万千商家帮你免费找货
0 人在求购买到急需产品
- 详细信息
- 文献和实验
- 技术资料
- 保存条件:
室温
- 保质期:
长期
- 英文名:
Hederagenin
- 库存:
325
- 供应商:
北京百奥莱博科技有限公司
特别声明:本产品及我公司所售其他产品均为科研类试剂产品,严禁用于药物、医疗及其他非科研用途。
百奥莱博公司致力于为全国科研单位提供药典标准品、对照品、标准溶液、标准样品、对照培养基、国家标准品等可靠标准物质,其中常春藤皂苷元对照品品牌的品质过硬,在广大科研人员中有口皆碑!
名称:常春藤皂苷元对照品品牌
产地:国产|进口
规格:20mg
编号:BP1325
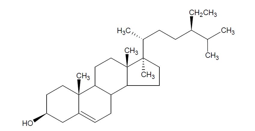
本品为常春藤皂苷元化学对照品,供含量测定用,含量以98.3%计。
分子式:C30H48O4
分子量:472.7
结构式:

包装及装量:棕色瓿,每支约20毫克。
储存条件:常温保存。
注意事项:本品置五氧化二磷减压干燥12 小时后使用。
更多有关常春藤皂苷元对照品品牌的价格及使用说明等,请联系我们的业务经理王欣女士咨询,我公司还销*(代"售")以下产品:
·β-谷甾醇
编号:BP1129
英文名称:β- Sitosterol
规格:约20mg/支
本品为β-谷甾醇化学对照品,供鉴别及含量测定用,含量以97.0%计,使用前不需干燥处理。
CAS号:83-46-5
分子式:C29H50O
分子量:414.7
结构式:

包装:棕色瓶
规格:约20毫克/支
储存条件:冷处(2~10℃)保存
·绒促性素
编号:BP1931
英文名称:Chorionic Gonadotrophin,Human
规格:60IU
本品为绒促性素生物标准品,供作绒促性素生物检定用,不能供临床使用。本品为冷冻干燥品,熔封于安瓿中。
装量:每支相当于 60 国际单位。
储存条件:本品应避光冷藏。
标准溶液的配制:于试验当日按绒促性素标准品标示效价加 0.9%*化*溶液少量溶解,然后用 0.5%羧甲基纤维素*溶液作溶媒稀释至适当浓度。贮于4-8℃冰箱保存。
·奥美沙坦酯杂质混合物
编号:BP0421
英文名称:Olmesartan Medoxomil Impurities
规格:RNH-8276约5μg,RNH-6373约6μg/支
本品是由奥美沙坦酯杂质RNH-6373和杂质RNH-8276配制成溶液,分装后吹干,内容物附于瓶底及瓶壁。本品供HPLC法检查用,每支含RNH-6373为5.5μg,RNH-8276为4.9μg。精密量取乙*(代"腈")-水(90:10)1.0ml,充分溶解,混匀,即可使用,使用前不需干燥处理。本品供HPLC法检查用。
分子式:C29H28N6O5(RNH-6373)
分子式:C48H50N12O5(RNH-8276)
分子量:540.58(RNH-6373)
分子量:875.01(R
常春藤皂苷元对照品品牌关键词:常春藤皂苷元,Hederagenin,BP1325
我公司以高效的产品质量,完善的销*(代"售")体系、快速、安全的产品渠道,优质的客户服务,以诚信的态度,真诚的对待客户、合作伙伴以及各位同仁,欢迎来电咨询常春藤皂苷元!
·山嵛酸甲酯
编号:BP2008
规格:25mg
本品为山嵛酸甲酯对照品,供大豆油、*化大豆油、橄榄油、山嵛酸甘油酯品种脂肪酸组成检查用,使用前不需干燥处理。
CAS号:929-77-1
分子式:C23H46O2
分子量:354.61
包装:棕色西林瓶装
装量:每支约25 毫克
保存条件: 密封,于阴凉处保存。
·阿拉伯糖
编号:BP1172
英文名称:Arabinose
规格:30mg
本品为山嵛酸甲酯对照品,供大豆油、*化大豆油、橄榄油、山嵛酸甘油酯品种脂肪酸组成检查用,使用前不需干燥处理。
CAS号:929-77-1
分子式:C23H46O2
分子量:354.61
包装:棕色西林瓶装
装量:每支约25 毫克
保存条件: 密封,于阴凉处保存。
·依替膦酸二*
编号:BP0855
英文名称:Arabinose
规格:200mg
本品为依替膦酸二*化学对照品,供UV法测定用,按C2H6Na2O7P2计,含量为96.7%。
CAS号:7414-83-7
分子式:C2H6Na2O7P2
分子量:249.99
包装及装量:棕色小瓶装,每支约200毫克。
储存条件:遮光,密封保存。
注意事项:使用前不需干燥处理。
·红霉素
编号:BP1553
英文名称:Erythromycin
规格:200mg/支
本品为红霉素标准品,供红霉素品种效价及组分测定用。
分子式:C37H67NO13
分子量:733.94
结构式:

包装及装量:安瓿;200mg/支
储存条件:4℃避光保存
使用方法:使用时精密称取适量,按标准方法进行测定。1000u/ml的红霉素溶液在5℃以下条件保存可使用7日。
·左羟丙哌*(代"嗪")杂质(缩水甘油)
编号:BP0955
英文名称:Levodropropizine Impurity(Glycidol)
规格:约300毫克/支
本品为左羟丙哌*(代"嗪")杂质(缩水甘油)化学对照品,使用前不需干燥处理。供GC法检查用。
CAS号:556-52-5
分子式:C3H6O2
分子量:74.08
结构式:

包装:安瓿瓶装
规格:约300毫克/支
储存条件:遮光,2-8℃密封保存。
常春藤皂苷元对照品品牌关键词:常春藤皂苷元,Hederagenin,BP1325
常春藤皂苷元由我公司优惠供应,公司常年现货,欢迎广大科研工作者及经销商同仁前来咨询选购,另外公司专业从事进口科研生化试剂的批发及零售业务,产品涉及分子生物学、细胞生物学、免疫学、生物化学等诸多生命科研领域。因公司业务发展的需要,现诚征各地经销代理商,欢迎有志从事本行业的精英、同行莅临指导。
磺酰罗丹明B Daunorubicin HCl 2609-88-3
RN3301 PLANTpure 通用植物总RNA快速提取试剂盒
79-14-1 羟基乙酸 glycolic acid
86-74-*(代"8") Carbazole 咔唑
D0101 脱纤维新生牛血(无菌 pet瓶装) 100ml/200ml/500ml
PY04-033 多粘菌素E 2.0mg/支×10支 每支添加于100ml牛津琼脂(OXA)基础培养基中,用于李斯特氏菌的选择性分离培养
ARB14200 小鼠肌动蛋白(Actin)elisa检测
ARB13551 兔子β血小板球蛋白/β血栓环蛋白(β-TG)酶联免疫定量检测 Rabbit β-thromboglobulin,β-tg ELISA KIT
碱性磷酸酶 Silver carbonate 9001-78-9
ARB10084 人CXC趋化因子受体1(CXCR1)Elisa分析 Human cxc-chemokine receptor 1,cxcr1 ELISA KIT
BL0933 RBITC标记兔抗狗IgG抗体
002008 枸橼酸纳抗凝马血
黑色素(水溶) 14.4-116kDa Protein Molecular weight Mark 8005-03-6
常春藤皂苷元上架一个月之内参与新品促销活动,新老客户订购此产品均可享受会员优惠,若您是我们的诚信会员,还可享受我司的VIP专线服务与优惠,欢迎来电咨询、订购您所需产品。
我公司正在优惠促销标准品对照品等系列产品,期待您的咨询选购常春藤皂苷元对照品品牌。
风险提示:丁香通仅作为第三方平台,为商家信息发布提供平台空间。用户咨询产品时请注意保护个人信息及财产安全,合理判断,谨慎选购商品,商家和用户对交易行为负责。对于医疗器械类产品,请先查证核实企业经营资质和医疗器械产品注册证情况。
文献和实验SPB-50型中等极性柱 醇,香料,咖啡,食品添加剂等。 (键合,50%二苯基,50%二甲基聚硅氧烷) 对照品牌:HP-50,HP-17,DB-17,RTx-50,AT-50 SPB-5型弱极性柱 类似固定相:OV-17,SP-2250,使用温度:30℃-310℃ (键合,5%苯基,95%甲基聚硅氧烷) 应用范围:烷烃,低沸点芳烃,多环芳烃,醇,甘 对照品牌:HP-5,DB-5,BP-5,CP-SIL
一、 SPB-1型非极性柱(键合,聚二甲基硅氧烷) 对照品牌:HP-1,DB-1,BP-1,CP-SIL 5CB,UItra-1,007-1,RTx-1,AT-1 类似固定相:SE-30,SP-2100,OV-1,OV-101 使用温度:-60℃-320℃ 应用范围:烷烃,芳烃,多环芳烃,醇,酚,酮,酯,醛,胺,卤代
一、对起草单位的要求: 1.HPLC法用于药品的有关物质检查或含量测定时,需提供建立HPLC法的依据及参考文献。 2.应对建立的方法进行论证,按照中国药典2000年版第二部凡例与附录收载的药品质量标准分析方法验证项下所列的要求进行试验。 3.建立方法时,应考虑下列事项: ①首选填料为十八烷基键合硅胶,并至少对两根不同品牌的色谱柱进行比较试验,其中一根为国产柱。 ②流动相首选甲醇-水系统,应尽可能少用含有缓冲液的流动相,如为碱性
技术资料暂无技术资料 索取技术资料










