相关产品推荐更多 >
万千商家帮你免费找货
0 人在求购买到急需产品
- 详细信息
- 文献和实验
- 技术资料
- 保存条件:
2~8℃
- 保质期:
长期
- 英文名:
PCR fragment Purification Kit(with 96-wells plate)
- 库存:
929
- 供应商:
北京百奥莱博科技有限公司
特别声明:本产品及我公司所售其他产品均为科研类试剂产品,严禁用于药物、医疗及其他非科研用途。
百奥莱博专业生产销*(代"售")96孔板PCR片段纯化回收试剂盒(真空法)厂家,我公司供应的分子生物学试剂品类齐全,且具有优势价格,欢迎新老客户垂询订购。
名称:96孔板PCR片段纯化回收试剂盒(真空法)厂家
规格:1次
英文名:PCR fragment Purification Kit(with 96-wells plate)
产地:国产|进口
品牌:百奥莱博
编号:BTN131211
我公司的96孔板PCR片段纯化回收试剂盒(真空法)厂家,性价比高,货期短,送货上门,欢迎您来电咨询购买,另外,我公司还生产供应销*(代"售")下列产品:
·大肠杆菌HB101化学感受态细胞
编号:BTN81221
英文名称:E.coli HB101 Chemical Competent Cell
规格:0.1mL*10
HB101菌株是E.coli K12菌株与E.coli B菌株的杂合产物(同时也是Stbl3的原始菌株)。recA13突变可有效抑制长片段末端重复区的重组,降低错误重组的概率;但不含核酸酶endA1突变,体内核酸酶含量较高,提取质粒时务必使用质粒提取试剂盒中去蛋白液。hsdS20 背景使HB101缺失内切酶系统,增强了外源DNA的稳定性和提取质量。本产品是采用大肠杆菌HB101特殊工艺处理得到的感受态细胞,可用于DNA的化学转化。
产品特点:
1. 具有链霉素抗性。
2.基因型:F- mcrB mrr hsdS20(rB- mB-)recA13 leuB6 ara-14 proA2 lacY1galK2 xyl-5 mtl-1rpsL20((strR)glnV44λ-。
3. 不存在 lacIqZΔM15,不可用于蓝、白斑筛选。
4. 该菌株遗传性能稳定,使用方便,适用于各种基因重组实验。
储存条件:干冰运输、-80℃保存,有效期半年。
自备试剂:目的DNA、SOC或LB培养基等。
使用方法:
1. 取感受态细胞置于冰浴中。一次转化感受态细胞的建议用量为50-100μL,可以根据实际情况分装使用。
以下实验以50μL感受态细胞为例。
2. 待感受态细胞处于冰水混合状态时,向感受态细胞悬液中加入目的DNA(根据实际情况加入适量的DNA,通常100μL感受态细胞能够被1ng超螺旋质粒DNA所饱和),用移液器轻轻吹打混匀,冰浴25分钟。
3. 42℃热击45秒,迅速将离心管转移到冰浴中,冰上静置2-3分钟,晃动会降低转化效率。
4. 每个离心管中加入450μL 无菌的SOC或LB培养基(不含抗生素),混匀后置于37℃摇床,200rpm 振荡培养60分钟使菌体复苏。
5. 根据实验需求,取适量已转化的感受态细胞,加到含有相应抗生素的SOC或LB固体琼脂培养基上,用无菌的涂布棒将细胞均匀涂开,将平板置于37℃倒置培养12-16小时。
注意事项:
1. 混入质粒或连接产物时应轻柔操作。
2. 涂布用量可根据具体实验调整。若转化的DNA总量较多,可取少量转化产物涂布平板;若转化的DNA 总量较少,可取200-300μL转化产物涂布平板。若预计的克隆数较少,可通过离心(5000rpm,1分钟)收菌后吸除部分培养液,悬浮菌体后将其涂布于平板中。
3. 新制备的固体培养基不易涂干,可将平板正置于37℃直至液体被吸收后再倒置培养。
4. 涂布剩余的菌液可置于4℃保存,如果次日的转化菌落数过少,可以将剩下的菌液再涂布新培养基进行培养。
96孔板PCR片段纯化回收试剂盒(真空法)厂家关键词:BTN131211,真空法,96孔板PCR片段纯化回收试剂盒(真空法),PCR fragment Purification Kit(with 96-wells plate)
·RNase A溶液(2mg/mL)
编号:BTN60309
英文名称:RNase A Solution(2mg/mL)
规格:1.5mL
本产品是浓度为2mg/mL的RNase A溶液,不含DNase和蛋白酶活性,可以用于DNA提取(包括质粒DNA提取)时和蛋白质纯化时去除RNA污染。
储存条件:低温运输,-20℃保存,有效期一年。
·胆酸*
编号:BTN131048
英文名称:Sodium Cholate
规格:5g
本产品用于制备脂质体和分离脂质。HPLC测定其纯度>99%。低紫外吸收(1%溶液的A280<0.08)。可以重生固定化的多粘菌素B 亲和柱。
储存条件:常温运输和保存,有效期一年。
·AFLP试剂盒(EcoRI-MseI)
编号:BTN100903
英文名称:AFLP Kit(EcoRI-MseI)
规格:1600次
本产品在传统AFLP-PCR的基础上经过精心优化而开发。AFLP(amplified fragment length polymorphism)原理是一种结合RFLP和PCR技术特点的、迄今为止最有效分子标记分型技术,其原理如下:

产品特点:
1.一站式,足够50次酶切-连接反应、50次预扩反应和1600次AFLP PCR(PCR按30μL体系计算),但不包括DNA 纯化和带型分析试剂(如PAGE电泳试剂和银染试剂)。
2.本系列产品提供EcoRI-MseI 组合,适用于GC含量在50%以上的基因组。对GC含量在50%以下的基因组,需从本公司采购AFLP(EcoRI-TaqI)组合。
3.各种参数都经过优化,一次PCR所得AFLP片段数一般在10-100之间,可重复性好,误差小于0.6%。
4.本产品适用于基因组在500 Mb-6000Mb的材料(如动物和植物),对于基因组在50-500Mb的材料(如细菌和真菌)或50Mb以下的材料(如质粒,cosmid,BAC,YAC和PAC等),需要分别另购专门的+1型预扩引物混合液和+3型EcoRI引物(8 种)AFLP引物对。
试剂盒组成:
| 成分 | 规格 |
| 酶切-连接Buffer,10× | 100μl |
| EcoRI-MseI酶混合液 | 100μl |
| EcoRI-MseI 接头混合物 | 1ml |
| T4 DNA连接酶(1U/μL) | 50μl |
| +0型预扩引物混合液 | 750μl |
| PCR Mix 3.0 | 9ml×3 |
| 对照DNA(50ng/μL) | 20μl |
| +2型EcoRI引物(8条) | 1ml每种 |
| +3型MseI引物(8条) | 1ml每种 |
| TE溶液,pH8.0 | 10ml |
| 超纯水 | 10ml |
| 说明书 | 1份 |
+2型EcoRI引物和+3型MseI引物最后碱基的序列
| 引物名称 | 8条引物3´最后碱基 |
| +2型EcoRI引物 | -AA,-AT,-AG,-AC,-TA,-TT,-TG,-TC |
| +3型MseI引物 | -CAA,-CAC,-CAG,-CAT,-CTA,-CTC,-CTG,-CTT |
储存条件:低温运输、-20℃保存,有效期一年。
自备试剂:Southern级DNA纯化试剂,尿素-PAGE电泳套装,银染试剂盒。
使用方法:
一、DNA提取(本试剂盒不提供相关试剂)
用户需要自备50-500ng Southern级别的基因组DNA,用前最好预实验以确保DNA能够被EcoRI和MseI内切酶彻底切开。
二、限制性酶切和接头连接反应(本试剂盒足够50次本反应)
1.在0.2mL离心管中加入设置20μL的限制性内切酶酶切体系:
| 成分 | 用量 |
| 酶切-连接Buffer,10× | 2μl |
| 样品DNA | 50ng(对小基因组材料) 500ng(对大基因组材料) 如果用对照,则用5μL |
| EcoR I-Mse I酶混合液 | 2μl |
| 超纯水 | 加水到20μl |
2.轻柔混匀并短暂离心后,37℃保温2小时酶切(若PCR 仪器不带热盖,则必须加50μL自备石蜡油,否则水分会蒸发影响反应。下同),70℃保温15分钟灭活内切酶。
3.在上述酶反应体系中加入20μl EcoRI-MseI 接头混合物和1μl T4 DNA连接酶,轻柔混匀并短暂离心后,20℃保温2小时让接头跟DNA片段相连。
4.在一个离心管中加入10μl上步得到的连接反应液和90μL TE缓冲液,pH8,充分混匀,得到酶切-连接反应10倍稀释液,未用完的酶切-连接反应原液(30μL)可放-20℃保存。
三、预扩增(本试剂盒足够50次本反应)
5.在0.2mL离心管中设置30μl的PCR 体系:
| 成分 | 体积 |
| 酶切-连接反应液10倍稀释液 | 5μl |
| +0型预扩引物混合液 | 10μl |
| PCR Mix 3.0 | 15μl |
6.离心数秒,按下列参数进行PCR预扩增:
| 温度 | 时间 | |
| PCR(20次) | 94℃ | 30s |
| 56℃ | 60s | |
| 72℃ | 60s |
7.可以取10μl PCR产物在1.5%琼脂糖胶上电泳检测,产物为100-1500bp 模糊条带。
8.将剩下的预扩反应液用TE 稀释50倍,直接用于下步反应或放-20℃保存待用。
四、选择性PCR扩增(本试剂盒足够至少1600次本反应)
9.在0.2mL PCR 管中,加入下列成分(如果用户已经知道哪个一种或几种引物组合适合自己的材料,则直接使用;如果不知道,则需要预先测试所有64 种组合,设置64个PCR反应),下面只是一种组合:
| 成分 | 体积 |
| 预扩反应液50倍稀释液 | 5μl |
| +2型EcoR I引物之一(八种之一) | 5μl |
| +3型Mse I引物之一(八种之一) | 5μl |
| PCR Mix 3.0 | 15μl |
10.轻柔混匀后离心数秒,按下列参数进行PCR:
| 温度 | 时间 | |
| PCR(13次) | 94℃ | 30s |
| 65℃ | 30s(每次循环递减0.7℃) | |
| 72℃ | 60s | |
| PCR(13次) | 94℃ | 30s |
| 55℃ | 30s | |
| 72℃ | 60s | |
| 延伸 | 72℃ | 5min |
五、尿素-PAGE电泳和银染(需另购试剂并按相关说明书进行)
96孔板PCR片段纯化回收试剂盒(真空法)厂家关键词:BTN131211,真空法,96孔板PCR片段纯化回收试剂盒(真空法),PCR fragment Purification Kit(with 96-wells plate)
·Afu尿嘧啶-DNA糖基化酶
编号:BTN130648
英文名称:Afu Uracil-DNA Glycosylase
规格:200U
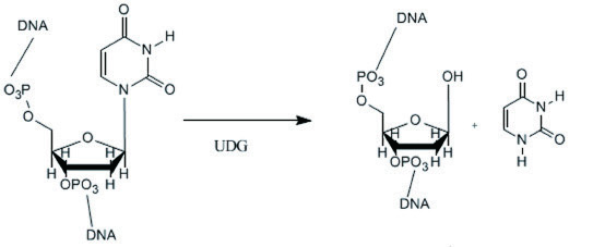
Afu尿嘧啶-DNA糖基化酶(Afu UDG)是E.coli尿嘧啶-DNA糖基化酶(UDG)热稳定的同源蛋白,来源于闪烁古生球菌。该酶从含尿嘧啶的DNA上催化释放尿嘧啶,能有效地水解双链和单链DNA上的尿嘧啶。其反应示意图如下:
产品特点:
1.热稳定;
2.从双链或单链DNA上切下尿嘧啶。
储存条件:低温运输,-20℃保存,有效期一年。
活性定义:1单位指每分钟从含尿嘧啶双链DNA上催化释放60pmol尿嘧啶所需要的酶量。
我公司强烈推荐核酸电泳和回收系列产品,热情期待您的咨询选购96孔板PCR片段纯化回收试剂盒(真空法)厂家。
风险提示:丁香通仅作为第三方平台,为商家信息发布提供平台空间。用户咨询产品时请注意保护个人信息及财产安全,合理判断,谨慎选购商品,商家和用户对交易行为负责。对于医疗器械类产品,请先查证核实企业经营资质和医疗器械产品注册证情况。
文献和实验Promega Wizard SV Gel and PCR Clean-up System 品牌:Promega回收范围:100bp-10kb价格:(50次包装的试剂盒报价为562元,11元/次)Promega的产品在进口品牌中一向以价格可亲而著称。这个胶回收试剂盒也不例外。并且这个试剂盒的性能参数好得令人刮目相看!首先是100bp—10kb的回收率高达80%—95%(用于PCR产物回收时适用于100bp—3.2kb的片断);然后是每个柱子的载量高达40ug!低至10ng。可以容纳更多
国产产品的对比,当然,参数是厂家提供的,标准有差别的。 品牌 天根(天为时代) 杭州 维特洁(已被Axygen收购)深圳天地人Omega产品普通琼脂糖凝胶回收试剂盒AxyPrep DNA凝胶回收试剂盒小量胶回收试剂盒琼脂糖凝胶回收试剂盒回收片段大小100bp-10kb75bp-10kb50bp-20kb回收率>80%(100 bp的DNA片段回收率为50 %以上)60�85%(根据长度不同)85%产品描述可以高效、专一结合DNA的硅基质材料和独特的缓冲
方法不当按照厂家说明书正确使用酶;设立阳性对照检测内切酶活性膜漂洗液(MW)去除不彻底,胶回收产物中残留有乙醇或盐再次乙醇沉淀回收,并确保DNA溶液体积不高于酶切反应总体积的10%电泳上样时漂出上样孔未添加上样缓冲液与适量上样缓冲液混合后上样膜漂洗液(MW)去除不彻底;胶回收产物中残留有乙醇确保洗涤步骤中洗涤缓冲液去除彻底,可增加离心时间或打开盖一段时间使残留乙醇挥发回收产物电泳条带不锐利DNA分子断裂切胶、混合等操作尽量小心,特别是大片段,应避免DNA因机械损伤而断裂其他DNA分子污染DNA切胶
技术资料暂无技术资料 索取技术资料










