相关产品推荐更多 >
万千商家帮你免费找货
0 人在求购买到急需产品
- 详细信息
- 文献和实验
- 技术资料
- 保存条件:
-20℃
- 保质期:
1年
- 英文名:
6×His Tag Peptide
- 库存:
824
- 供应商:
北京百奥莱博科技有限公司
特别声明:本产品及我公司所售其他产品均为科研类试剂产品,严禁用于药物、医疗及其他非科研用途。
北京百奥莱博专业生产销*(代"售")北京6×His Tag多肽多少钱,我公司供应的分子生物学试剂品类齐全,且具有优势价格,欢迎新老客户垂询订购。
名称:北京6×His Tag多肽多少钱
品牌:百奥莱博
产地:国产|进口
规格:5mg
英文名:6×His Tag Peptide
编号:SY0426
6×His Tag多肽(6×His Tag Peptide)是由6个组*酸残基组成的多肽,组*酸残基侧链对镍离子具有高选择性亲和力。在免疫分析实验中,6×His Tag多肽与6×His融合蛋白竞争性结合anti-6×His抗体。用于洗脱6×His-tag融合蛋白时,6×His Tag多肽的推荐工作浓度是100-400μg/ml。
多肽序列(Amino acid sequence):H-His-His-His-His-His-His-OH
分子式:C36H44N18O7
分子量:840.85
外观:白色粉末
纯度:>99%
溶解性:溶于水或1%醋酸
储存条件:-20℃,有效期1年
欲了解更多北京6×His Tag多肽多少钱的品牌、产地、价格及说明书等产品信息,请致电北京百奥莱博科技有限公司,我们将竭诚为您服务,另外,以下产品正在火爆促销:
·10%预制胶,12孔
编号:SY0373
英文名称:Precast Protein Gels, 10%, 12 wells
规格:1盒(10块)
本品通过pH中性缓冲液制备,丙*(代"烯")酰胺与甲叉丙*(代"烯")酰胺配比是29:1,其规格为浓缩胶5%,分离胶10%,胶板尺寸10×8cm,凝胶厚度1 mm,12孔梳齿,单孔最大上样量30 µl。电泳及转膜缓冲液使用传统的tris-glycine缓冲液,蛋白条带直且尖锐。本品兼容Biorad,天能及北京六一的mini胶电泳槽及其他任何胶板宽度在10 cm的电泳槽。
N,N-亚甲基双丙*(代"烯")酰胺(甲叉丙*(代"烯")酰胺)交联剂的浓度不同从而分离不同大小范围的蛋白质。与传统实验室自行配制凝胶相比,使用预制胶具有以下优点:1)即开即用,不用再配制N种溶液、灌胶、等胶凝固,节省了宝贵的时间和精力;2)不用接触几种具有积累性神经毒性的试剂(丙*(代"烯")酰胺/甲叉丙*(代"烯")酰胺:神经毒性和遗传毒性;TEMED:强神经毒;过硫*(代"酸")铵:可严重损伤呼吸道,眼睛,皮肤);3)大规模生产,胶与胶之间重复性好,质量稳定,不像手工灌胶那样结果差异大。
使用方法
1)剪开包装取出胶,撕去胶板底端胶纸,将预制胶固定在电泳槽中,加入电泳缓冲液没过梳齿部位,双手按住梳子左右部位将其平稳缓慢(一定要慢,否则会将胶齿拔断或拔歪)拔出,在前后板的上方中央卡上一个“V”型卡(通过加固前后板,不仅可防止枪头上样用力过猛撬开两板产生缝隙,还可稳定跑胶质量,电泳过程中“V”型卡不可取出),上样后进行电泳,电泳后取出胶板,用镊子或小螺丝刀沿左右两板间的缝隙将两板别开,将胶取出,弃去塑料板。
2)电泳:使用《分子克隆》指定的 tris-glycine电泳缓冲液(tris 25 mM, glycine 250 mM, SDS 0.1%)。推荐使用低压100V,15min换高压150V跑至电泳结束。
3)转膜:使用《分子克隆》的 tris-glycine 电转缓冲液(含 20%甲醇或乙醇),操作与实验室原有操作完全相同。
储存条件:4℃,有效期一年。
注意事项
1)为了您的安全和健康,请穿实验服并戴一次性手套操作。
2)本品含有的部分试剂如丙*(代"烯")酰胺和甲叉双丙*(代"烯")酰胺有毒,对人体有害,请注意适当防护。
3)电泳及电转缓冲液建议使用新配制的缓冲液,试剂纯度不够,反复使用或长期放置过的缓冲液会降低电泳效果。传统《分子克隆》的tris-glycine 电泳及电转缓冲液是不用 NaOH 和 HCl 调整 pH ,因为引入的*离子和*离子会影响电泳效果。
4)电泳前请务必撕去胶板底端的胶纸,否则电路不通,无法电泳。
5)拔梳子时最好浸没在电泳缓冲液中拔,一方面由于液体润滑梳子更容易拔,另一方面不会产生气泡。另外拔梳子时越慢越好,如此可防止梳齿被拔断或拔歪。
6)在电泳后开板取胶时,用小号一字螺丝刀或中号镊子插入左右两板间缝隙,用力搬动,两板即可应声分开,此时两板底部还不能分开,要通过掰开两板取出凝胶。
7)在上样前,使用“V”型卡加固前后板(加样和电泳过程“V”型卡不可移动或拔出),使用时只需将一个“V”型卡“轻轻地”(不必卡到底,不掉即可)卡在前后板的上端中间区域,可确保上样不会产生板胶间的缝隙从而导致样品泄露,电泳时“V”型卡不必取出如此可有助于稳定跑胶质量。
8) 本预制胶对于Biorad和天能的电泳内外槽存在微小泄露,可通过两种方式解决本问题:一是内槽加满缓冲液,外槽液面加至距内槽液面3-5mm,从而可防止在电泳过程中内槽液面逐步下降。另一种解决方式是将Biorad的硅胶封闭垫取出后反过来安装,使其没有凸起的平滑面朝外,从而防止漏液。
北京6×His Tag多肽多少钱关键词:6×His Tag Peptide,SY0426,6×His Tag多肽
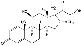
·地塞米松溶液(10mM in DMSO)
编号:SY0481
英文名称:Dexamethasone (10mM in DMSO)
规格:25mg
地塞米松(Dexamethasone),一种抗炎糖皮质素,对细胞存活、细胞信号的转导和基因表达具有一系列的影响,如:可抑制一氧化*(代"氮")合酶的诱导作用(IC50=5 nM);可通过刺激Na+-K+泵增强大动脉平滑肌细胞阳离子的运输作用;可降低周期蛋白A和Cdk2的活性;抑制骨细胞G1/S的过渡;抑制Rb蛋白的磷酸化作用;诱导人胸腺细胞凋亡发生。
本品为溶于DMSO的储存液,浓度10mM。一般而言,500-1000nM 的地塞米松于37℃作用6h足可诱导凋亡发生。
中文别名:21α-乙酰氧基-9α-*-11β,17α-二羟基-16α-甲基孕甾-1,4-二烯-3,20-二酮 9α-*-16α-甲基*化泼尼松 9-*-11,17,21-三羟基-16-甲基(11b,16a)-孕甾-1,4-二烯-3,20-二酮德沙美松
英文别名:9α-Fluoro-16α-methylprednisolone,PrednisoloneF,(11β,16α)-9-Fluoro-11,17,21-trihydroxy-16-methylpregna-1,4-diene-3,20-dione,9α-Fluoro-16α-methyl-11β,17α,21-trihydroxy-1,4-pregnadiene-3,20-dione
CAS:50-02-2
分子式:C22H29FO5
分子量:392.46
外观:无色液体(10mM in DMSO)
储存条件:-20℃
结构式

北京6×His Tag多肽多少钱关键词:6×His Tag Peptide,SY0426,6×His Tag多肽
·EGR1-Luc荧光素酶报告基因质粒
编号:SY0087
英文名称:EGR1 luciferase reporter plasmid
规格:1μg
EGR1荧光素酶报告基因(报告基因质粒)(EGR1 luciferase reporter plasimd)是用于检测EGR1转录活性水平为目的的报告基因。早期生长反应基因1(early growth response gene 1 , EGR1) 为早期生长反应基因家族重要成员,其蛋白产物是一个59KD的锌指样转录因子。EGR1的目的基因是分化和有丝分裂所必须的。
ERG1报告基因主要检测细胞中ERG1的活性、药物研究以及基因过表达和RNAi的表型分析等。
pGMEGR1-Lu是我公司改造后的哺乳动物真核表达载体,在其多克隆位点插入了多个EGR1结合位点,可以高灵敏度地检测EGR1的激活水平。同时,对载体中预测出的其它转录因子以外的结合位点进行了适当的突变,增加了质粒的转录因子结合特异性。由于质粒体积减小,使得EGR1报告基因质粒更易于转染。
质粒图谱

注意事项
本质粒未经我公司允许不得用于任何商业用途,也不得移交给订货人实验室以外的任何人或单位。
为了您的健康,实验操作时请穿实验服和带一次性手套。
使用说明
pGMEGR1-Lu可以采用常规转染方法转染哺乳动物细胞。用荧光素酶检测试剂盒或双荧光素酶检测试剂盒进行检测。
储存条件:-20℃。
·曲拉通X-114(分子生物学级)
编号:SY0309
英文名称:Triton X-114, Molecular Biology Grade
规格:500ml
Triton X-114,中文名字曲拉通X-114,一种非离子表面活性剂。其浊点为23℃,在低于该温度时,Triton X-114能与水互溶;当高于该温度时,则分离成水相和去污剂相,基于该特点,Triton-X114在生物化学实验中常用于水相蛋白和脂蛋白的分离,如膜蛋白的提取等。
CAS:9036-19-5
分子式:(C2H4O)nC14H22O, n=7or8
分子量:537
密度:1.058 gm/ml(25℃)
临界胶束浓度:~0.2 mM or 0.009% (w/w in water)
浊点:23℃
储存条件:室温
结构式

北京百莱博科技有限公司专业生产供应销*(代"售")生物试剂、化学试剂、抗原抗体、血清血浆、Elisa试剂盒,更多试剂产品需求,欢迎来电咨询选购北京6×His Tag多肽多少钱。
风险提示:丁香通仅作为第三方平台,为商家信息发布提供平台空间。用户咨询产品时请注意保护个人信息及财产安全,合理判断,谨慎选购商品,商家和用户对交易行为负责。对于医疗器械类产品,请先查证核实企业经营资质和医疗器械产品注册证情况。
文献和实验某基因的序列如下,我设计了一对引物,5 TCGGTTTTCACTGGTTCTCATCC 3 3 T CGCACTCCTTTCTCTCGCAATG 5 想扩增的目的片断是3629-4799 (1170 bp,)不知道能否,请大侠们帮忙看一下, 3601 ttttttaatt tcaggatatg gagcttcttc ggttttcact ggttctcatc cagtcctggc 3661 tgaccccagt gcaataccta agcaaggtgt ttacaaacaa
在中国发现的直立人化石之一。北京猿人遗址位于北京西南约 40公里的周口店村( 39° 40′ N; 115° 53′ E)附近的龙骨山的北坡,在周口店化石地点的编号中,编为第一地点。 先后发现的北京猿人化石有:完整的和比较完整的头盖骨六具,头盖骨残片 8块、面骨 6块、下颌骨 16件、牙齿 153颗(其中单个牙齿是 58颗)、残破的大腿骨 7段、胫骨 1段、上臂骨 3段、锁骨 1段、腕骨 1块。这些材料均属于 40多个个体。 北京猿人头盖骨低平
世界闻名的肉用鸭品种之一。原产我国北京。全身羽毛洁白,头大颈粗,体长背宽,胸部丰满,嘴和短脚桔黄色。公鸭尾部有卷羽,一般体重 3~ 4公斤,母鸭 3~ 3.5公斤。体质强健,适应力强,胆小喜静,性情驯良。生长快,成熟早,出壳后 2个月,体重可达 2~ 2.5公斤。易肥育,经填肥后,体重最高可达 5公斤。肉质细嫩味美,最适于烤食,北京烤鸭驰名中外。种鸭年产蛋 120~ 180个,蛋重 85~ 90克,卵壳洁白。北京鸭的历史悠久,已有 300年的历史。《齐民要术》中记载的养鸭填嗉
技术资料暂无技术资料 索取技术资料










