相关产品推荐更多 >
万千商家帮你免费找货
0 人在求购买到急需产品
- 详细信息
- 文献和实验
- 技术资料
- 保存条件:
-20℃
- 保质期:
1年
- 英文名:
Anti-DYKDDDDK (Flag) Affinity Gel
- 库存:
944
- 供应商:
北京百奥莱博科技有限公司
特别声明:本产品及我公司所售其他产品均为科研类试剂产品,严禁用于药物、医疗及其他非科研用途。
北京现货Anti-DYKDDDDK Flag亲和纯化凝胶特价优惠由专业试剂供应商北京百奥莱博提供,用于生化科研试验,本产品质量好,且极具价格优势,深为用户称道,了解更多Anti-DYKDDDDK Flag亲和纯化凝胶等蛋白质研究产品请联系我司咨询订购。
名称:北京现货Anti-DYKDDDDK Flag亲和纯化凝胶特价优惠
编号:SY0431
品牌:百奥莱博
规格:1ml
英文名:Anti-DYKDDDDK (Flag) Affinity Gel
Anti-Flag亲和纯化凝胶(Anti-DYKDDDDK (Flag) Affinity Gel)由高质量的鼠源 IgG2b 单克隆抗体与sepharose 4B gel 通过供价偶联制备,本产品具有较高的Flag标签融合蛋白加载容量(至少为1.1mg protein/mL凝胶),杂蛋白非特异结合少,可用于带有Flag标签的融合蛋白免疫沉淀(IP)和纯化。
Anti-DYKDDDDK (Flag) Affinity Gel(Anti-Flag亲和纯化凝胶)可结合Met修饰的N端Flag融合蛋白(Met-FLAG–Protein),N端Flag 融合蛋白(FLAG–Protein),C端Flag 融合蛋白(Protein-FLAG)。
本产品为50%悬浮液,含50%甘油及10 mM Na3PO4, 150 mM NaCl, pH 7.4,0.02%(w/v)叠氮*。
亚型(Isotype) Mouse IgG2b
纯化方法 Protein A
抗体浓度(Antibody Concentration) 7.5g抗体/L凝胶
应用(Application) 蛋白纯化,免疫沉淀(IP)
蛋白结合量(Protein) ≥1.1mg蛋白/mL凝胶
储存缓冲液(Buffer) 10 mM Na3PO4, 150 mM NaCl, 50% 甘油, pH 7.4,含有0.02%(w/v)叠氮*
储存条件:-20℃,有效期1年
更多有关北京现货Anti-DYKDDDDK Flag亲和纯化凝胶特价优惠的价格及使用说明等,请联系我们的业务经理王欣女士咨询,我公司还销*(代"售")以下产品:
·2,4-二**氧基乙酸
编号:SY0629
英文名称:2,4-Dichlorophenoxy acetic acid
规格:100g
本品为合成的生长类激素,用于植物培养中典型的工作浓度为1-50μM。2,4-二**氧基乙酸,英文名称2,4-Dichlorophenoxy acetic acid,简称2,4-D,是植物组培中最常用的一种诱导愈伤组织生成的生长素,可维持细胞的去分化状态。2,4-D也可作为除草剂的有效成分,通过破坏肌动蛋白骨架来控制细胞生长和根部伸长。
英文别名:2,4-D; Vidon 638; Diclordon;
CAS:94-75-7
分子式:C8H6O3Cl2
分子量:221
外观:white to light yellow powder
纯度:>98%
熔点:138℃
溶解性:溶于95%乙醇(100mg/ml)、乙*(代"醚")及丙*(代"酮"),几乎不溶于水
储存条件:室温
结构式:

·TNF-a-promoter-Luc荧光素酶报告基因质粒
编号:SY0110
英文名称:TNF-a-promoter luciferase reporter plasmid
规格:1μg
TNF-a-promoter荧光素酶报告基因(报告基因质粒)(TNF-a-promoter luciferase reporter plasimd)是用于检测human TNF-a-promoter激活水平为目的的报告基因。TNF-a(肿瘤坏死因子-α)是一种涉及到系统炎症的细胞因子,主要作用是调节免疫细胞的功能,促使发热,引起细胞凋亡,引发炎症,阻止肿瘤发生和病毒复制。
TNF-a-promoter报告基因主要应用于NF-kb信号通路的研究等和TNF-a-promoter激活水平的检测等。
pGMTNF-a-promoter-Lu是我公司改造后的哺乳动物真核表达载体,在其多克隆位点插入了human TNF-a启动子,可以高灵敏度地检测human TNF-a-promoter的激活水平。同时,对载体中预测出的其它转录因子以外的结合位点进行了适当的突变,增加了质粒对转录因子结合的特异性。另外,由于质粒体积减小,使得TNF-a-promoter报告基因质粒更易于转染。
质粒图谱

注意事项
本质粒未经我公司允许不得用于任何商业用途,也不得移交给订货人实验室以外的任何人或单位。
为了您的健康,实验操作时请穿实验服和带一次性手套。
使用说明
pGMTNFα-promoter-Lu可以采用常规转染方法转染哺乳动物细胞。用荧光素酶检测试剂盒或双荧光素酶检测试剂盒进行检测。
储存条件:-20℃。
北京现货Anti-DYKDDDDK Flag亲和纯化凝胶特价优惠关键词:Anti-DYKDDDDK Flag亲和纯化凝胶,SY0431,Anti-DYKDDDDK (Flag) Affinity Gel
·R-藻红蛋白标记驴抗山羊IgG(H+L)F(ab)2片段
编号:SY0734
英文名称:R-Phycoerythrin AffiniPure F(ab)2 fragment Donkey Anti-Goat IgG (H+L)
规格:100μl
本品是由R-藻红蛋白标记的驴抗山羊IgG(H+L)F(ab)2片段,是将驴抗血清经胃蛋白酶消化并使用抗原偶联的琼脂糖微珠亲和色谱纯化所得,借此可去除Fc片段和完整IgG分子。免疫电泳和/或ELISA法检测显示本品特异性结合完整的山羊IgG分子,也会与其他山羊免疫球蛋白的轻链结合。本品预先与相近物种包括鸡、豚鼠、叙利亚仓鼠、马、人、小鼠、兔、大鼠的血清蛋白经过亲和吸附处理,ELISA和/或固相免疫吸附检测证实本品与以上物种几乎无交叉反应。但可能会与其他物种免疫球蛋白发生交叉反应。本品不会与非免疫球蛋白类的血清蛋白发生交叉反应。
R-藻红蛋白的Amax(最大激发波长)为490nm,545nm,566nm,Emax(最大发射波长)为580nm。本品可做多标实验,应用于流式细胞术(FC)等实验。
藻胆(色素)蛋白浓度:0.5mg/ml
缓冲液:0.01M 磷酸*,0.25M *化*, pH 7.6
稳定剂:15mg/ml BSA(无IgG,蛋白酶)
荧光素:Phycoerythrin Amax=490nm,545nm,566nm;Emax=580nm
防腐剂:0.05% 叠氮化*
推荐稀释比例:1:50~200(适合多数实验)
储存条件:-20℃,避免反复冻融,有效期一年。
北京现货Anti-DYKDDDDK Flag亲和纯化凝胶特价优惠关键词:Anti-DYKDDDDK Flag亲和纯化凝胶,SY0431,Anti-DYKDDDDK (Flag) Affinity Gel
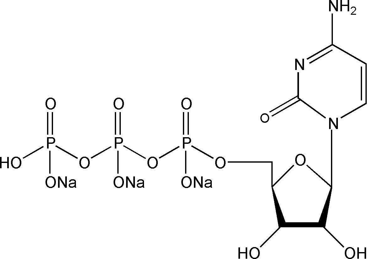
·胞苷三磷酸溶液(100 mM)(CTP)
编号:SY0053
英文名称:CTP Solution(100 mM)
规格:1ml
CTP即Cytidine-5-triphosphate,中文名为胞苷三磷酸,可用于分子生物学中多种相关应用,如体外转录、RNA扩增,以及胆碱和乙醇胺的合成等。
本产品为纯度≥99%(HPLC)的CTP三*盐配制所得的无色透明水溶液, pH (25℃)= 7.0±0.1,浓度为100mM,且无DNase,RNase和磷酸酶污染。
英文别名:Cytidine-5-triphosphate,trisodiu*(代"m") salt
CAS:65-47-4 (acid form)
分子式:C9H13N3Na3O14P3
分子量:549.1(acid form: 483.15)
外观:无色透明溶液
纯度:≥99%(HPLC)
结构式:
储存条件:-20℃,有效期2年。
我公司强烈推荐蛋白质研究系列产品,热情期待您的咨询选购北京现货Anti-DYKDDDDK Flag亲和纯化凝胶特价优惠。
风险提示:丁香通仅作为第三方平台,为商家信息发布提供平台空间。用户咨询产品时请注意保护个人信息及财产安全,合理判断,谨慎选购商品,商家和用户对交易行为负责。对于医疗器械类产品,请先查证核实企业经营资质和医疗器械产品注册证情况。
文献和实验Anti-DYKDDDDK tag (L5) Affinity Gel
or 0.22µm filter to prepare for L5 purification. Part II. Resin Preparation 1. Thoroughly suspend the resin by gentle inversion until the bottle of Anti- DYKDDDDK-tag (L5) affinity gel is a uniform suspension of gel beads. Transfer
Nat. Commun. | 北大刘涛与杨兴团队在蛋白质药物定点多修饰领域取得重要进展
,蛋白质的单一修饰已经不能够满足当前需求,比如偶联单一类型抗癌药物的 ADC 仍然存在疗效低、耐药等问题。因此蛋白质的双修饰或者多修饰在实现多功能蛋白药物的开发方面变得尤为重要。目前实现蛋白质多修饰,尤其是定点多修饰策略研究相对较少,是亟待解决的科学难题。 针对以上缺陷,2023 年 2 月 21 日,北京大学药学院刘涛及北京大学第一医院杨兴共同通讯在 Nature Communications 在线发表了题为 Noncanonical amino acids as doubly bio
就到 有些抗体有现货,有些抗体没有现货,需要订购。 米宝 只有等着了。。 bianbenjamin 中山金桥,北京的,他们的二抗也是jakson分装的,我个人觉得二抗没有那么关键。 米宝 今天做上了。。问公司要了点进口分装的。。明天看出不出结果了。。晕 米宝 出结果了!结果条带比较杂,但是p-akt还是比较清楚的!另外,出现诡异现象就是,无法解释!糖
技术资料暂无技术资料 索取技术资料










