万千商家帮你免费找货
0 人在求购买到急需产品
- 详细信息
- 文献和实验
- 技术资料
- 保存条件:
避光保存
- 英文名:
Echinacoside
- 库存:
26
- 供应商:
上海机纯实业有限公司
- CAS号:
82854-37-3
- 规格:
20mg
公司销售“松果菊苷”不仅质量,价格优,还可提供全方位售后服务,一切跟踪您实验成功为此,试剂种类包括:elisa试剂盒,氨基酸、酶、蛋白质、抗生素、维生素等,所有试剂质量稳定,欢迎咨询。
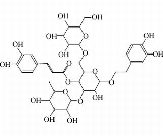
产品名: 松果菊苷
英文名: Echinacoside
别名: 紫锥菊苷;海胆苷
CAS号: 82854-37-3
分子式: C35H46O20
分子量: 786.736
MDL: MFCD00075695
熔点: 220℃
比重: 1.66
比旋光度: -56.5 (H2O). -74 (MeOH)
储存条件: 2-8℃
来源: 松果菊
溶解性: Sol. MeOH, H2O; fairly sol. EtOH; poorly sol. Me2CO, hexane
用途: 补肾助阳、抗衰老、提高免疫力等
敏感性: 易吸潮
每一位购买松果菊苷的客户都希望产品能用,是,这个也是我司一直以来坚持的原则,追求,科学权威,对客户负责,对产品负责,也是我司一直坚持的基本原则。
产品名: 松果菊苷
英文名: Echinacoside
别名: 紫锥菊苷;海胆苷
CAS号: 82854-37-3
分子式: C35H46O20
分子量: 786.736
MDL: MFCD00075695
熔点: 220℃
比重: 1.66
比旋光度: -56.5 (H2O). -74 (MeOH)
储存条件: 2-8℃
来源: 松果菊
溶解性: Sol. MeOH, H2O; fairly sol. EtOH; poorly sol. Me2CO, hexane
用途: 补肾助阳、抗衰老、提高免疫力等
敏感性: 易吸潮
每一位购买松果菊苷的客户都希望产品能用,是,这个也是我司一直以来坚持的原则,追求,科学权威,对客户负责,对产品负责,也是我司一直坚持的基本原则。
风险提示:丁香通仅作为第三方平台,为商家信息发布提供平台空间。用户咨询产品时请注意保护个人信息及财产安全,合理判断,谨慎选购商品,商家和用户对交易行为负责。对于医疗器械类产品,请先查证核实企业经营资质和医疗器械产品注册证情况。
文献和实验相关实验
苁蓉酒中松果菊苷含量的测定 采用反相高效液相色谱法测定苁蓉酒中松果菊苷的含量。该法能有效地排除复方中其他组分的干扰,使色谱峰得到完全的分离。色谱条件:固定相:ODS,流动相:ACN+1%乙酸溶液(14+86),柱温:25℃,紫外波长:330nm. 反相高效液相色谱法测定枳实、枳壳中橙皮甙和柚皮甙的含量 采用高效液相色谱法测定了枳实、枳壳中橙皮甙和柚皮甙的含量。色谱柱为Hypersil ODS柱(250mm×4.6mm i.d),流动
技术资料暂无技术资料 索取技术资料
松果菊苷
¥562










