相关产品推荐更多 >
万千商家帮你免费找货
0 人在求购买到急需产品
- 详细信息
- 文献和实验
- 技术资料
- 库存:
655
- 供应商:
北京百奥莱博科技有限公司
- 英文名:
Poly-L-lysine, Mw 150,000-300,000
特别声明:本产品及我公司所售其他产品均为科研类试剂产品,严禁用于药物、医疗及其他非科研用途。
北京百奥莱博专注于生命科学和生物技术领域,致力于为客户提供包括多聚L-赖*酸(分子量15万~30万) 蛋白质研究在内的一系列分子生物学试剂产品,并提供一系列相关的技术服务。
名称:多聚L-赖*酸(分子量15万~30万) 蛋白质研究
英文名:Poly-L-lysine, Mw 150,000-300,000
编号:SY0461
产地:国产|进口
品牌:百奥莱博
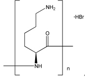
本品为多聚-L-赖*酸(Poly-L-lysine),分子量为150,000-300,000,适用于细胞培养。另外,以**酸(HBr)的形式提供,约1个赖*酸残基结合1分子的**酸,使其以稳定的结晶固体形式提供,并具有更强的水溶性。用作细胞培养基质,推荐使用量为:对于25cm2的培养板需要0.1mg/ml的聚赖*酸溶液约0.5ml-1.0ml。
多聚赖*酸(poly-lysine)是一种带正电荷的*基酸聚合物,能够结合于DNA,红细胞膜或任何带负电荷蛋白,是一种非特异性的细胞粘附因子,促进细胞吸附到固相基质上。作用机理在于其可增强细胞膜表面的负电荷离子和固相基质表面(如细胞培养皿,载玻片等)的静电相互作用。当吸附到培养表面后,多聚赖*酸提高用于细胞结合的阳离子结合位点数。多聚赖*酸分子量的大小与粘度相关,即分子量较低,粘度较低;分子量较高,粘度较高,提供的粘附位点也较多。分子量>30,000的聚赖*酸适用于促进细胞粘附到固体基质。
多聚赖*酸(poly-lysine)有两种常见亚型,D-和L-型。由于多聚赖*酸是细胞结合的非特异性粘附因子,因此两种亚型都可用作包被固体基质,在细胞培养中都可促进细胞的贴壁生长。
中文别名:多聚赖*酸溶液(L型)
英文别名:Poly-L-lysine Solution; PLL; Poly-L-lysine hydrobromide Solution
CAS:25988-63-0
分子式:L-Lys-(L-Lys)n-L-Lys·xHBr
分子量:150,000-300,000
外观:白色至类白色粉末
溶解性:溶于水(50mg/ml)
储存条件:-20℃干燥,有效期4年
结构式

注意事项
1)注意在细胞培养相关应用中,某些细胞会消化多聚 L-赖*酸并吸收,摄入过多的多聚 L-赖*酸会产生一定的细胞毒性。因此,遇到这种情况需选用多聚 D-赖*酸(Poly-D-lysine),如多聚D-赖*酸(5 mg/ml),分子量:150,000-300,000,细胞培养级,货号:SY0464。
2)将若想去除本品中的HBr,可将本品溶于中性缓冲液,可透析除去盐离子。
3)为了您的安全和健康,请穿实验服并戴一次性手套操作。
想要了解更多关于多聚L-赖*酸(分子量15万~30万) 蛋白质研究的价格、品牌、厂家、说明书、促销信息,请和我们联系。此外我公司还销*(代"售")下面的产品:
ARB12364 大鼠转化生长因子β(TGF-β)酶标法分析 Rat transforming growth factor-β,tgf-β ELISA KIT
ARB10541 人半乳甘露聚糖(GM)elisa测定使用说明书 Human galactomannan (GM) ELISA KIT
PY02-300 TPY琼脂培养基 250克
ARB12765 小鼠L选择素(L-SelectIn/CD62L)血清中含量检测 Mouse l-selectin ELISA KIT
ARB12776 小鼠Toll样受体9(TLR-9/CD289)ELISA代测服务 Mouse toll-like receptor 9,tlr-9 ELISA KIT
ARB10964 人免疫球蛋白A Fc段受体I(FcαRI/CD89)定量分析 Human receptor i for the fc region of immunoglobulin a,fcαri ELISA KIT
N-乙酰-L-色*酸 Acetoin 1218-34-4
硫*(代"酸")卡那霉素溶液(10mg/ml) Kanamycin 10mg/ml 10ml
ARB13583 兔子皮质醇(CortIsol)酶联免疫定量检测 Rabbit cortisol ELISA KIT
ARB11456 人特异性免疫球蛋白E(sIgE)免费代测 Human specific immunoglobulin e,sige ELISA KIT
组蛋白A(小牛胸腺) TAME 9064-47-5
PY01-138 血粉蛋白胨 250克
4,4-双(二甲*基)硫代二*甲酮 Acid brilliant red 1226-46-6
哌拉西林* L-Cysteine methyl ester hydrochloride 59703-84-3
25322-68-3 PEG3350 聚乙二醇
TEN缓冲液(1×,pH7.2) 500ml
4-甲基七叶亭 Grease of high temperature Ⅲ 529-84-0
ARB12139 大鼠生长激素(GH)Elisa分析 Rat growth hormone,gh ELISA KIT
SJ0172 DNA(Herring sperm) 鲱鱼精
BL0809 HRP标记羊抗人IgA抗体
多聚L-赖*酸(分子量15万~30万) 蛋白质研究关键词:多聚赖*酸溶液(L型),25988-63-0,分子量15万~30万,多聚L-赖*酸
·RIPA裂解液(中)
编号:SY0316
英文名称:RIPA Lysis Buffer (Medium)
规格:100ml
本品属于裂解强度居中的RIPA裂解液,含有sodiu*(代"m") orthovanadate,sodiu*(代"m") fluoride,EDTA,leupeptin等多种抑制剂,可以有效抑制蛋白降解。裂解得到的蛋白样品可用于常规的Western、IP等实验。
RIPA裂解液(RIPA Lysis Buffer),其本意是Radio Immunoprecipitation Assay,是一种传统的细胞组织快速裂解液,对动物细胞胞膜、胞浆、胞核成分均有裂解作用。根据其裂解液的强度不同,大致可以分为强、中、弱三类。
注意事项
1)需自备PMSF。
2)裂解样品的所有步骤都需在冰上或4℃进行。
3) 用RIPA裂解液裂解得到的蛋白样品,可以用BCA蛋白浓度测定试剂盒测定其蛋白浓度(SY0298)。由于含有较高浓度的去垢剂,不能用Bradford法测定由本裂解液裂解得到样品的蛋白浓度。
4)为了您的安全和健康,请穿实验服并戴一次性手套操作。
使用说明:
(一) 细胞样品
1)融解RIPA裂解液,混匀。取适当量的裂解液,在使用前数分钟内加入PMSF,使PMSF的最终浓度为1mM。
2)贴壁细胞:去除培养液,用PBS、生理盐水或无血清培养液清洗细胞一遍(如果血清中的蛋白没有干扰,可以不洗)。按照6孔板每孔加入150-250μl 裂解液的比例加入裂解液。用枪吹打数下,使裂解液和细胞充分接触。通常裂解液接触细胞1-2秒后,细胞就会被裂解。
悬浮细胞:离心收集细胞,用手指把细胞用力弹散。按照6孔板每孔细胞加入150-250μl 裂解液的比例加入裂解液。再用手指轻弹以充分裂解细胞。充分裂解后应没有明显的细胞沉淀。如果细胞量较多,必需分装成5×105~1×106个细胞/管,然后再裂解。
3)充分裂解后,10000-14000g离心3-5分钟,取上清,即可进行后续的PAGE、Western和免疫沉淀等操作。
裂解液用量说明:通常6孔板每孔细胞加入150μl裂解液已经足够,但如果细胞密度非常高可以适当加大裂解液的用量到200μl或250μl。
(二)组织样品:
1)把组织剪切成细小的碎片。
2)融解RIPA裂解液,混匀。取适当量的裂解液,在使用前数分钟内加入PMSF,使PMSF的最终浓度为1mM。
3)按照每20mg组织加入150-250μl裂解液的比例加入裂解液。(如果裂解不充分可以适当添加更多的裂解液,如果需要高浓度的蛋白样品,可以适当减少裂解液的用量。)
4)用玻璃匀浆器匀浆,直至充分裂解。
5)充分裂解后,10000-14000g离心3-5分钟,取上清,即可进行后续的PAGE、Western和免疫沉淀等操作。
6)如果组织样品本身非常细小,可以适当剪切后直接加入裂解液裂解,通过强烈vortex使样品裂解充分。然后同样离心取上清,用于后续实验。直接裂解的优点是比较方便,不必使用匀浆器,缺点是不如使用匀浆器那样裂解得充分。
【注】:RIPA裂解液的裂解产物中经常会出现一小团透明胶状物,属正常现象。该透明胶状物为含有基因组DNA等的复合物。在不检测和基因组DNA结合特别紧密的蛋白的情况下,可以直接离心取上清用于后续实验;如果需要检测和基因组结合特别紧密的蛋白,则可以通过超声处理打碎打散该透明胶状物,随后离心取上清用于后续实验。如果检测一些常见的转录因子,例如NF-kappaB、p53等时,通常不必进行超声处理,就可以检测到这些转录因子。
储存条件:-20℃,避免反复冻融,有效期12个月。
多聚L-赖*酸(分子量15万~30万) 蛋白质研究关键词:多聚赖*酸溶液(L型),25988-63-0,分子量15万~30万,多聚L-赖*酸
ARB10532 人鸟*酸*基甲酰转移酶(OCT)elisa测定使用说明书 Human ornithine carbamoyl transferase,oct ELISA KIT
ARB11969 大鼠c-fos ELISA检测服务 Rat c-fos ELISA KIT
ARB13143 小鼠总胆固醇(TC)尿液中含量检测
F030301 胶体金标记小鼠抗乙肝核心抗原抗体 Monoclonal Mouse Anti-HBcAg*GOLD
F050311 小鼠IgM抗体 Mouse IgM
BTN71201 柱式动物RNAOUT Column Animal RNAOUT
PY02-442 改良平板计数琼脂(MPCA) 250克
BTN100848 ECL法杂交检测试剂盒 ECL DIG Detection Kit
二乙基二硫代*基甲*(代"酸")银盐 Benzyldodecyldimethylammonium bromide 1470-61-7
ARB11561 人流感病毒B(FLU B)ELISA代测服务 Human influenza viruses b,flu b ELISA KIT
ARB10350 人分泌型卷曲相关蛋白5(SFRP5)elisa检测说明书
PY01-121 酸性蛋白酶(1:50000) 250克
改良Barth溶液(无*) 500ml
ARB13214 小鼠流行性腹泻病毒抗体(PEDV)尿液中含量检测
ARB12127 大鼠戊糖素(PentosIdIne)免费代测 Rat pentosidine ELISA KIT
(*并三氮唑-1-基氧基)二哌*(代"啶")碳六*磷酸盐 Ceftiofur Sodium 190849-64-0或206752-41-2
F020107 兔抗沙丁胺醇抗体 Rabbit Anti-salbutamol
F050302 人IgG抗体 Human IgG
ARB13720 兔诱导型一氧化*(代"氮")合成酶(INOS)酶联免疫定量检测 Rabbit inducible nitric oxide synthase,inos ELISA KIT
L-脯*酸苄酯盐*(代"酸")盐 C12E10 16652-71-4
ARB12005 大鼠S100蛋白(S-100)elisa检测说明书 Rat soluble protein-100,s-100 ELISA KIT
HotMaster PCR MasterMix
我公司生产供应销*(代"售")的蛋白质研究正全品类优惠促销,十分期待您的咨询选购多聚L-赖*酸(分子量15万~30万) 蛋白质研究。
风险提示:丁香通仅作为第三方平台,为商家信息发布提供平台空间。用户咨询产品时请注意保护个人信息及财产安全,合理判断,谨慎选购商品,商家和用户对交易行为负责。对于医疗器械类产品,请先查证核实企业经营资质和医疗器械产品注册证情况。
文献和实验多聚赖氨酸(Poly-L-Lysine)的配制、保存、使用总结
,我都是放一夜,第二天吸掉晾干就用,当然要紫外消一下.我觉得时间长点没什么大碍。 我们这里的老师说,多聚赖氨酸不能用紫外线照射。 1.用赖氨酸包被培养板和培养瓶时,应该选用多聚左旋赖氨酸(分子量为15-30万) ; 2.感觉你“浓度为50ng/1ml”有些低,我一般最后多聚赖氨酸使用浓度达到20-30ug/ml; 3.包被时间一般为6-7h,或者过夜也可; 4.使用时应该先用灭菌水洗三次+PBS(起平衡盐作用)洗一次,洗液的量应该大于包被液的量; 5.“多聚赖氨酸可以在培养瓶中放多长
。 我们这里的老师说,多聚赖氨酸不能用紫外线照射。 1.用赖氨酸包被培养板和培养瓶时,应该选用多聚左旋赖氨酸(分子量为15-30万) ; 2.感觉你“浓度为50ng/1ml”有些低,我一般最后多聚赖氨酸使用浓度达到20-30ug/ml; 3.包被时间一般为6-7h,或者过夜也可; 4.使用时应该先用灭菌水洗三次+PBS(起平衡盐作用)洗一次,洗液的量应该大于包被液的量; 5.“多聚赖氨酸可以在培养瓶中放多长
。 如果你做免疫组化 ,需要放小的玻片到孔内,就在加多聚赖氨酸之前用无菌的镊子将无菌的玻片夹到孔内即可。 问:PLL的分子量有3-5万,7-15万,15-30万几种,应怎样选择??谢谢:) 答:我们养神经细胞,用的是分子量3万到7万的pll 。 以PBS配成1mg/ml的母液,-20度保存。使用时,用高纯度的蒸馏水稀释成0.11mg/ml的使用浓度,过滤除菌,以50微升每平方厘米的量均匀涂于培养底物的表面,室温下静置5min,吸除多余液体,股风吹干即可
技术资料暂无技术资料 索取技术资料









