万千商家帮你免费找货
0 人在求购买到急需产品
- 详细信息
- 技术资料
- 保存条件:
低温
- 英文名:
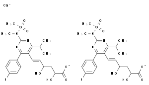
Rosuvastatin Calcium
- 库存:
43
- 供应商:
上海机纯实业有限公司
- CAS号:
147098-20-2
- 规格:
100mg
瑞舒伐他汀钙资料:
中文名:瑞舒伐他汀钙
英文名:Rosuvastatin Calcium
别名: 瑞舒伐他汀钙; 超级他汀钙; (3R,5S,6E)-7-[4-(4-氟苯基)-6-异丙基-2-(N-甲基-N-甲磺酰胺基)-5-嘧啶]-3,5-二羟基-6-庚烯酸钙; 罗舒伐他汀钙;calcium (E)-7-(4-(4-fluorophenyl)-6-isopropyl-2-(N-methylmethylsulfonamido)pyrimidin-5-yl)-3,5-dihydroxyhept-
CAS号: 147098-20-2
分子式: C44H54CaF2N6O12S2
分子量: 1001.14
沸点: 122℃
储存条件: 2-8℃
来源: 合成
溶解性: Soluble in water (< 1 mg/ml at 25 °C), chloroform, DMSO (100 mg/ml at 25 °C), methanol, and ethanol (< 1 mg/ml at 25 °C).
瑞舒伐他汀钙属于危险品类的化学物品介绍:
1、易爆和不稳定物质,如浓过氧化氢、有机过氧化物等。
2、氧化性物质,如氧化性酸,过氧化氢也属此类。
3、可燃性物质,除易燃的气体、液体、固体外,还包括在潮气中会产生可燃物的物质,如碱金属的氢化物、碳化钙及接触空气自燃的物质如白磷等。
4、有害物质。
5、腐蚀性物质,如酸、碱等。
6、放射性物质。
瑞舒伐他汀钙行业收官拉锯战,现已拉开序幕,价格冰冻价、品牌促销价、业内会员价、统统显现,不用再观望了,现在买正合适,在飞速发展的今天,科研已成为一个时代的标志。
相关试剂信息:
512345,异壬酸,97%
512-56-1,磷酸三甲酯 ,98%
512-56-1,磷酸三甲酯 ,98%
512-69-6,D-棉籽糖,分析标准品,HPLC≥98%
51298-62-5,Nω-硝基-L-精氨酸甲酯盐酸盐 ,98%
51298-62-5,Nω-硝基-L-精氨酸甲酯盐酸盐 ,98%
51-30-9,盐酸异丙肾上腺素,分析标准品,HPLC≥98%
51-30-9,盐酸异丙肾上腺素,化学对照品(50mg)
51317-08-9,β-桉叶醇 HPLC≥98%
51317-08-9,伪金丝桃素 HPLC≥98%
51330-27-9,大豆皂苷Bb HPLC≥98%
51333-22-3,布地奈德,化学对照品(100mg)
513-35-9,异戊烯 ,95%
513-35-9,异戊烯 ,95%
51-34-3,东莨菪碱,分析标准品,HPLC≥98%
51-35-4,L-羟脯氨酸 HPLC≥98%
51-35-4,L-羟脯氨酸,分析标准品,HPLC≥98%
51-35-4,L-羟脯氨酸,化学对照品(50mg)
51-36-5,3,5-二氯苯甲酸,分析标准品,HPLC≥98%
5137-55-3,甲基三辛基氯化铵 ,97%
5137-55-3,甲基三辛基氯化铵 ,97%
513-77-9,碳酸钡 ,99.8%,D50 0.5-1.5μm
513-77-9,碳酸钡 ,99.8%,D50 0.5-1.5μm
513-77-9,碳酸钡,99.5%
513-77-9,碳酸钡,99.5%
513-78-0,碳酸镉 ,99.99%
513-78-0,碳酸镉 ,99.99%
5140-72-7,2-溴-6-氯吡啶,99.5%
5140-72-7,2-溴-6-氯吡啶,99.5%
514-10-3,松香酸 ,瑞舒伐他汀钙75%
514-10-3,松香酸 ,75%
514-10-3,松香酸,化学对照品(10mg)
51415-02-2,竹节参皂苷Ⅳa HPLC≥98%
51415-02-2,竹节参皂苷Ⅳa(分析标准品)
51415-02-2,竹节参皂苷ⅣA,分析标准品,HPLC≥98%
51415-02-2,竹节参皂苷ⅣA,化学对照品(20mg)
5142-23-4,3-甲基腺嘌呤,分析标准品,HPLC≥99%
51429-74-4,磷钼酸水合物 ,AR
51429-74-4,磷钼酸水合物 ,AR
514-36-3,氟氢可的松,分析标准品,HPLC≥97%
中文名:瑞舒伐他汀钙
英文名:Rosuvastatin Calcium
别名: 瑞舒伐他汀钙; 超级他汀钙; (3R,5S,6E)-7-[4-(4-氟苯基)-6-异丙基-2-(N-甲基-N-甲磺酰胺基)-5-嘧啶]-3,5-二羟基-6-庚烯酸钙; 罗舒伐他汀钙;calcium (E)-7-(4-(4-fluorophenyl)-6-isopropyl-2-(N-methylmethylsulfonamido)pyrimidin-5-yl)-3,5-dihydroxyhept-
CAS号: 147098-20-2
分子式: C44H54CaF2N6O12S2
分子量: 1001.14
沸点: 122℃
储存条件: 2-8℃
来源: 合成
溶解性: Soluble in water (< 1 mg/ml at 25 °C), chloroform, DMSO (100 mg/ml at 25 °C), methanol, and ethanol (< 1 mg/ml at 25 °C).
瑞舒伐他汀钙属于危险品类的化学物品介绍:
1、易爆和不稳定物质,如浓过氧化氢、有机过氧化物等。
2、氧化性物质,如氧化性酸,过氧化氢也属此类。
3、可燃性物质,除易燃的气体、液体、固体外,还包括在潮气中会产生可燃物的物质,如碱金属的氢化物、碳化钙及接触空气自燃的物质如白磷等。
4、有害物质。
5、腐蚀性物质,如酸、碱等。
6、放射性物质。
瑞舒伐他汀钙行业收官拉锯战,现已拉开序幕,价格冰冻价、品牌促销价、业内会员价、统统显现,不用再观望了,现在买正合适,在飞速发展的今天,科研已成为一个时代的标志。
相关试剂信息:
512345,异壬酸,97%
512-56-1,磷酸三甲酯 ,98%
512-56-1,磷酸三甲酯 ,98%
512-69-6,D-棉籽糖,分析标准品,HPLC≥98%
51298-62-5,Nω-硝基-L-精氨酸甲酯盐酸盐 ,98%
51298-62-5,Nω-硝基-L-精氨酸甲酯盐酸盐 ,98%
51-30-9,盐酸异丙肾上腺素,分析标准品,HPLC≥98%
51-30-9,盐酸异丙肾上腺素,化学对照品(50mg)
51317-08-9,β-桉叶醇 HPLC≥98%
51317-08-9,伪金丝桃素 HPLC≥98%
51330-27-9,大豆皂苷Bb HPLC≥98%
51333-22-3,布地奈德,化学对照品(100mg)
513-35-9,异戊烯 ,95%
513-35-9,异戊烯 ,95%
51-34-3,东莨菪碱,分析标准品,HPLC≥98%
51-35-4,L-羟脯氨酸 HPLC≥98%
51-35-4,L-羟脯氨酸,分析标准品,HPLC≥98%
51-35-4,L-羟脯氨酸,化学对照品(50mg)
51-36-5,3,5-二氯苯甲酸,分析标准品,HPLC≥98%
5137-55-3,甲基三辛基氯化铵 ,97%
5137-55-3,甲基三辛基氯化铵 ,97%
513-77-9,碳酸钡 ,99.8%,D50 0.5-1.5μm
513-77-9,碳酸钡 ,99.8%,D50 0.5-1.5μm
513-77-9,碳酸钡,99.5%
513-77-9,碳酸钡,99.5%
513-78-0,碳酸镉 ,99.99%
513-78-0,碳酸镉 ,99.99%
5140-72-7,2-溴-6-氯吡啶,99.5%
5140-72-7,2-溴-6-氯吡啶,99.5%
514-10-3,松香酸 ,瑞舒伐他汀钙75%
514-10-3,松香酸 ,75%
514-10-3,松香酸,化学对照品(10mg)
51415-02-2,竹节参皂苷Ⅳa HPLC≥98%
51415-02-2,竹节参皂苷Ⅳa(分析标准品)
51415-02-2,竹节参皂苷ⅣA,分析标准品,HPLC≥98%
51415-02-2,竹节参皂苷ⅣA,化学对照品(20mg)
5142-23-4,3-甲基腺嘌呤,分析标准品,HPLC≥99%
51429-74-4,磷钼酸水合物 ,AR
51429-74-4,磷钼酸水合物 ,AR
514-36-3,氟氢可的松,分析标准品,HPLC≥97%
风险提示:丁香通仅作为第三方平台,为商家信息发布提供平台空间。用户咨询产品时请注意保护个人信息及财产安全,合理判断,谨慎选购商品,商家和用户对交易行为负责。对于医疗器械类产品,请先查证核实企业经营资质和医疗器械产品注册证情况。
技术资料暂无技术资料 索取技术资料
瑞舒伐他汀钙
¥325









