相关产品推荐更多 >
万千商家帮你免费找货
0 人在求购买到急需产品
- 详细信息
- 文献和实验
- 技术资料
- 保存条件:
低温
- 英文名:
Quercetin-3-O-β-D-glucose-7-O-β-D-gentiobioside
- 库存:
21
- 供应商:
上海机纯实业有限公司
- CAS号:
60778-02-1
- 规格:
20 mg
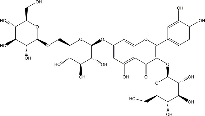
中文名:槲皮素-3-O-β-D-葡萄糖-7-O-β-D-龙胆双糖苷
英文名:Quercetin-3-O-β-D-glucose-7-O-β-D-gentiobioside
CAS号: 60778-02-1
分子式: C33H40O22
分子量: 788.661
储存条件: 2-8℃
来源: 南葶苈子
用途: 含量测定
在我们做实验的时候都会选择对应生化试剂,我们知道生化试剂的质量问题也会影响实验的关键,选购我司槲皮素-3-O-β-D-葡萄糖-7-O-β-D-龙胆双糖苷,拯救您的科研实验,我司产品优势明显,选择对的试剂,帮您做出漂亮的科研实验。
槲皮素-3-O-β-D-葡萄糖-7-O-β-D-龙胆双糖苷是我司重点销售品种,执行标准在业内处于领先水平,我司有专业的售后和技术人员全程指导,请放心购买,发货时均会附上产品化验单和送货单,使用说明及用量方法,可提供正规的增值税商业发票,物流,汽运,空运,顺丰等方式送货均可,款到发货。
槲皮素-3-O-β-D-葡萄糖-7-O-β-D-龙胆双糖苷提醒您:做完实验要洗手哦,试验之前看资料的时候,归类存放,看过后记下重点内容,并将出处标明,以免日后找不到。
试剂精华:
102601-34-3,CAPSO单钠盐 98%
10257-55-3,亚硫酸钙,92%
10257-55-3,亚硫酸钙,92%
10257-55-3,亚硫酸钙 ,90%
10257-55-3,亚硫酸钙 ,90%
102-56-7,2,5-二甲氧基苯胺 ,97%
102-56-7,2,5-二甲氧基苯胺 ,97%
102-54-5,二茂铁 ,99%
102-54-5,二茂铁 ,99%
102518-79-6,石杉碱甲,化学对照品(50mg)
102518-79-6,石杉碱甲 HPLC≥98%
10241-05-1,五氯化钼 ,99.6% metals basis
10241-05-1,五氯化钼 ,99.6% metals basis
10238-21-8,格列苯脲,化学对照品(100mg)
10238-21-8,格列苯脲,分析标准品,HPLC≥98%
10238-21-8,格列苯脲 HPLC≥98%
1023744-69-5,滇藏五味子素G HPLC≥98%
102-37-4,咖啡酸乙酯,化学对照品(50ml)
10236-47-2,柚皮苷,化学对照品(20mg)
10236-47-2,柚皮苷 HPLC≥98%
102-32-9,3,4-二羟基 ,98%
102-32-9,3,4-二羟基 ,98%
10217-52-4 ,水合联氨 ,AR,80%溶液
10217-52-4 ,水合联氨 ,AR,80%溶液
10213-79-3,偏硅酸钠,五水 ,95%
10213-79-3,偏硅酸钠,五水 ,95%
10213-10-2,钨酸钠 二水合物 ,AR,99.5%
10213-10-2,钨酸钠 二水合物 ,AR,99.5%
102130-43-8,苍术苷二钾盐(分析标准品)
102130-43-8,苍术苷二钾盐 HPLC≥98%
102115-79-7,伪原薯蓣皂苷,化学对照品(20mg)
102115-79-7,伪原薯蓣皂苷,分析标准品,HPLC≥97%
102115-79-7,伪原薯蓣皂苷 HPLC≥98%
102-08-9,N,N′-二苯基硫脲 ,98%
102-08-9,N,N′-二苯基硫脲 ,98%
102-08-9,N,N`-二苯基硫脲 槲皮素-3-O-β-D-葡萄糖-7-O-β-D-龙胆双糖苷98%
102-08-9,N,N`-二苯基硫脲 98%
102-07-8,N,N'-二苯基脲 ,98%
102-07-8,N,N'-二苯基脲 ,98%
102-06-7,二苯胍 分析标准品(for titrimetry),≥99.5%(HPLC)
风险提示:丁香通仅作为第三方平台,为商家信息发布提供平台空间。用户咨询产品时请注意保护个人信息及财产安全,合理判断,谨慎选购商品,商家和用户对交易行为负责。对于医疗器械类产品,请先查证核实企业经营资质和医疗器械产品注册证情况。
文献和实验大鼠 N- 乙酰 - β -D- 氨基葡萄糖苷酶( NAG ) 酶联免疫分析 试剂盒使用说明书 本试剂仅供研究使用 目的:本试剂盒用于测定大鼠血清,血浆及相关液体样本中N- 乙酰- β-D- 氨基葡萄糖苷酶(NAG ) 的 含量。 实验原理: 本试剂盒应用双抗体夹心法测定标本中 大鼠 N- 乙酰 - β -D- 氨基葡萄糖苷酶( NAG ) 水平。用纯化的 大鼠 N- 乙酰 - β -D
邻硝基苯-β-吡喃半乳糖苷 O-nitrophenyl-β-D-galactopyranoside
缩写为 ONPG。是广泛利用于β -半乳糖苷酶活力测定的底物。水解后可游离出邻硝基酚,由于邻硝基酚在碱性条件下呈黄色( 420毫微米光吸收),所以容易进行比色定量。另外利用这种性质,还可用于分离各种代谢调节突变株。
指 2分子 D-葡萄糖α -1, 4成键的二糖。按化学系统命名法称为 4-O-α -D-葡萄吡喃糖基 -( 1→ 4) -α -D-葡萄吡喃糖。由于用麦芽或从麦芽抽提出的糖化酶(淀粉酶)作用于淀粉溶液生成的化合物,所以产生这一名称。作为天然的淀粉的代谢产物,并不象蔗糖那样最初是由生物细胞合成利用的二糖物质。具有比蔗糖甜度低的良好甜味,发酵性能也佳,所以以淀粉为原料的制造麦芽糖的工业很早以来就很发达。可被α -葡萄糖苷酶分解成 D-葡萄糖,因此动物
技术资料暂无技术资料 索取技术资料










