相关产品推荐更多 >
万千商家帮你免费找货
0 人在求购买到急需产品
- 详细信息
- 文献和实验
- 技术资料
- 保存条件:
-20℃
- 保质期:
长期
- 英文名:
RIPA lysis buffer (Weak)
- 库存:
951
- 供应商:
北京百奥莱博科技有限公司
特别声明:本产品及我公司所售其他产品均为科研类试剂产品,严禁用于药物、医疗及其他非科研用途。
北京百奥莱博专业生产供应SY0315型RIPA裂解液(弱)(国产,进口),我公司销*(代"售")全品类的分子生物学试剂,价格优惠,欢迎广大科研工作者垂询订购。
名称:SY0315型RIPA裂解液(弱)(国产,进口)
英文名:RIPA lysis buffer (Weak)
编号:SY0315
品牌:百奥莱博
产地:国产|进口
RIPA裂解液(RIPA Lysis Buffer),其本意是Radio Immunoprecipitation Assay,是一种传统的细胞组织快速裂解液,对动物细胞胞膜、胞浆、胞核成分均有裂解作用。根据其裂解液的强度不同,大致可以分为强、中、弱三类。
本品为较为温和的裂解液(即RIPA裂解液(弱)),含有sodiu*(代"m") orthovanadate,sodiu*(代"m") fluoride,EDTA,leupeptin等多种抑制剂,可以有效抑制蛋白降解。裂解得到的蛋白样品可用于常规的Western、IP等实验。
注意事项
1)需自备PMSF。
2)裂解样品的所有步骤都需在冰上或4℃进行。
3) 用RIPA裂解液裂解得到的蛋白样品,可以用BCA蛋白浓度测定试剂盒测定其蛋白浓度(SY0298)。由于含有较高浓度的去垢剂,不能用Bradford法测定由本裂解液裂解得到样品的蛋白浓度。
4)为了您的安全和健康,请穿实验服并戴一次性手套操作。
储存条件:-20℃,避免反复冻融,有效期12个月。
使用说明:
(一) 细胞样品
1)融解RIPA裂解液,混匀。取适当量的裂解液,在使用前数分钟内加入PMSF,使PMSF的最终浓度为1mM。
2)贴壁细胞:去除培养液,用PBS、生理盐水或无血清培养液洗一遍(如果血清中的蛋白没有干扰,可以不洗)。按照6孔板每孔加入150-250μl 裂解液的比例加入裂解液。用枪吹打数下,使裂解液和细胞充分接触。通常裂解液接触细胞1-2秒后,细胞就会被裂解。
悬浮细胞:离心收集细胞,用手指把细胞用力弹散。按照6孔板每孔细胞加入150-250μl 裂解液的比例加入裂解液。再用手指轻弹以充分裂解细胞。充分裂解后应没有明显的细胞沉淀。如果细胞量较多,必需分装成50-100万细胞/管,然后再裂解。
3)充分裂解后,10000-14000g离心3-5分钟,取上清,即可进行后续的PAGE、Western和免疫沉淀等操作。
裂解液用量说明:通常6孔板每孔细胞加入150μl裂解液已经足够,但如果细胞密度非常高可以适当加大裂解液的用量到200μl或250μl。
(二)组织样品:
1)把组织剪切成细小的碎片。
2)融解RIPA裂解液,混匀。取适当量的裂解液,在使用前数分钟内加入PMSF,使PMSF的最终浓度为1mM。
3)按照每20mg组织加入150-250μl裂解液的比例加入裂解液。(如果裂解不充分可以适当添加更多的裂解液,如果需要高浓度的蛋白样品,可以适当减少裂解液的用量。)
4)用玻璃匀浆器匀浆,直至充分裂解。
5)充分裂解后,10000-14000g离心3-5分钟,取上清,即可进行后续的PAGE、Western和免疫沉淀等操作。
6)如果组织样品本身非常细小,可以适当剪切后直接加入裂解液裂解,通过强烈vortex使样品裂解充分。然后同样离心取上清,用于后续实验。直接裂解的优点是比较方便,不必使用匀浆器,缺点是不如使用匀浆器那样裂解得充分。
【注】:RIPA裂解液的裂解产物中经常会出现一小团透明胶状物,属正常现象。该透明胶状物为含有基因组DNA等的复合物。在不检测和基因组DNA结合特别紧密的蛋白的情况下,可以直接离心取上清用于后续实验;如果需要检测和基因组结合特别紧密的蛋白,则可以通过超声处理打碎打散该透明胶状物,随后离心取上清用于后续实验。如果检测一些常见的转录因子,例如NF-kappaB、p53等时,通常不必进行超声处理,就可以检测到这些转录因子。
SY0315型RIPA裂解液(弱)(国产,进口)极具性价比,此外,我公司正火爆促销以下产品:
·多聚D-赖*酸溶液(5mg/ml)(分子量15万~30万)(细胞培养级)
编号:SY0464
英文名称:Poly-D-lysine Solution (5 mg/ml), Mw 150,000-300,000
规格:2mg(5mg/ml)
本品为无菌的多聚D-赖*酸(Poly-D-lysine)溶液,浓度为5mg/ml,使用时直接稀释到需要浓度即可。本溶液以分子量为150,000-300,000的Poly-D-lysine配制所得。本品用作细胞培养基质,推荐使用量为:对于25cm2的培养板需要0.1mg/ml的聚赖*酸溶液约0.5ml-1.0ml。
多聚赖*酸(poly-lysine)是一种带正电荷的*基酸聚合物,能够结合于DNA,红细胞膜或任何带负电荷蛋白。是一种非特异性的细胞粘附因子,促进细胞吸附到固相基质上。作用机理在于其可增强细胞膜表面的负电荷离子和固相基质表面(如细胞培养皿,载玻片等)的静电相互作用。当吸附到培养表面后,多聚赖*酸提高用于细胞结合的阳离子结合位点数。多聚赖*酸分子量的大小与粘度相关,即分子量较低,粘度较低;分子量较高,粘度较高,提供的粘附位点也较多。分子量>30,000的聚赖*酸适用于促进细胞粘附到固体基质。
多聚赖*酸(poly-lysine)有两种常见亚型,D-和L-型。由于多聚赖*酸是细胞结合的非特异性粘附因子,因此两种亚型都可用作包被固体基质。然而在细胞培养相关应用中,某些细胞会消化多聚-L-赖*酸并吸收,摄入过多的多聚-L-赖*酸会产生一定的细胞毒性。因此,遇到这种情况首选多聚-D-赖*酸(Poly-D-lysine)。
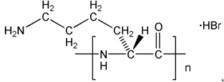
中文别名:多聚-D-赖*酸**酸盐,分子量150,000-300,000
英文别名:Poly-D-lysine hydrobromide, Mw 150,000-300,000; PDL , Mw 150,000-300,000;
CAS:27964-99-4
分子式:D-Lys-(D-Lys)n-D-Lys · xHBr
分子量:150,000-300,000
外观:无色至黄色溶液
储存条件:-20℃,有效期两年
结构式:

SY0315型RIPA裂解液(弱)(国产,进口)关键词:SY0315,RIPA裂解液,RIPA lysis buffer (Weak),RIPA裂解液(弱)
·AP3-GFP报告基因质粒
编号:SY0205
英文名称:AP3 GFP Reporter Plasmid
规格:1μg
AP3-GFP报告基因是用于检测AP3转录活性水平为目的的报告基因。
AP3-GFP报告基因主要应用于Activator Protein 3信号通路、药物研究、相关基因的调控和功能的研究。
pGMAP3-GFP是我公司改造后的哺乳动物真核表达载体,在其多克隆位点插入了多个AP3结合位点,可以高效地检测AP3的激活水平。由于载体采用了GFP作为报告基因,更便于后续的检测。同时,对载体中预测出的其它转录因子以外的结合位点进行了适当的突变,增加了质粒的转录因子结合特异性。另外,由于质粒体积减小,使得AP3-GFP报告基因更易于转染。
质粒图谱

pGM AP3 -GFP质粒测序引物
5’-TAGCAAAATAGGCTGTCCC-3’
使用说明
pGMAP3-GFP可以采用常规转染方法转染哺乳动物细胞。
注意事项
1)本质粒未经我公司允许不得用于任何商业用途,也不得移交给订货人实验室以外的任何人或单位。
2)为了您的健康,实验操作时请穿实验服和带一次性手套。
储存条件:-20℃。
SY0315型RIPA裂解液(弱)(国产,进口)关键词:SY0315,RIPA裂解液,RIPA lysis buffer (Weak),RIPA裂解液(弱)
ARB10465 人白三烯(LT)尿液中含量检测 Human leukotriene,lt ELISA KIT
BTN130427 丁基硫介质 Butyl-S Medium
Tris-甘*酸电泳粉剂(5×) 1L
ARB13040 小鼠补体片断5A(C5A)检测服务 Mouse complement fragment 5a,c5a ELISA KIT
ARB11453 人氧化低密度脂蛋白(ox-LDL)免费代测 Human ox-ldl ELISA KIT
ARB13144 小鼠总睾酮(TotAlT)含量分析
5(6)-羧基二乙酸荧光素琥珀酰亚胺酯 BIS-TRIS 150347-59-4
PY02-219 乙基紫叠氮*肉汤基础 250克
ARB11128 人肺耐药蛋白(LRP)ELISA检测服务 Human lung resistance-related protein,lrp ELISA KIT
ARB12324 大鼠肝型脂肪酸结合蛋白(L-FABP)Elisa方法检测
ARB12550 大鼠胰淀素(Amylin)elisa检测 Rat amylin ELISA KIT
丙*(代"酮")酸激酶(PK)定性检测试剂盒(荧光斑点法) 50T
ARB12970 小鼠肌*蛋白Ⅰ(Tn-Ⅰ)检测服务 Mouse troponin i,tn-i ELISA KIT
ARB13408 苏云金芽孢杆菌蛋白(BT)代做ELISA实验 bacillus thuringiensis,bt ELISA KIT
ARB12048 大鼠二肽基肽酶Ⅳ(DPPⅣ)血清中含量检测 Rat dipeptidyl peptldase Ⅳ,dppⅣ ELISA KIT
ARB13789 豚鼠白介素6(IL-6)定量分析 Guinea pig interleukin 6,IL-6 ELISA KIT
75-12-7 Formamide,Deionized 去离子甲酰胺
SuperReal PreMix(Probe)
D-(-)水杨苷 Arsenazo III 138-52-3
北京百莱博科技有限公司是蛋白质研究产品的专业生产供应销*(代"售")商,恭候您的咨询选购SY0315型RIPA裂解液(弱)(国产,进口)。
风险提示:丁香通仅作为第三方平台,为商家信息发布提供平台空间。用户咨询产品时请注意保护个人信息及财产安全,合理判断,谨慎选购商品,商家和用户对交易行为负责。对于医疗器械类产品,请先查证核实企业经营资质和医疗器械产品注册证情况。
文献和实验操作的自动化,数据管理、信息核对、结果传输都不能实现电子化,实验室管理规范程度仍然处于较低水平。一些实验室使用自制试剂或无批文的进口试剂,缺乏相关试剂的性能评价,实验结果的准确性无法得到保障。一些实验室甚至以设备、试剂条件不具备为由,不开展ABO反定型、不规则抗体筛查等试验,降低输血相容性检测结果的准确性,增加输血风险。 问题梳理 3 人不愿意来 国家在政策层面的要求促使许多医疗机构成立了单独的输血
189 本国产 SCI 大盘点,原来国产 SCI 这么优秀了!
较少,但是也不乏优秀的期刊。比如 JTD、CJC、CJCR 等少数杂志,他们的影响因子虽然不高,但是完全是走本土化出版的路线。3、但是不能忽略国产 SCI 普遍偏弱的事实。大部分国产 SCI 期刊分布在 3 分以下,部分更是存在声誉不佳的情况;而且学科领域分布不均,不能满足国内的 SCI 发文需求。图片来源:ZSCI
,三个一起上 从以上三个结果可以看到,第一种孵育方法抗原得率最高,第三种抗原得率最低。如果靶蛋白丰度较高,第一种和第二种差别并不显著。注意,整个体系选择同样的孵育顺序,以确保结果的重复性。 5、各种 buffer 整个 co-IP 系统,涉及到裂解液,结合液,洗涤液,洗脱液,这4种溶液要如何考量呢? 裂解液---样本质量很大程度受限于裂解液,要考虑其中的去垢剂种类。 非变性裂解液,含有非离子型去垢剂,有助于稳定天然蛋白构象,比如 IP lysis buffer。不建议使用变性裂解液
技术资料暂无技术资料 索取技术资料









