万千商家帮你免费找货
0 人在求购买到急需产品
- 详细信息
- 文献和实验
- 技术资料
- 保存条件:
低温
- 英文名:
NHS-Biotin
- 库存:
11
- 供应商:
上海机纯实业有限公司
- CAS号:
35013-72-0
- 规格:
1g
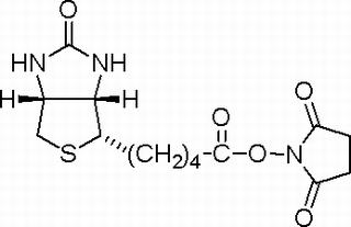
英文名:NHS-Biotin
别名: N-生物素羟基琥珀酰亚胺酯
CAS号: 35013-72-0
分子式: C14H19N3O5S
分子量: 341.38
MDL: MFCD00078531
熔点: 140℃
比重: 1·45
储存条件: -20℃
用途: 用于蛋白质和多肽的生物素标记。在pH值范围6·5-8·5条件下,偶联到蛋白质和多肽的氨基上
N-羟基琥珀酰亚胺生物素品牌从细节开始,打造一个试剂高端品牌绝对不可能单纯靠广告轰炸就能达成,而是靠品质、靠服务、靠经年累月的沉淀,我们公司通过新产品的研发与代理调货投放,对产品品质要求更高、更细致。
风险提示:丁香通仅作为第三方平台,为商家信息发布提供平台空间。用户咨询产品时请注意保护个人信息及财产安全,合理判断,谨慎选购商品,商家和用户对交易行为负责。对于医疗器械类产品,请先查证核实企业经营资质和医疗器械产品注册证情况。
文献和实验相关专题 NBS溴化试剂与溴化反应 分子 式:C4H4BrNO2 分子 量:178.00 CAS号:128-08-5 N-溴代琥珀酰亚胺;溴丁二酰亚胺;N-溴代丁二酰亚胺;N-Bromosuccinimide;Succinbromimide;1-Bromo-2,5-phrrolidinedione;NBS 性质:白色至乳白色细粒结晶,微有溴气味。密度2.098g/cm3,熔点180
11 DSG 琥珀酸辛二酸戊二酸盐 同源 N-羟基琥珀酰亚胺 -NH2 N 7.7 DSS
相关专题 NBS溴化试剂与溴化反应 NBS 3D分子模型 简介 1. =N-bromosuccinimide、N-溴代琥珀酰亚胺(化学物名称) N-溴代丁二酰亚胺(N-bromosuccinimide 简称NBS 又称N-溴代琥珀酰亚胺、1-溴-2,5-吡咯二酮)是一个很有用的溴化剂,它具有高度的选择性,只进攻弱的C—H键即进攻与双键或苯环相连的α-H。结构式见图中最后
技术资料暂无技术资料 索取技术资料









