相关产品推荐更多 >
万千商家帮你免费找货
0 人在求购买到急需产品
- 详细信息
- 文献和实验
- 技术资料
- 保存条件:
冷藏
- 保质期:
长期
- 英文名:
Rifaximin impurity B
- 库存:
973
- 供应商:
北京百奥莱博科技有限公司
特别声明:本产品及我公司所售其他产品均为科研类试剂产品,严禁用于药物、医疗及其他非科研用途。
北京利福昔明杂质B对照品价格的品牌:百奥莱博,是优质的标准品对照品产品,用于科研实验,本产品质量好,且极具价格优势,深为用户称道,了解更多利福昔明杂质B等标准品对照品产品请联系我司咨询订购。
名称:北京利福昔明杂质B对照品价格
产地:国产|进口
英文名:Rifaximin impurity B
规格:50mg
编号:BP1735
品牌:百奥莱博
本品为利福昔明杂质B化学对照品,仅供利福昔明品种系统适用性试验用。
分子式:C43H49N3O11
分子量:783.86
结构式:

包装及装量:安瓿;50mg
储存条件:置4℃以下条件低温避光保存。
北京利福昔明杂质B对照品价格极具性价比,此外,我公司正火爆促销以下产品:
·老龙皮酸(网脊衣酸A)
编号:BP1279
英文名称:Retigeric Acid A
规格:0.1mg
本品为老龙皮酸化学对照品,供相关物质鉴别用。
分子式:C30H48O4
分子量:472.7
结构式:

包装及装量:棕色西林瓶,约0.1mg
储存条件:干燥密闭保存
注意事项:本品使用前加丙*(代"酮")0.5ml,溶解后直接使用
·乌药醚内酯
编号:BP1212
英文名称:Linderane
规格:20mg/支
本品为乌药醚内酯化学对照品,供薄层鉴别及含量测定用,含量以99.3%计,使用前不需干燥处理。
CAS号:13476-25-0
分子式:C15H16O4
分子量:260
结构式:

包装:棕色安瓿瓶
装量:约20mg/支
储存条件:冷冻保存
·曲安西龙
编号:BP0268
英文名称:Triamcinolone
规格:100mg/支
本品为曲安西龙(的化学对照品,按C21H27FO6计,供HPLC法测定,含量为99.64%;供UV法测定,含量为 99.9%。
分子式:C21H27FO6
分子量:394.44
CAS号:124-94-7
包装及装量:棕色小瓶装,每支约100毫克。
储存条件:遮光,密封保存
注意事项:溶液需临用新制, 60℃减压干燥4小时后使用。
·更昔洛韦
编号:BP0304
英文名称:Ganciclovir
规格:100mg
本品为更昔洛韦化学对照品,供HPLC法测定,按C9H13N5O4计,含量为97.7%。
分子式:C9H13N5O4
分子量:255.21
CAS号:82410-32-0
包装及装量:棕色小瓶装,每支约100毫克
储存条件:密封,置阴凉处保存。
注意事项:使用前不需干燥处理,本品具有引湿性,打开包装后一次使用完毕。
北京利福昔明杂质B对照品价格关键词:BP1735,利福昔明杂质B,Rifaximin impurity B
我公司坚持“品质至上”, 通过与国际知名品牌的合作,选择高品质的产品,提供优质的客户服务。利福昔明杂质B现货供应,以保证产品质量和市场需求率为主要目标,争取能在科研生命道路上能够长久的服务于广大新老客户。
·龙血素A
编号:BP1273
英文名称:Loureirin A
规格:20mg
·邻*二甲*(代"酸")二正丙酯
编号:BP2174
英文名称:Dipropyl Phthalate
规格:1ml
本品为邻*二甲*(代"酸")二正丙酯化学对照品,供GC法含量测定用,按C14H18O4计,含量为 99.3%,使用前不需干燥处理。
CAS号:131-16-8
分子式:C14H18O4
分子量:250.29
包装及装量:棕色安瓿瓶装,每支约 1毫升。
储存条件:遮光,密封保存。
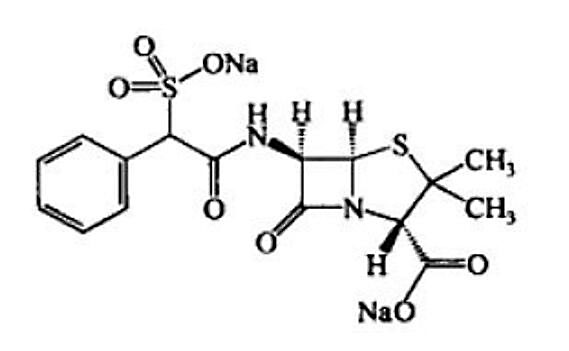
·磺苄西林
编号:BP1569
英文名称:Sulbenicillin
规格:100mg
本品为磺苄西林标准品,供抗生素微生物效价测定用,使用前不需干燥处理。
CAS号:28002-18-8
分子式:C16H16N2Na2O7S2
分子量:458.42
结构式:

包装:白色安瓿
规格:约100毫克/支
储存条件:2-8℃保存
·盐*(代"酸")异丙嗪
编号:BP0332
英文名称:Promethazine Hydrochloride
规格:100mg/支
本品为盐*(代"酸")异丙嗪化学对照品,供含量测定用,105℃干燥2小时后使用。供HPLC法测定,按C17H20N2S·HCl计,含量为99.5%。
分子式:C17H20N2S·HCl
分子量:320.89
CAS号:58-33-3
包装:棕色西林瓶装
装量:每支约100毫克。
储存条件:遮光,密闭,10~30℃保存。
北京利福昔明杂质B对照品价格关键词:BP1735,利福昔明杂质B,Rifaximin impurity B
我公司先后与天津中医学院、北京军区总医院、复旦大学、北京大学、上海交通大学、华东师范大学、第二军医大学、南京大学、清华大学、复兴医院、南京工业大学、301医院、中科院上海分院等多家单位建立了良好的合作关系。本公司可为您提供高品质的利福昔明杂质B等科研试剂。 公司秉承“专注品质、信守承诺、积极沟通、创新服务”的企业文化积极参与生物领域的技术创新和技术服务,力求为我国科研事业更好的,更专业的服务!
L0103 小鼠单抗ig类/亚类鉴定用酶标二抗套装
L-精*酸盐*(代"酸")盐 4-Nitrophenyl N-acetyl-β-D-galactosaminide 1119-34-2
BL0641 *基-琼脂糖凝胶6FF Phenyl -Sepharose 6FF
RNA提取试剂(TRNzol)
DL-苏*酸 Potassium L-glutamate 80-68-2
CYB163063 兔抗狗IgG-FICT
ARB12563 大鼠胸腺活化调节趋化因子(TARC/CCL17)酶联免疫定量检测 Rat thymus activation regulated chemokine,tarc ELISA KIT
BL0784 PCR纯化试剂盒
528-50-7 D-(+)纤维二糖
ARB10184 人α2抗纤溶酶(α2-AP)定量分析 Human α2-antiplasmin,α2-ap ELISA KIT
ARB13004 小鼠抗单链DNA抗体/变性DNA抗体(ssDNA)ELISA检测服务 Mouse single stranded dna antibody,ssdna ELISA KIT
ARB11030 人阿米巴(AmebIAsIs)含量分析 Human amebiasis ELISA KIT
5"-二磷酸葡萄糖腺苷二*盐 2-dT 102129-65-7
PY01-087 血清消化粉 250克|1公斤
酒石酸泰乐菌素 PEPC 74610-55-2
ARB11166 人单纯疱疹病毒(HSV)酶标法分析 Human herpes simplex virus,hsv ELISA KIT
ARB12254 大鼠血管紧张素Ⅱ/生成素(AngⅡ)elisa检测操作说明书 Rat angiopoietin-2,ang-2 elis kit
抗体稀释液 50ml|100ml
ARB12201 大鼠皮质醇(CortIsol)定量分析 Rat cortisol ELISA KIT
ARB13465 鸡抗凝血酶Ⅲ抗体(AT-Ⅲ)ELISA检测服务 Chicken anti-thrombin Ⅲ,at-Ⅲ ELISA KIT
ARB13211 小鼠高密度脂蛋白胆固醇(HDL-C)血清中含量检测
我公司在保证产品质量的同时,以价格优、到货快、服务周到,致力于利福昔明杂质B的研发、销*(代"售")。售前、售中、售后免费技术指导,质量保证,可放心购买!
我公司正在火爆促销标准品对照品系列产品,欢迎您的垂询选购北京利福昔明杂质B对照品价格。
风险提示:丁香通仅作为第三方平台,为商家信息发布提供平台空间。用户咨询产品时请注意保护个人信息及财产安全,合理判断,谨慎选购商品,商家和用户对交易行为负责。对于医疗器械类产品,请先查证核实企业经营资质和医疗器械产品注册证情况。
文献和实验对赤芍和地榆的性状、显微特征、薄层色谱等方面进行了比较鉴别,其中性状和显微特征以比较表形式列出,主要显示二者的区别点,介绍如下。 1 材料 赤芍对照药材粉末,批号121093-200405,地榆对照药材粉末,批号121286-200410,芍药苷对照品批号110736-200527,均为中国药品生物制品检定所提供,供粉末显微特征和薄层色谱鉴别用。赤芍和地榆饮片为宁波明贝中药业有限公司提供样品,赤芍批号20070506,地榆批号20070315,经笔者鉴定为正品赤芍和地榆
液相色谱-蒸发光散射检测法测定其黄芪甲苷的含量,报道如下。 1 仪器与试药 LC�10ATvp高效液相色谱仪(日本岛津公司);ELSD�2000蒸发光检测器(美国Alltech);黄芪甲苷对照品(中国药品生物制品检定所提供,批号为110781�200311,为含量测定用);乙腈为色谱纯,水为经Milli�Q过0.22μm膜净化的超纯水,其它试剂均为分析纯。心舒康片样品(厂家提供)。 2 方法与结果 2.1 色谱条件 色谱柱为Agilent HC�
摘要:目的对野生和栽培竹节参中所含人参皂苷及其含量进行比较。方法参照人参的分析方法,以人参皂苷 Rg1、 Re为对照品,对野生和栽培竹节参进行 TLC鉴别比较,用发HPLC法进行定量分析。结果在选定的薄层条件下,对照品与供试品的薄层图谱清晰,分离度好,栽培和野生竹节参具有相同的斑点; 对照品在0.48~2.40 μg范围内具有良好的线性关系,回归方程为:Y= 336 182X-302 41, r=0.999 8。结论根据测定和比较的结果,栽培和野生竹节参所含人参皂苷类成分基本
技术资料暂无技术资料 索取技术资料










