相关产品推荐更多 >
万千商家帮你免费找货
0 人在求购买到急需产品
- 详细信息
- 文献和实验
- 技术资料
- 保存条件:
低温
- 保质期:
2年
- 英文名:
Dextrin
- 库存:
43
- 供应商:
上海机纯实业有限公司
- CAS号:
9004-53-9
- 规格:
500g
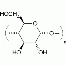
英文名:Dextrin
CAS号:9004-53-9
分子式:C6nH10nO5n·xH2O
EC号:232-675-4
MDL号: MFCD00081554
PubChem编号:24893590
属性
敏感性 易吸潮.
存贮条件 充氩保存
密度 1.8000
荧光 否
IC50 否
pK Values 否
描述
别名 白糊精;
产品介绍 系淀粉水解过程中形成的具有中等链长的一组多糖,几乎无气味,对斐林氏溶液无还原作用,遇碘呈红棕色。溶于3份沸水,形成胶体溶液;微溶于冷水,不溶于醇和醚。致死量(小鼠,静脉)350mg/kg。
用途 比色法测定有机化合物(在硫酸溶液中被重铬酸钾所氧化的有机物)的总含量时用作标准物质,锡、锌、铅、钙、镁的掩蔽剂,作保护胶体作用。制药。
糊精 ,AR只有不断给客户带来惊喜的产品才是会被选择的产品,但是创新并不是盲目的邯郸学步,而是要结合实际找对适合自己公司发展的方法,真情无限,我们亲情奉献,人间四季冬冷夏热,我司真诚不变。
糊精 ,AR公司提供一站式的采购模式:
1、规格:5g、10g、25g、100g、250g、500g
2、级别:AR、BR、GR、BS、LR……
4、产品订购以订货当日库存为准
3、将在力所能及的范围内,竭诚为您提供技术支持
糊精 ,AR以上信息可能还不够细致与全面,如果您需要了解更多相关信息或索取相关资料,欢迎您致电我司,我们将以热情的态度为您答疑解惑!
风险提示:丁香通仅作为第三方平台,为商家信息发布提供平台空间。用户咨询产品时请注意保护个人信息及财产安全,合理判断,谨慎选购商品,商家和用户对交易行为负责。对于医疗器械类产品,请先查证核实企业经营资质和医疗器械产品注册证情况。
文献和实验当淀粉受β -淀粉酶作用时,可分解得到麦芽糖含 61— 68%(理论值),以后生成的是不能分解的残留物。将这种残留物称为β -淀粉酶极限糊精。淀粉中的直链淀粉部分几乎能完全被β -淀粉酶分解,而支链淀粉则相当于淀粉中非分解残留物,这是由于β -淀粉酶仅能切断 1, 4葡糖苷键,而对具有 1, 6位葡糖苷键的分支没有作用,而在分支点前反应就终止了。同样的结果也可从糖原得到。另外在磷酸存在下,使磷酸化酶作用于支链淀粉、糖原,从其还原末端残基游离出 D-1磷酸葡萄糖,在分解进行到某种程度则会
问:看到有文献将β-环糊精交联后作柱材料,用于从水溶液中吸附α-淀粉酶,吸附上去后再用溶剂把α-淀粉酶洗下来,也有人在α-淀粉酶的水溶液中加入β-环糊精或羟丙化β-环糊精来提高α-淀粉酶的稳定性。疑问: β-环糊精与淀粉都是多糖(β-环糊精是7个葡萄糖围成的筒状结构),用β-环糊精作柱材料,不怕被淀粉酶水解吗?文献上的实验温度都是37度。 答:环糊精无半缩醛羟基,故无还原性,对酸稳定,普通淀粉酶难水解。
橘光绿天牛(Chelidenium ar gentatum)
天牛科天牛亚科绿天牛属的 1种。又名光绿天牛。是柑橘的主要害虫。柑橘栽培区(如安徽、江苏、浙江、四川、福建、广西、广东)均有分布。印度、缅甸和越南也有分布。成虫中型,体长 24~ 27毫米,体宽 5.8~ 8毫米。墨绿色,具光泽,腹面绿色,被银灰色绒毛。触角和足深蓝或墨紫色,跗节黑褐色。触角第 5~ 10节外端有尖刺。前胸背板侧刺突短钝,胸面具细密皱纹和刻点,两侧刻点粗大,皱纹较稀。小盾片光滑,几无刻点。鞘翅密布细刻点,微显皱纹,雄足后足腿节略超过鞘翅末端。
技术资料暂无技术资料 索取技术资料









