相关产品推荐更多 >
万千商家帮你免费找货
0 人在求购买到急需产品
- 详细信息
- 文献和实验
- 技术资料
- 保存条件:
室温
- 保质期:
长期
- 英文名:
Sulfotanshinone Sodium
- 库存:
576
- 供应商:
北京百奥莱博科技有限公司
特别声明:本产品及我公司所售其他产品均为科研类试剂产品,严禁用于药物、医疗及其他非科研用途。
北京百奥莱博公司供应包括丹参酮IIA磺酸*标准品库存在内的化学标准品,化学对照品,杂志对照品,HPLC标准品,UV标准品等高品质标准品、对照品
名称:丹参酮IIA磺酸*标准品库存
产地:国产|进口
英文名:Sulfotanshinone Sodium
规格:20mg/支
品牌:百奥莱博
编号:BP1235
本品为丹参酮IIA磺酸*化学对照品,供薄层鉴别用。
分子式:C19H17NaO6S
分子量:396
包装及装量:棕色瓶,每支约20毫克。
储存条件:常温密闭保存。
注意事项:使用前无需处理。
丹参酮IIA磺酸*标准品库存极具性价比,此外,我公司正火爆促销以下产品:
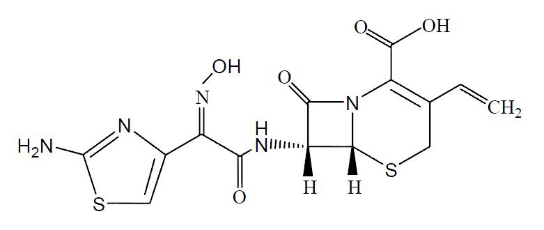
·头孢地尼
编号:BP1652
英文名称:Cefdinir
规格:100mg/支
本品为头孢地尼化学对照品,供高效液相含量测定用,含量以头孢地尼(C14H13N5O5S2)计。
CAS号:91832-40-5
分子式:C14H13N5O5S2
分子量:395.42
结构式:

包装及装量:安瓿,100mg/支
储存条件:置4℃以下条件低温避光保存。
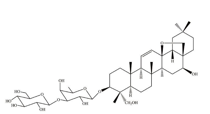
·柴胡皂苷a
编号:BP1072
英文名称:Saikosaponin a
规格:20mg/支
本品为柴胡皂苷a化学对照品,供鉴别和含量测定用,使用前不需干燥处理。含量以91.1%计。
CAS号:20736-09-8
分子式:C42H68O13
分子量:780.98
结构式:

包装:棕色安瓿瓶
装量:约20mg/支
储存条件:冷冻保存
注意事项:本品有引湿性,打开包装后一次使用完毕。
·L-焦谷*酸
编号:BP1880
英文名称:L-Pyroglutamic acid
规格:50mg/支
本品为L-焦谷*酸化学对照品,供谷*酰胺、甘*酰谷*酰胺、丙*酰谷*酰胺有关物质检查使用。
CAS号:98-79-3
分子式:C5H7NO3
分子量:129.11
包装:3ml棕色安瓿瓶
规格:50mg/瓶
储存条件:2-8℃保存
丹参酮IIA磺酸*标准品库存关键词:Sulfotanshinone Sodium,BP1235,丹参酮IIA磺酸*
丹参酮IIA磺酸*是我们热销产品之一,品牌代理,品质保证,专业性强,实验全程无忧。我公司已为中国市场提供数万种高端试剂,我们有能力提供毫克级,克级,甚至公斤级。试剂产品相关信息齐全,欢迎来电咨询、选购。
·盐*(代"酸")二氧丙嗪
编号:BP0237
英文名称:Dioxopromethazine Hydrochloride
规格:100mg/支
本品为盐*(代"酸")二氧丙嗪的化学对照品,供含量测定用。供HPLC法测定, 按C17H20N2O2S·HCl计,含量为99.9%。
分子式:C17H20N2O2S·HCl
分子量:352.88
包装及装量:棕色小瓶装,每支约100毫克。
储存条件:遮光,密封保存。
注意事项:105℃ 干燥2 小时后使用。
·降香挥发油
编号:BP1221
英文名称:/
规格:0.2ml
本品为盐*(代"酸")二氧丙嗪的化学对照品,供含量测定用。供HPLC法测定, 按C17H20N2O2S·HCl计,含量为99.9%。
分子式:C17H20N2O2S·HCl
分子量:352.88
包装及装量:棕色小瓶装,每支约100毫克。
储存条件:遮光,密封保存。
注意事项:105℃ 干燥2 小时后使用。
·头孢噻肟系统适用性对照品
编号:BP1733
英文名称:Cefotaxime for system suitability
规格:30mg
本品为头孢噻肟系统适用性对照品,供HPLC系统适用性实验用。
标准图谱:
1.头孢噻肟含量测定用标准图谱:

色谱柱:CapcellPakMGII(250*4.6mm,5μm,SHISEIDO)
2.头孢噻肟有关物质用标准图谱:

色谱柱:Capcel
·丙谷胺
编号:BP0143
英文名称:Proglumide
规格:100mg/支
本品为丙谷胺(Proglumide)的化学对照品,供HPLC法测定,按C18H26N2O4计,含量为99.7%。
分子式:C18H26N2O4
分子量:334.42
CAS号:6620-60-6
包装及装量:棕色小瓶装,每支约100毫克。
储存条件:遮光,密封保存。
注意事项:使用前不需干燥处理。
丹参酮IIA磺酸*标准品库存关键词:Sulfotanshinone Sodium,BP1235,丹参酮IIA磺酸*
我公司是集科研和生产为一体的专业化生物工程公司。特别是ELISA研发,代测,技术服务这一产品已使百奥莱博成为中国知名公司。 公司产品涵盖ELISA研发、细胞培养,各种生化试剂、各种酶类、分子生物学试剂盒、丹参酮IIA磺酸*、培养基等。我们进一步加强人才经营、产品经营,不断提升企业的核心竟争力,实现具有高科技产业体系、知识化创业团队的国际化的公司,服务于生命科学领域,迎接世界经济一体化所带来的机遇与挑战。
ARB13054 小鼠转化生长因子β1(TGF-β1)ELISA检测服务 Mouse transforming growth factor β1,tgf-β1 ELISA KIT
肌酸酶 Econazole nitrate 37340-58-2
ARB13257 小鼠嗜酸性粒细胞阳离子蛋白(ECP)ELISA代测服务 Mouse eosinophil cationic protein,ecp ELISA KIT
组织蛋白快速提取试剂盒(离心柱法) 50T|100 T
BL0914 FITC标记兔抗生物素抗体
BTN91107 SP6体外转录试剂盒 SP6 in vitro Transcription Kit
(不需DNA酶消化)"
固红GG盐 Ferrozine mono-sodiu*(代"m") salt 456-27-9
BTN80919 96孔板PCR片段纯化回收试剂盒(离心法) 96 Microwell Plate PCR Clean-Up Kit
BL1418 "Western blotting(人IgG)
ARB13357 牛白介素2(IL-2)elisa测定使用说明书 Bovine interleukin 2,IL-2 ELISA KIT
PY04-055 煌绿 1ml/支×10支 每支添加于100ml四硫*(代"磺")酸*煌绿增菌液基础培养基中,用于沙门氏菌的检测
内源性酶抑制剂(冰冻切片) 100ml
ARB12482 大鼠前列腺酸性磷酸酶(PAP)尿液中含量检测 Rat prostatic acid phosphatase,pap ELISA KIT
葡萄糖检测试剂盒(葡萄糖脱*酶微板法) 50T
BTN130518 醛基磁珠 Magnetic beads,Aldehydic
KT204 Taq Plantinum PCR MasterMix
F050316 鸭IgY抗体 Duck IgY
人工胃液(无菌) 500ml
丹参酮IIA磺酸*的不同等级:
除了优级纯、分析纯、化学纯、实验试剂外,目前市场上尚有:基准试剂(PT):专门作为基准物用,可直接配制标准溶液。光谱纯试剂(SP):表示光谱纯净。但由于有机物在光谱上显示不出,所以有时主成分达不到99.9%以上,使用时必须注意,特别是作基准物时,必须进行标定。纯度远高于优级纯的试剂叫做高纯试剂(≥ 99.99%)。
一般化学试剂的品级:一级试剂、二级试剂、三级试剂、四级试剂
国内标准名称:优级纯(保证试剂)、分析纯、化学纯 、实验试剂
国内标签颜色:绿色、红色、蓝色、中黄色
我公司强烈推荐标准品对照品系列产品,热情期待您的咨询选购丹参酮IIA磺酸*标准品库存。
风险提示:丁香通仅作为第三方平台,为商家信息发布提供平台空间。用户咨询产品时请注意保护个人信息及财产安全,合理判断,谨慎选购商品,商家和用户对交易行为负责。对于医疗器械类产品,请先查证核实企业经营资质和医疗器械产品注册证情况。
文献和实验、存储、处理和利用成为最重要的需求。传统的纸质版的数据记录(仪器工作站单独工作等原因)和手工管理方式使得各部门的数据都是一个个的孤岛,使得数据的获取和分析变得尤为困难。因此,创建一个高效的信息平台,将各种数据集变为信息,形成一个企业级的知识库,为研发和生产提供有力的支持尤为重要。 这一高效信息平台的创建往往需要三层架构,即企业资源管理系统(ERP),实验室信息管理系统(LIMS),电子实验记录本(ELN)或实验室执行系统(LES)、库存管理系统(CIMS),三层体系的协同合作有效加强了内部
度度05ng/。 4.标本收集 4.1标本类型:静脉血或动脉血的血清或血浆标本均可作为测标本(抗凝剂可用肝素钠、枸橼酸钠、ACD、CPDA-1或EDTA,抗凝剂的质量应符合化试药品要求--化学纯或分析纯,使用的比例以厂家推荐为准);其他体液如尿液、唾液、精液、羊水、胸水、腹水、乳汁等体液可以作为测标本,但加热灭活的血清和血库的库存血则不宜作为测标本。 4.2标本留取:以空腹为宜,收到标本后最好立即离心留取血清或血浆(凝固血应待其充分凝固后收集血清),不能有残留的红细胞、纤维蛋白丝
标准品的批号和效期。 3.2选择定标类型:Index Cal定标,Master Cal定标或Standard Cal定标。 3.3垂直滴加标准品到样品杯中置于相对应的样品栏中。 3.4按RUN,仪器自动进行定标并储存标准曲线。 4、试剂装载程序 将已经定过标的测定试剂盒放在仪器试剂栏中。 5、标本装载程序 根据实验要求选择相对应体积的样品置于相对应的样品杯中,将装有样品杯的样品架放入样品栏中。 6、仪器操作程序 6.1病人样品测试申请:从主菜单选择ORDERLIST,选择F6
技术资料暂无技术资料 索取技术资料










