万千商家帮你免费找货
0 人在求购买到急需产品
- 详细信息
- 文献和实验
- 技术资料
- 保存条件:
避光保存
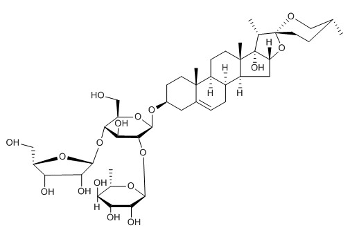
- 英文名:
Polyphyllin H
- 库存:
38
- 供应商:
上海机纯实业有限公司
- CAS号:
81917-50-2
- 规格:
5mg
英文名: Polyphyllin H
CAS号: 81917-50-2
储存条件: 2-8℃
来源: 重楼
敏感性: 易吸潮
重楼皂苷H服务优势:
1、服务到位、高灵敏度、特异性、价格实惠、操作简单。
2、所购有质量方面的问题,一律免费包换(除人为)。
3、客户有任何疑问,均是一个工作日,给出解决方案。
4、免费提供产品说明书、样本处理方法、试验原理。
5、售前售中售后技术咨询、产品报价等服务。
重楼皂苷H特殊订做
坚守从源头把控质量,运用全新科技把控贮存环境的温度、湿度、通风等条件,保证产品品质及性质稳定,按照不同类型、规格及级别分类、分格存储,根据不同实验需求公司提供瓶装、盒装、试管装,也可。
关于重楼皂苷H
CAS号、分子式、分子量、性状、熔点等化学及物理性质,贮存、用途等具体信息,可向我们生化试剂专业销售人员索取,纸质说明书,我们随货发出。
风险提示:丁香通仅作为第三方平台,为商家信息发布提供平台空间。用户咨询产品时请注意保护个人信息及财产安全,合理判断,谨慎选购商品,商家和用户对交易行为负责。对于医疗器械类产品,请先查证核实企业经营资质和医疗器械产品注册证情况。
文献和实验位于小鼠第 17对染色体(第 1X连锁群)上,是决定小鼠主要组织亲和性抗原 H-2抗原表达的基因。一个小鼠个体的 H-2抗原包括许多抗原的复合体,它至少和 H-2K、 H-2G、 H-2D三个基因座位有关。 H- 2K和 H-2D位于两端,它们之间的交换率为 0.5%。由于在 H-2基因座位内包含有免疫应答基因( Ir)、补体第四成分基因( Ss)、雄特有蛋白质基因( Slp)等,因此 H-2基因又称为 H-2复合体( H-2 complex)(见图)。此外已经明确在哺乳动物的精子、桑椹
相关专题 (一)材料及试剂 1.培养基 RPMI-1640 或TC199培养液 2.PHA 同形态学方法 3.小牛血清 4.3H-TdR 选用比活性为2Mci~10Mci/mg分子 的制品,将1 Mci/ml溶液以生理盐水稀释成100µci/ml,于4℃保存备用。临用时再用培养液稀释成10µci/ml溶液。 5.3%冰醋酸 6.浓甲醛 7.30%H2O2液 8.闪烁液 PPO(2,5二苯基噁唑
横纹肌肌原纤维 A带中央稍显明亮的带状部分。 H带的中央有浓的 M线。 H带是 A带中的 A细丝未与 I细丝重叠的部分,肌肉收缩时变窄,松弛时扩展。为亨森( V. Hensen, 1868)氏所发现,因此而称 H带,即亨森的英文首字。
技术资料暂无技术资料 索取技术资料









