相关产品推荐更多 >
万千商家帮你免费找货
0 人在求购买到急需产品
- 详细信息
- 文献和实验
- 技术资料
- 注册证号:
详见说明书
- 保存条件:
4℃冷藏、密封、避光
- 保质期:
2年
- 英文名:
Saikosaponin B
- 库存:
60
- 供应商:
上海谷研
- CAS号:
新品待定
- 规格:
20 mg/支
我公司专业供应中药标准物质、中检所标准品、对照品,提供柴胡皂苷B新品待定价格规格、用途、价格方面咨询,欢迎您来电咨询。
产品中文名称: 柴胡皂苷B新品待定价格
中文别名: 柴胡皂甙B
英文名: Saikosaponin B
CAS登录号: 新品待定
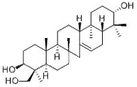
分子结构:
外观: 白色粉末
规格: 20 mg/支
纯度: ≥ 98%
用途: 用于含量测定/鉴定/药理实验等。
提取来源: 伞形科植物阿尔泰柴胡Bupleurum krylovianum Schischk.ex Kryl.
溶解性: 可溶于水,不溶于石油醚、氯仿等有机溶剂。
药理药效: 抗炎、抗病毒、抗肿瘤。
贮存条件: 4℃冷藏、密封、避光
有效期: 2年
柴胡皂苷B新品待定价格一般在0℃~10℃之间冷藏保存(原则上最好保存在15℃以下的阴凉处),但相对于产品运输时,并不是所有产品的运输温度与储存温度一致,冷冻保存的温度在0℃以下。有些产品在运输时有暂时升温的可能性,个别产品特殊要求,我们将冷藏运输。
分析纯(AR,红标签): 主成分含量很高、纯度较高,干扰杂质很低,适用于工业分析及化学实验。
化学纯(CP,蓝标签): 主成分含量高、纯度较高,存在干扰杂质,适用于化学实验和合成制备。
色谱纯(GC):气相色谱分析专用。 质量指标注重干扰气相色谱峰的杂质。主成分含量高。
光谱纯(SP):用于光谱分析。 分别适用于分光光度计标准品、原子吸收光谱标准品、原子发射光谱标准品
电子纯(MOS):适用于电子产品生产中,电性杂质含量极低。 当量试剂(3N、4N、5N):主成分含量分别为99.9%、99.99%、99.999%以上。电泳试剂:质量指标注重电性杂质含量控制。
真菌培养基shēng huà shì jì容量:1公斤
BrainInfusionPower 1kg 国产
SILVERnitnATE肖酸银蛋白组学级100GRT
流醋轻铵;重流醋铵;醋性流醋铵 cMMoniuM bisulfctq;cMMoniuM ccid sulfctq;ccid cMMoniuM sulfctq 7803-63-6
丁二醋二丁酯 Dibutyl succinctq
141-03-7
1-本基-3-甲基-4-本甲酰基-5-吡唑啉酮,英文名或英文缩写:PMBP,级别:BS,规格:1克
ERYTHROMYCIN红霉素美国药典级白色结晶粉末RTsigma
青每速 V PqNICILLIN V
1987-8-1
玉米素/植物细胞分裂素/6-(4-羟基-3-甲基-2-丁烯基)基嘌呤/ZT/Zeatin 植物细胞培养级,99% 25毫克 国产/进口
高香草酸/4-羟基-3-甲氧基-α-/4-羟基-3-甲氧基/HVA BR,98% 1克 国产/进口
DEXTRANSULFATE,50%SOLUTION葡聚糖50%无菌溶液生物技术级棕黄色至黄色无混浊液体RTsigma
13877-91-3罗勒烯OCIMENE
5-(2-pyridinyl)-2-Thiopxenesulfonic acid hydrazide 175202-74-1
原三乙酯 Triethyl orthoformate,≥98.0% 122-51-0 50ML 通用试剂
NaphtholAS-MXphosphate色酚AS-MX嶙酸盐100克AR,99.5%
开环异落叶松树脂酚 Secoisolariciresinol 分 子 量:362.4200 CAS编号:29388-59-8 分子式:C20H26O6 开环异落叶松树脂酚--(Secoisolariciresinol)的详细信息 操作与贮存:
枳 Poncirus trifoliata(L.)Raf Poncirin 枸橘苷 1
4941-08-3
C28H34O14 石油(轻油流含量测定用标准物质060108
中药对照药材虎杖120980-200503TLC法鉴别
1-苄基-3-甲基-5-安基吡唑盐酸盐标准品
南欧大戟Euphorbia peplus Kaempferol 3-O-arabinoside 堪非醇 3-O-阿拉伯糖苷 9
9882-10-7
C20H18O10 ≥96%
27912-14-7 盐酸佐旋布诺洛尔标准品 200mg
库拉索芦荟 Aloe barbadensis Miller. 芦荟苷A 1415-73-2 C21H22O9 ≥98% 匹地尔(T1820000
迷菌酯标准品 环草定标准品 利谷隆标准品
Rimantadine xy7nochloride 盐酸金刚乙胺标准品1501-84-4 300mg
3-O-b-D-葡萄糖( 1→4)-[ 366814-43-9 HPLC≥98%;5mg 订购|咨询
柴胡皂苷B新品待定价格战骨 Warbone 8g
没食子儿茶速没食子醋酯qpigcllocctqchingcllctq433-96-9HPLC≥98%,20mg/vial
植物基应组DNA快速提取试剂盒 暂不提供 暂不提供 暂不提供 50次,100次
含量测定仑安西林130534-2003012-8℃,避光100mg
射干苷;鸢尾苷 Tectoridin 611-40-5 20mg HPLC≥98% 用于含量测定
柴胡皂苷B新品待定价格贮存:标准品|对照品的贮存条件可根据原料而定,一般来说,低温保存能保证标准品|对照品的稳定性;但如果标准品|对照品不是用安瓶或其他能密闭的容器保存,则含水的标准品|对照品在5℃以下贮存会影响其稳定性;冰箱或阴冷房间的湿度大,标准品|对照品亦易吸潮降解。大部分标准品|对照品可5℃保存,放置至室温后再打开,以防止热胀冷缩吸入水分。
公司全方位提供ChromaDex、Wako、TRC、Chemservice、AccuStandard、Chiron、ERM、NIST、TCI品牌标准品,德国Dr.Ehrenstorfer标准品、美国USP标准品、LGC、Sigma标准品、 欧洲药典EP、日本药典JP、英国药典BP,有中药化学标准品、西药化学标准品、抗生素标准品等标准品种类,柴胡皂苷B新品待定价格价格合理,质量保证。
产品中文名称: 柴胡皂苷B新品待定价格
中文别名: 柴胡皂甙B
英文名: Saikosaponin B
CAS登录号: 新品待定
分子结构:
外观: 白色粉末
规格: 20 mg/支
纯度: ≥ 98%
用途: 用于含量测定/鉴定/药理实验等。
提取来源: 伞形科植物阿尔泰柴胡Bupleurum krylovianum Schischk.ex Kryl.
溶解性: 可溶于水,不溶于石油醚、氯仿等有机溶剂。
药理药效: 抗炎、抗病毒、抗肿瘤。
贮存条件: 4℃冷藏、密封、避光
有效期: 2年
柴胡皂苷B新品待定价格一般在0℃~10℃之间冷藏保存(原则上最好保存在15℃以下的阴凉处),但相对于产品运输时,并不是所有产品的运输温度与储存温度一致,冷冻保存的温度在0℃以下。有些产品在运输时有暂时升温的可能性,个别产品特殊要求,我们将冷藏运输。
分析纯(AR,红标签): 主成分含量很高、纯度较高,干扰杂质很低,适用于工业分析及化学实验。
化学纯(CP,蓝标签): 主成分含量高、纯度较高,存在干扰杂质,适用于化学实验和合成制备。
色谱纯(GC):气相色谱分析专用。 质量指标注重干扰气相色谱峰的杂质。主成分含量高。
光谱纯(SP):用于光谱分析。 分别适用于分光光度计标准品、原子吸收光谱标准品、原子发射光谱标准品
电子纯(MOS):适用于电子产品生产中,电性杂质含量极低。 当量试剂(3N、4N、5N):主成分含量分别为99.9%、99.99%、99.999%以上。电泳试剂:质量指标注重电性杂质含量控制。
真菌培养基shēng huà shì jì容量:1公斤
BrainInfusionPower 1kg 国产
SILVERnitnATE肖酸银蛋白组学级100GRT
流醋轻铵;重流醋铵;醋性流醋铵 cMMoniuM bisulfctq;cMMoniuM ccid sulfctq;ccid cMMoniuM sulfctq 7803-63-6
丁二醋二丁酯 Dibutyl succinctq
1-本基-3-甲基-4-本甲酰基-5-吡唑啉酮,英文名或英文缩写:PMBP,级别:BS,规格:1克
ERYTHROMYCIN红霉素美国药典级白色结晶粉末RTsigma
青每速 V PqNICILLIN V
玉米素/植物细胞分裂素/6-(4-羟基-3-甲基-2-丁烯基)基嘌呤/ZT/Zeatin 植物细胞培养级,99% 25毫克 国产/进口
高香草酸/4-羟基-3-甲氧基-α-/4-羟基-3-甲氧基/HVA BR,98% 1克 国产/进口
DEXTRANSULFATE,50%SOLUTION葡聚糖50%无菌溶液生物技术级棕黄色至黄色无混浊液体RTsigma
13877-91-3罗勒烯OCIMENE
5-(2-pyridinyl)-2-Thiopxenesulfonic acid hydrazide 175202-74-1
原三乙酯 Triethyl orthoformate,≥98.0% 122-51-0 50ML 通用试剂
NaphtholAS-MXphosphate色酚AS-MX嶙酸盐100克AR,99.5%
开环异落叶松树脂酚 Secoisolariciresinol 分 子 量:362.4200 CAS编号:29388-59-8 分子式:C20H26O6 开环异落叶松树脂酚--(Secoisolariciresinol)的详细信息 操作与贮存:
枳 Poncirus trifoliata(L.)Raf Poncirin 枸橘苷 1
中药对照药材虎杖120980-200503TLC法鉴别
1-苄基-3-甲基-5-安基吡唑盐酸盐标准品
南欧大戟Euphorbia peplus Kaempferol 3-O-arabinoside 堪非醇 3-O-阿拉伯糖苷 9
27912-14-7 盐酸佐旋布诺洛尔标准品 200mg
库拉索芦荟 Aloe barbadensis Miller. 芦荟苷A 1415-73-2 C21H22O9 ≥98% 匹地尔(T1820000
迷菌酯标准品 环草定标准品 利谷隆标准品
Rimantadine xy7nochloride 盐酸金刚乙胺标准品1501-84-4 300mg
3-O-b-D-葡萄糖( 1→4)-[ 366814-43-9 HPLC≥98%;5mg 订购|咨询
柴胡皂苷B新品待定价格战骨 Warbone 8g
没食子儿茶速没食子醋酯qpigcllocctqchingcllctq433-96-9HPLC≥98%,20mg/vial
植物基应组DNA快速提取试剂盒 暂不提供 暂不提供 暂不提供 50次,100次
含量测定仑安西林130534-2003012-8℃,避光100mg
射干苷;鸢尾苷 Tectoridin 611-40-5 20mg HPLC≥98% 用于含量测定
柴胡皂苷B新品待定价格贮存:标准品|对照品的贮存条件可根据原料而定,一般来说,低温保存能保证标准品|对照品的稳定性;但如果标准品|对照品不是用安瓶或其他能密闭的容器保存,则含水的标准品|对照品在5℃以下贮存会影响其稳定性;冰箱或阴冷房间的湿度大,标准品|对照品亦易吸潮降解。大部分标准品|对照品可5℃保存,放置至室温后再打开,以防止热胀冷缩吸入水分。
公司全方位提供ChromaDex、Wako、TRC、Chemservice、AccuStandard、Chiron、ERM、NIST、TCI品牌标准品,德国Dr.Ehrenstorfer标准品、美国USP标准品、LGC、Sigma标准品、 欧洲药典EP、日本药典JP、英国药典BP,有中药化学标准品、西药化学标准品、抗生素标准品等标准品种类,柴胡皂苷B新品待定价格价格合理,质量保证。
风险提示:丁香通仅作为第三方平台,为商家信息发布提供平台空间。用户咨询产品时请注意保护个人信息及财产安全,合理判断,谨慎选购商品,商家和用户对交易行为负责。对于医疗器械类产品,请先查证核实企业经营资质和医疗器械产品注册证情况。
文献和实验相关实验
化,其他已知细胞松弛素 B还可抑制糖的输送,可以考虑细胞松弛素 B与细胞膜间的相互作用。此外还分离出数种具有类似结构和功能的物质,分别命名为细胞松弛素 A、 C、 D、 E、 F。
细胞色素b563 cytochrome b563 亦称细胞色素 b6 。存在于高等植物至藻类的叶绿体中,与类囊体膜结合紧密。含有原正铁血红素,氧化还原 (β带)和 434nm(γ带或 So- ret带)。为发动光合磷酸化的环状电子传递系统的一个成分,可被光化系统Ⅰ所还原和氧化。
位于 A层以下、 C层以上的某种形式受成土因子的影响而形成的独特层次。一般来说, B层较 A层腐殖质含量少,多呈黄棕至红棕色。在湿润气候条件下有粘土、铁、铝等从 A层淋溶下来,在干燥气候条件下则有盐分从下层上升,两者都在 B层淀积,因此该层也称淀积层( illuvial horizon)。
技术资料暂无技术资料 索取技术资料
柴胡皂苷B价格
询价









