIT
ARB13809 豚鼠组胺(His)elisa测定使用说明书 Guinea pig Histamine,His ELISA KIT
138-52-3 D(-)-Salicin 水杨苷(水杨素)
北京现货络石苷标准品批发关键词:络石苷,Tracheloside,33464-71-0
我公司拥有专业生化试剂实验和销*(代"售")经验,为专业的您提供专业的服务。种类丰富,*基酸类、酶类、维生素类、络石苷、缓冲剂类、色素类、植物激素及核酸类、碳水化合物类、抗生素类均有销*(代"售")。品牌代理,质量保障,其产品涉及生命科学的所有领域,包括生化试剂,抗体,ELISA试剂盒等等。
ARB10220 人β乳球蛋白(β-Lg)Elisa方法检测 Human β lactoglobulin,β-lg ELISA KIT
碘化* p-Hydroxybenzoic acid 7681-82-5
ARB10686 人杀菌性/通透性增加蛋白(BPI)代做ELISA实验 Human bactericidal/permeabilityincreasingprotein,bpi ELISA KIT
ARB12831 小鼠己糖激酶(HK)定量分析 Mouse hexokinase,hk ELISA KIT
10043-35-*(代"3") Boric Acid 硼*(代"酸")
双链DNA中和缓冲液 100ml
ARB13134 小鼠胆囊收缩素/肠促胰酶肽(CCK)含量分析 Mouse cholecystokinin,cck ELISA KIT
异麦芽酮糖 Antifoam OED24K 13718-94-0
PY02-023 马铃薯葡萄糖琼脂(PDA) 250克
4-硝基*(代"*")甲*(代"酸") Lysostaphin 62-23-7
9005-64-5 Tween-20 吐温-20
ARB12472 大鼠胞浆型磷脂酶A2(cPLA2)含量检测 Rat cytosolic phospholipase a2,cpla2 ELISA KIT
ARB14101 羊脂肪甘油三酯脂酶(ATGL)检测服务
F030106 HRP标记兔抗牛酪蛋白抗体 Rabbit Anti-casein*HRP
间甲氧基*乙酸 Carboxymethyl cellulose CM-23 1798-09-0
53597-25-4 Protamine sulfate sale 硫*(代"酸")鱼精蛋白
乙酸铵溶液(1mol/L,无菌) 500ml
ARB13385 牛棘球蚴(echInococcIosIs)血清中含量检测
SJ0083 BAPNA Na-*甲酰-DL-精*酸-对硝基酰胺盐*(代"酸")
我公司倾力为客户提供最优 、最全、最有效的络石苷等科研试剂产品,质量被全国各大院校科研机构认可。 同时,我们售前,售中,售后全程为您服务。欢迎来电咨询!
我公司始终坚持“创新,品质,服务,节约,敬业,感恩”的理念。吸收新创意,严把质量关口,全方位的服务跟踪,坚持做出高品质产品。本着“追求、员工、技术、精神、利益”的宗旨。现拥有一批精干的管理人员和一支高素质的专业技术队伍。我们以质量为生命、时间为信誉、价格为竞争力的经营信念,立足于国内外市场。目前已在全国各大院系,和研究单位均有销*(代"售"),也得到了客户的认可。百奥莱博生产的络石苷等试剂进入飞速发展期,为了更好的服务客户,公司长期储备海量库存,以此助推中国科技的快速发展,更好的造福人类!
北京百莱博科技有限公司专业生产供应销*(代"售")生物试剂、化学试剂、抗原抗体、血清血浆、Elisa试剂盒,更多试剂产品需求,欢迎来电咨询选购北京现货络石苷标准品批发。
风险提示:丁香通仅作为第三方平台,为商家信息发布提供平台空间。用户咨询产品时请注意保护个人信息及财产安全,合理判断,谨慎选购商品,商家和用户对交易行为负责。对于医疗器械类产品,请先查证核实企业经营资质和医疗器械产品注册证情况。
技术资料暂无技术资料 索取技术资料










