相关产品推荐更多 >
万千商家帮你免费找货
0 人在求购买到急需产品
- 详细信息
- 文献和实验
- 技术资料
- 保存条件:
阴凉干燥
- 保质期:
长期
- 英文名:
Methyl stearate
- 库存:
998
- 供应商:
北京百奥莱博科技有限公司
- CAS号:
112-61-8
特别声明:本产品及我公司所售其他产品均为科研类试剂产品,严禁用于药物、医疗及其他非科研用途。
北京百奥莱博公司供应包括北京现货硬脂酸甲酯标准品供应在内的化学标准品,化学对照品,杂志对照品,HPLC标准品,UV标准品等高品质标准品、对照品
名称:北京现货硬脂酸甲酯标准品供应
英文名:Methyl stearate
编号:BP2004
规格:200mg/支
产地:国产|进口
品牌:百奥莱博
本品为硬脂酸甲酯化学对照品,供三油酸山梨坦、大豆油、山嵛酸甘油酯、月桂山梨坦、月桂酰聚氧乙*(代"烯")甘油酯、可可脂、油酰聚氧乙*(代"烯")甘油酯、油酸山梨坦、油酸*、油酸聚氧乙*(代"烯")酯、*化大豆油、*化蓖麻油、棕榈山梨坦、硬脂山梨坦、硬脂酸、聚山梨酯、蔗糖硬脂酸酯、橄榄油品种脂肪酸组成检查用。
CAS号:112-61-8
分子式:C19H38O2
分子量:298.49
结构式:

包
北京现货硬脂酸甲酯标准品供应极具性价比,此外,我公司正火爆促销以下产品:
柠檬酸铁 D-Phenylglycine 3522-50-7
F010205 小鼠抗猴IgG抗体 Monoclonal Mouse Anti-Monkey IgG
PY02-265 多粘菌素B培养基 250克
BL1376 20×SSC PH7.0
BFD055 喹诺酮快速检测卡
ARB11687 人葡萄糖依赖性胰岛素释放多肽(GIP)ELISA检测服务 Human glucose dependent insulin releasing polyPeptide,gip ELISA KIT
ARB13388 牛羧肽酶B1 定量分析
变色素2R 1,1′-Dianthrimide 4197-07-3
蛋白离心柱 个
ARB10798 人抗心磷脂抗体IgM(ACA-IgM)酶联免疫定量检测 Human anti-cardiolipin antibody igm,aca-igM ELISA KIT
F030433 胶体金标记山羊抗人IgG(H+L)抗体 Polyclonal Goat Anti-Human IgG*GOLD
BTN130863 碘化丙啶干粉 PI Powder
ARB13281 小鼠睾酮(T)Elisa定量检测 Mouse testoterone,t ELISA KIT
ARB12409 大鼠组织蛋白酶K(cAth-K)elisa测定使用说明书 Rat cathepsin k,cath-k ELISA KIT
ARB13614 兔子细胞间粘附分子1(ICAM-1/CD54)ELISA检测服务 Rabbit intercellular adhesion molecule 1,icam-1/cd54 ELISA KIT
铬天青S C12E9 1667-99-8
BL1311 Taq Plus DNA Polymerase
北京现货硬脂酸甲酯标准品供应关键词:Methyl stearate,硬脂酸甲酯,112-61-8
BL0794 牛IgG抗原(干粉)
CYB162016 兔抗Biotin(生物素) 0.5ml
蓝色琼脂糖凝胶6FF WSC
ARB11208 人细胞外信号调节激酶(ERK)含量检测 huma extracellular signal -regulated kinase,erk ELISA KIT
血液直接PCR试剂盒
7647-14-5 Sodium Chloride *化*
ARB14135 甘薯轻斑驳花叶病毒(SPMMV)Elisa定量检测
碳酸*饱和水溶液 500ml
BL0930 RBITC标记羊抗鸡IgG抗体
亚苄基丙*(代"酮") Acid alizarin blue B 122-57-6
J0309 兔抗小鼠IgG(H+L)抗血清 1ml/10ml
CYB168016 大鼠血清 100ml/瓶
DL-半胱*酸 DNA Marker Ⅱ 3374-22-9
ARB12433 大鼠骨成型蛋白受体Ⅱ(BMPR-Ⅱ)Elisa方法检测 Rat bone morphogenetic protein receptor Ⅱ,bmpr-Ⅱ ELISA KIT
103-47-9 CHES
BTN90702 即用型长片段PCR试剂盒 Instant Long PCR Mix
BTN120702 衣霉素溶液 Tunicamycin Solution
ARB10335 人水通道蛋白2(AQP-2)elisa检测说明书 Human aquaporin 2,aqp-2 ELISA KIT
PY01-090 叶酸 5克
穿刺培养基 10×2ml|50×2ml
6138-23-4 D-海藻糖 D-(+)-Trehalose dihydrate
北京现货硬脂酸甲酯标准品供应关键词:Methyl stearate,硬脂酸甲酯,112-61-8
硬脂酸甲酯上架一个月之内参与新品促销活动,新老客户订购此产品均可享受会员优惠,若您是我们的诚信会员,还可享受我司的VIP专线服务与优惠,欢迎来电咨询、订购您所需产品。
·克林霉素棕榈酸酯
编号:BP1745
英文名称:Clindamycin Palmitate
规格:100mg/支
本品为克林霉素棕榈酸酯化学对照品,供高效液相含量测定用,含量以克林霉素(C34H63ClN2O6S)计。
CAS号:25507-04-4
分子式:C34H63ClN2O6S
分子量:662.41
包装及装量:安瓿,100mg/支
储存条件:置4℃条件低温避光保存。
·醋酸甲地孕酮
编号:BP0138
英文名称:Megestrol Acetate
规格:100mg/支
本品为醋酸甲地孕酮(Megestrol Acetate)化学对照品,供鉴别和含量测定用。以C24H32O4计,供HPLC法测定,含量为 99.2%。
分子式:C24H32O4
分子量:384.52
CAS号:595-33-5
包装及装量:棕色瓶,约100mg/支
储存条件:干燥避光,室温密闭保存
注意事项:本品不需干燥处理,直接称取,避光操作
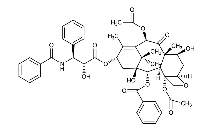
·紫杉醇
编号:BP0306
英文名称:Paclitaxel
规格:30mg/支
本品为紫杉醇化学对照品,供HPLC法含量测定用,按C47H51NO14计,含量为99.9%,使用前不需干燥处理。
分子式:C47H51NO14
结构式:

分子量:853.91
CAS号:33069-62-4
包装:棕色西林瓶。
规格:30毫克/支。
储存条件:遮光,密封保存。
·聚丙*(代"烯")酸树脂III
编号:BP2021
英文名称:Paclitaxel
规格:200mg
本品为聚丙*(代"烯")酸树脂Ⅲ化学对照品,供聚丙*(代"烯")酸树脂Ⅲ品种红外光谱鉴别用。
包装及装量:棕色西林瓶装, 每支约200 毫克
储存条件::遮光,密封,于阴凉处保存。
注意事项:使用前于 110℃干燥6 小时。
·三磷酸胞苷二*
编号:BP1879
英文名称:Cytiaine Disodiu*(代"m") Triphosphate
规格:30mg/瓶
本品为三磷酸胞苷二*化学对照品,含量为92.9%,供三磷酸胞苷二*含量测定用。
分子式:C9H14N3Na2O14P3
分子量:527.14
包装:棕色瓶
装量:约30mg/支
储存条件:遮光密闭,-20℃低温保存。
注意事项:使用前不需干燥。遇光易分解,打开包装后快速称量,使用棕色容器避光配制溶液。
我公司拥有专业生化试剂实验和销*(代"售")经验,为专业的您提供专业的服务。种类丰富,*基酸类、酶类、维生素类、硬脂酸甲酯、缓冲剂类、色素类、植物激素及核酸类、碳水化合物类、抗生素类均有销*(代"售")。品牌代理,质量保障,其产品涉及生命科学的所有领域,包括生化试剂,抗体,ELISA试剂盒等等。
我公司坚持“品质至上”, 通过与国际知名品牌的合作,选择高品质的产品,提供优质的客户服务。硬脂酸甲酯现货供应,以保证产品质量和市场需求率为主要目标,争取能在科研生命道路上能够长久的服务于广大新老客户。
我公司生产供应销*(代"售")的标准品对照品产品正全系列现货促销,满分期待您的垂询选购北京现货硬脂酸甲酯标准品供应。
风险提示:丁香通仅作为第三方平台,为商家信息发布提供平台空间。用户咨询产品时请注意保护个人信息及财产安全,合理判断,谨慎选购商品,商家和用户对交易行为负责。对于医疗器械类产品,请先查证核实企业经营资质和医疗器械产品注册证情况。
文献和实验摘要:用乙醚-己烷混合溶剂抽提柿树叶中的脂肪酸,NaOH-CH3OH交换法甲酯化,毛细管柱FFAP作为分离柱,进行气相色谱-质谱法测定脂肪酸(以甲酯的形式)的组成。共分离出21种脂肪酸,鉴定出19种,占总含量的98.72%,其中以肉豆蔻酸(6.68%)、棕榈酸(30.00%)、硬脂酸(10.42%)、十六碳三烯酸(1.44%)、亚油酸(1.84%)、十八碳一烯酸(22.22%)、亚麻酸(1.25%)、花生酸(1.72%)、蜡酸(19.01%)为主。 关键词:柿树叶;脂肪酸;气相色谱-
技术资料暂无技术资料 索取技术资料









