万千商家帮你免费找货
0 人在求购买到急需产品
- 详细信息
- 文献和实验
- 技术资料
- 保存条件:
室温
- 保质期:
长期
- 英文名:
Peimisine
- 库存:
487
- 供应商:
北京百奥莱博科技有限公司
- CAS号:
19773-24-1
特别声明:本产品及我公司所售其他产品均为科研类试剂产品,严禁用于药物、医疗及其他非科研用途。
百奥莱博公司致力于为全国科研单位提供药典标准品、对照品、标准溶液、标准样品、对照培养基、国家标准品等可靠标准物质,其中贝母辛对照品特价促销的品质过硬,在广大科研人员中有口皆碑!
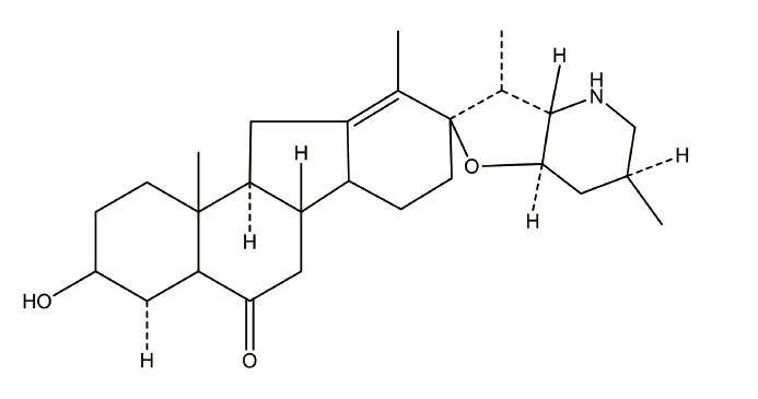
名称:贝母辛对照品特价促销
规格:20mg
产地:国产|进口
编号:BP1438
英文名:Peimisine
品牌:百奥莱博
本品为贝母辛化学对照品,供相关物质鉴别用。
CAS号:19773-24-1
分子式:C27H41NO3
分子量:427.62
结构式:

包装及装量:棕色瓶,约20mg/支
储存条件:常温保存
欲咨询购买贝母辛对照品特价促销,请致电北京百奥莱博科技有限公司,为您提供最全面周到的产品服务,除此之外,我公司正在促销以下产品:
三异辛胺 DABITC 25549-16-0
ARB10660 人血管紧张素(Ang)代做ELISA实验 Human angiotension ,ang ELISA KIT
α-羟丁酸脱*酶(α-HBD)检测试剂盒(速率微板法) 100T
DN1101 细菌基因组DNA快速提取试剂盒
ARB13782 豚鼠丙二醛(MDA)Elisa方法检测
PY08-082 胰蛋白胨大豆琼脂平板 9CM 10皿/盒,用于药品中需氧微生物总数测定
ARB11925 大豆凝集素(SBA)酶免分析 soybean agglutinin,sba ELISA KIT
146-68-9 碘硝基*化四氮唑蓝(INT)
NF-233 羊抗猫IgG血清
SJ0242 DMEM/F12
PB磷酸盐缓冲液(0.1mol/L,pH7.2-7.4) 500ml|2L
BTN131192 超敏化学发光(AP)检测试剂盒 Ultrasensitive ECL Kit
F030303 胶体金标记小鼠抗乙肝表面抗原抗体 Monoclonal Mouse Anti-HBsAg*GOLD
D-Hanks平衡盐粉剂(含酚红) 1× 1L|10×1L
PY01-003 酪蛋白胨 250克
7447-41-8 *化* Lithium Chloride
ARB11930 大鼠17羟皮质类固醇(17-OHCS)ELISA代测服务 Rat 17-hydroxycorticosteroids,17-ohcs ELISA KIT
HC0150 芬兰枪头
二十四烷 MPEG 350 646-31-1
ARB12403 大鼠组织因子(TF)Elisa分析 Rat tissue factor,tf ELISA KIT
ARB14205 人组蛋白(Histone)代做ELISA实验
贝母辛对照品特价促销关键词:19773-24-1,贝母辛,Peimisine
ARB13280 小鼠颗粒酶B(Gzms-B)检测服务 Mouse granzymes b,gzms-b ELISA KIT
*化乙酰胆碱 N-Acetyl-DL-Methionine 66-23-9
121-21-3 SDS 十二烷基硫*(代"酸")*
ARB10475 人白介素13(IL-13)ELISA代测服务 Human interleukin 13,IL-13 ELISA KIT
甘油-3-磷酸氧化酶 Sulfatase from Helix pomatia 9046-28-0
ARB14210 牛α干扰素(IFN-α)Elisa方法检测 Bovine interferon α,ifn-α ELISA KIT
56-41-7 L-Alanine L-丙*酸
9014-63-5 Xylan 木聚糖(来源于榉树)
羟基*酚蓝 Methyl Icosanoate 63451-35-4
ARB10030 人8异前列腺素(8-Iso-PG)含量检测 Human 8-iso prostaglandin,8-iso-pg ELISA KIT
ARB12294 大鼠抗双链DNA抗体/天然DNA抗体(dsDNA)ELISA检测服务 Rat anti-double stranded dna,dsdna ELISA KIT
2,6-二甲氧基-β-环糊精 Galactose oxidase 51166-71-3
ARB13730 兔核因子κB受体活化因子配基(RANKL)酶免分析 Rabbit receptor activator of nuclear factor kappa b ligand,rankl ELISA KIT
PY01-020 蛋黄卵磷脂 10克
ARB13422 鸡β内酰胺酶(β-lActAmAse)免费代测 Chicken β-lactamase ELISA KIT
39450-01-6 Proteinase K 蛋白酶K(原装)
ARB13588 兔子血纤蛋白原降解产物(FDP)elisa检测操作说明书 Rabbit fibrinogen degradation product,fdp ELISA KIT
内质网提取试剂盒 50T|100T
贝母辛对照品特价促销关键词:19773-24-1,贝母辛,Peimisine
贝母辛等科研试剂品质优良,受到广大科研工作者的一致肯定和赞许。质量品牌保证,价格公正,倾力为国内国外生命科学研究人员提供一流的产品。欢迎来电咨询!
·盐*(代"酸")赖*酸
编号:BP1821
英文名称:Lysine Hydrochloride
规格:100mg/瓶
本品为盐*(代"酸")赖*酸化学对照品,含量以C6H14N2O2.HCl计为99.8%,供*基酸鉴别及含量测定使用。
CAS号:657-27-2
分子式:C6H14N2O2.HCl
分子量:182.65
包装:棕色西林瓶
规格:100mg/瓶
储存条件:避光,密封保存
·胡薄荷酮
编号:BP1306
英文名称:Pulegone
规格:约0.2ml/支
本品胡薄荷酮为化学对照品,供鉴别及含量测定用,含量以99.8%计,使用前不需干燥处理。
CAS号:89-82-7
分子式:C10H16O
分子量:152.23
结构式:

包装:棕色安瓿瓶。
规格:约0.2毫升/支。
储存条件:冷冻-20℃保存。
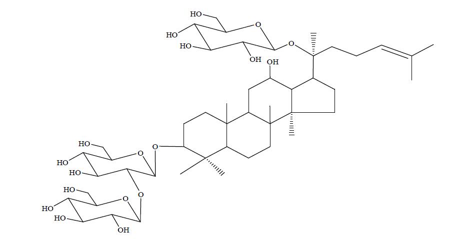
·人参皂苷Rd
编号:BP1387
英文名称:Ginsenoside Rd
规格:约20mg/支
本品为人参皂苷Rd化学对照品,供鉴别和含量测定用,含量以92.1%计,使用前不需干燥处理。
CAS号:52705-93-8
分子式:C48H82O18
分子量:947.15
结构式:

包装:棕色安瓿瓶。
装量:约20mg/支。
储存条件:冷冻保存。
注意事项:本品有引湿性,开封后一次使用完毕。
本公司免费技术支持,由专业的技术人员和销*(代"售")人员为科研用户提供全面的技术支持和完善的售前、售中、售后服务。百奥莱博暑期大促,凡够买我司各种生物试剂、抗体、ELISA试剂盒、抗原、血清、血浆、贝母辛、脱纤维血、抗凝血、裂解血、分子生物学试剂、培养基等优质试剂,均可享受超低会员价,各种高品质科研试剂及各种规格包装均可定制,如有需要请联系我们。
我公司始终坚持“创新,品质,服务,节约,敬业,感恩”的理念。吸收新创意,严把质量关口,全方位的服务跟踪,坚持做出高品质产品。本着“追求、员工、技术、精神、利益”的宗旨。现拥有一批精干的管理人员和一支高素质的专业技术队伍。我们以质量为生命、时间为信誉、价格为竞争力的经营信念,立足于国内外市场。目前已在全国各大院系,和研究单位均有销*(代"售"),也得到了客户的认可。百奥莱博生产的贝母辛等试剂进入飞速发展期,为了更好的服务客户,公司长期储备海量库存,以此助推中国科技的快速发展,更好的造福人类!
北京百莱博科技有限公司专业生产供应销*(代"售")生物试剂、化学试剂、抗原抗体、血清血浆、Elisa试剂盒,更多试剂产品需求,欢迎来电咨询选购贝母辛对照品特价促销。
风险提示:丁香通仅作为第三方平台,为商家信息发布提供平台空间。用户咨询产品时请注意保护个人信息及财产安全,合理判断,谨慎选购商品,商家和用户对交易行为负责。对于医疗器械类产品,请先查证核实企业经营资质和医疗器械产品注册证情况。
文献和实验质分子量标准(19-119KD) (50次)--每支 280元 五. 秋季部分产品特价促销单 具体产品和价格如下: 一. DNA分子量标准产品: DNA分子量标准 规格 优惠价 DL2000 50次 58元 参照片断(bp):100 、250、500、750、1000、2000bp Marker1 50次 58元 参照片断(bp):100 、200、300、400、500、600bp Marker2 50次 58元 参照片断(bp):100 、300、500
。博士德部分现货ELISA产品超低价促销! 供应以上产品均为现货。特价产品如下: h.Activin A 1000元/96T h.MIP-1a 1500元/96T m.IL-4 1000元/96T h.BDNF 1000元/96Th.MIP-3a 1500元/96T m.IL-5 1000元/96T h.BMP-2 1500元/96Th.MCP-1 1000元/96T m.IL-6 1000元/96T h.CD54 1500元/96Th.MMP
,较大的蛋白如抗体可能需要5小时。如果需要可以在温育3小时后补加完全培养基。检测前用无血清培养基或者PBS洗涤细胞以除去未转染的蛋白,防止影响结果分析,然后就可以分析结果了。 注意事项当然是需要考究蛋白质的浓度和纯度(幸好越来越多的蛋白样本制备工具使得蛋白样本处理变得简单高效了,比如Merck自己的蛋白样品制备系列就有很多选择,现在还有75折特价呢),转染过程中要避免血清的干扰,最后检测前要彻底洗掉残留的蛋白。至于效果如何?厂家提供的图片相当漂亮。 价格和用量:好东西不便
技术资料暂无技术资料 索取技术资料










