万千商家帮你免费找货
0 人在求购买到急需产品
- 详细信息
- 文献和实验
- 技术资料
- 保存条件:
冷藏
- 保质期:
长期
- 英文名:
Sunset yellow
- 库存:
948
- 供应商:
北京百奥莱博科技有限公司
- CAS号:
2783-94-0
特别声明:本产品及我公司所售其他产品均为科研类试剂产品,严禁用于药物、医疗及其他非科研用途。
北京百奥莱博公司供应包括日落黄对照品销*(代"售")在内的化学标准品,化学对照品,杂志对照品,HPLC标准品,UV标准品等高品质标准品、对照品
名称:日落黄对照品销*(代"售")
产地:国产|进口
编号:BP2163
品牌:百奥莱博
规格:50mg/支
英文名:Sunset yellow
本品为日落黄化学对照品,供乌梅(炙乌梅)补充检验方法用,含量以86.9%计,使用前不需干燥处理。
CAS号:2783-94-0
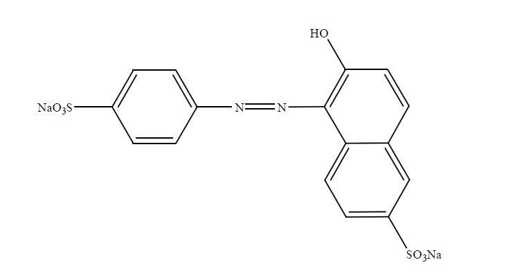
分子式:C16H10N2Na2O7S2
分子量:451.97
结构式:

包装:棕色安瓿瓶
规格:约50mg/支
储存条件:阴凉处保存
注意事项:本品极具引湿性,建议打开包装一次使用完毕。
欲咨询购买日落黄对照品销*(代"售"),请致电北京百奥莱博科技有限公司,为您提供最全面周到的产品服务,除此之外,我公司正在促销以下产品:
ARB13164 小鼠热休克因子1(HSF1)酶免分析 Mouse heat shock factor 1,hsf1 ELISA KIT
BTN3130 三合一RNA上样液 RNAON
两性电解质 EDDAB 37348-94-0
ARB11828 人踝蛋白(tAlIn)血清中含量检测 Human talin ELISA KIT
SJ0409 MUG4 甲基伞形酮葡萄糖苷酸
PY02-101 克氏双糖铁琼脂(下层) 250克
ARB10404 人可溶性细胞间粘附分子1(sICAM-1)定量分析 Human soluble intercellular adhesion molecule-1,sicam-1 ELISA KIT
2,9-二甲基-4,7-二*基-1,10-菲啰啉 Fluorene 4733-39-5
ARB12060 大鼠叉头蛋白P3(FOXP3)elisa检测操作说明书 Rat forkhead box p3,foxp3 ELISA KIT
二硫化钼 Amberlyst AB-8 1317-33-5
ARB13403 羊焦虫(pIroplAsmosIs)免费代测
ARB13768 鸭环磷酸腺苷(cAMP)Elisa定量检测 Duck cyclic adenosine monophosphate,camp ELISA KIT
ARB11771 人腺病毒抗原(ADV-Ag)elisa测定使用说明书 Human adenovirus antigen,adv-ag ELISA KIT
日落黄对照品销*(代"售")关键词:Sunset yellow,日落黄,2783-94-0
BTN120402 PCR专用LIC克隆套装 LIC Cloning Kit for PCR
ARB13638 兔子胶原酶Ⅱ(CollAgenAse Ⅱ)Elisa分析 Rabbit collagenase type Ⅱ ELISA KIT
SJ0612 UMP Na2 5"-单磷酸鸟苷二*
9014-25-9 酵母tRNA 转移核糖核酸
I型核酸染色剂 β-Naphthol Violet
SJ0764 大豆蛋白胨
ARB12305 大鼠抗酒石酸酸性磷酸酶5b(TRACP-5b)含量检测 Rat tartRate-resistant acid phosphatase 5b,tracp-5b ELISA KIT
PY04-075 *霉素溶液 10mg/支×10支 " 每支添加于100ml孟加拉红琼脂培养基基础中。
ARB10296 人天门冬*酸*基转移酶(AST)elisa测定使用说明书 Human aspartate aminotransferase,ast ELISA KIT
ARB11986 大鼠HMG-CoA还原酶(HMGR)ELISA检测服务
8-羟基-7-碘-5-喹*(代"啉")磺酸 HHPA 547-91-1
D-谷*酰胺 L-Cystathionine 5959-95-5
F040315 鸡IgY抗原 Chicken IgY
69-78-3 DTNB 5,5二巯基-2,2-二硝基*(代"*")甲醛
BL0886 兔抗马IgG免疫血清
琼脂糖凝胶CL-4B Lumbokinase capsules 61970-08-9
ARB11813 人膜攻击复合物(MAC)elisa检测操作说明书 Human membrane attack complex,mac ELISA KIT
BL1046 马丁氏肉汤
PY02-214 厌氧肉肝汤 250克
ARB10464 人生长激素释放肽(GHRP-Ghrelin)含量测试 Human growth hormone releasing Peptide-ghrelin,ghrp-ghrelin ELISA KIT
NF-269 冻干纤维蛋白(Fg)标准血清
ARB12385 大鼠肿瘤坏死因子β(TNF-β)ELISA检测服务 Rat tumor necrosis factor β,tnf-β ELISA KIT
日落黄对照品销*(代"售")关键词:Sunset yellow,日落黄,2783-94-0
我公司先后与天津中医学院、北京军区总医院、复旦大学、北京大学、上海交通大学、华东师范大学、第二军医大学、南京大学、清华大学、复兴医院、南京工业大学、301医院、中科院上海分院等多家单位建立了良好的合作关系。本公司可为您提供高品质的日落黄等科研试剂。 公司秉承“专注品质、信守承诺、积极沟通、创新服务”的企业文化积极参与生物领域的技术创新和技术服务,力求为我国科研事业更好的,更专业的服务!
BTN90603 随机引物法DNA探针标记试剂盒 Random Primer DNA Labeling Kit
D-绵子糖 Captopril 17629-30-0
ARB10750 人抑制素(INH)含量测试 Human inhibin,inh ELISA KIT
哌*(代"嗪")-N,N-双(2-羟基乙磺酸) NAPP 68189-43-5
133-32-4 Indole-3-butyricacid(IBA)吲哚-4-丁酸(水溶)
BTN90608 中提柱式BAC DNAOUT Midi Column BAC DNAOUT
PY02-273 胰酪胨大豆琼脂 250克
BL0627 ConA-琼脂糖凝胶4B ConA Sepharose 4B
4-羟基肉桂酸 Fmoc-N-Me-Val-OH 501-98-4
脂肪氧化酶 Stearic Acid 9029-60-1
ARB11345 人类风湿因子(RF)含量分析 Human rheumatoid factor,rf ELISA KIT
BTN130525 蛋白*(代"磷")酸酶抑制剂混合液2 Phosphotase Inhibitor Cocktail 2
ARB13026 小鼠肝脂酶(HL)免费代测 Mouse hepatic lipase,hl ELISA KIT
ARB10611 人血红蛋白C(HbC)Elisa分析 Human hemoglobin c,hbc ELISA KIT
聚乙*(代"烯")醇磷酸铵 β-D-Glucan from barley
ARB13819 豚鼠基质金属蛋白酶9(MMP-9)酶联免疫定量检测 Guinea pig matrix metalloproteinase 9,mmp-9 ELISA KIT
ARB14151 牛血清白蛋白(BSA)elisa检测
F030711 BIOTIN标记羊抗乙肝核心抗原抗体 Polyclonal Goat Anti-HBcAg*BIOTIN
我公司为您您提供日落黄相关的所有信息,如:第二名称、CAS号、规格、熔点、MSDS、用途、作用、毒性、价格等。规格包装,现货供应,极速发货,实验即可安排,试剂随叫随到,无需等待!
我公司坚持“品质至上”, 通过与国际知名品牌的合作,选择高品质的产品,提供优质的客户服务。日落黄现货供应,以保证产品质量和市场需求率为主要目标,争取能在科研生命道路上能够长久的服务于广大新老客户。
我公司生产供应销*(代"售")的标准品对照品产品正全系列现货促销,满分期待您的垂询选购日落黄对照品销*(代"售")。
风险提示:丁香通仅作为第三方平台,为商家信息发布提供平台空间。用户咨询产品时请注意保护个人信息及财产安全,合理判断,谨慎选购商品,商家和用户对交易行为负责。对于医疗器械类产品,请先查证核实企业经营资质和医疗器械产品注册证情况。
文献和实验一枝蒿,百病都除掉”的民间谚语,一枝蒿用于治疗毒蛇咬伤、荨麻疹、消化不良、跌打红肿、感冒发烧、咽喉肿痛等症。以一枝蒿为主药的复方制剂,已针对感冒和过敏性鼻炎等症上市销售。一枝蒿中含有黄酮类、酮酸类、氨基酸类、苷类、多糖类、挥发油类、多肽和生物碱类等化学成分[5],其中倍半萜成分――一枝蒿酮酸含量较高[6],以该化合物作为药材对照品能够较好的控制药材质量,且倍半萜类成分大多具有抗肿瘤等多种生物活性。文章建立一枝蒿酮酸的含量测定方法,简便易行,准确可靠,可为一枝蒿药材及相关产品的质量控制奠定
技术资料暂无技术资料 索取技术资料










