万千商家帮你免费找货
0 人在求购买到急需产品
- 详细信息
- 询价记录
- 文献和实验
- 技术资料
- 保存条件:
低温
- 保质期:
见产品包装
- 英文名:
CHAPSO
- 库存:
大量现货
- 供应商:
上海研谨生物
- CAS号:
82473-24-3
- 规格:
5g
| 货号 | 产品名称 | 英文名称 | CAS号 | 产品特征 |
| Js16031-1g | 3-[(3-胆固醇氨丙基)二甲基氨基]-1-丙磺酸 | CHAPS | 75621-03-3 | 超纯,99% |
| Js16032-5g | 3-[(3-胆固醇氨丙基)二甲基氨基]-2-羟基-1-丙磺酸 | CHAPSO | 82473-24-3 | 超纯,99% |
现有规格:1g/5g/25g/100g现货
需要其它规格包装请联系咨询客服!
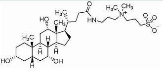
3-[(3-胆固醇氨丙基)二甲基氨基]-1-丙磺酸——超纯,99%
英文名: CHAPS
别名: 3-[3-(胆酰胺丙基)二甲氨基]丙磺酸内盐
CAS号: 75621-03-3
分子式: C32H58N2O7S
分子量: 614.88
MDL: MFCD00012116
介绍: CHAPS 是一种用于膜生物化学的非变性两性离子洗涤剂。可用于溶解膜蛋白以及打断蛋白-蛋白相互作用。CHA?PS 具有低胶束分子量 (6,150) 和高临界胶束浓度 (6-10mM),因此可通过透析从样品中除去。它也?适合在等电聚焦和二维电泳中用于溶解蛋白质。CHAP?S 常用于非变性(无尿素)等电聚焦,已发现它对某些亚细?胞制备物和植物蛋白能够得出优异的分辨率。通常将介于? 2-4% (w/v) 间的浓度用于等电聚焦凝胶。
熔点: cloud point >100℃
比重: 1·01
储存条件: RT
CHAPS外观: 结晶性粉末
溶解性: Soluble in water (10 mg/ml).
CHAPS用途: 两性表面活性剂,CHAPS 是一种非变性的zwitterionic 去垢剂、蛋白质裂解液,用于溶解膜蛋白和裂解蛋白和蛋白之间的相
敏感性: 易吸潮
主营:
- 实验代做
- 生化试剂、标准品对照品、标准物质
- ELISA试剂盒、淋巴细胞分离液、分离液试剂盒
- 血清、细胞:原装进口细胞、国产肿瘤细胞、国产正常细胞、肿瘤耐药细胞
- 食品安全检测试剂、动物疫病类检测产品、兽药残留检测试剂
- 耗材:常用实验耗材、移液器·
风险提示:丁香通仅作为第三方平台,为商家信息发布提供平台空间。用户咨询产品时请注意保护个人信息及财产安全,合理判断,谨慎选购商品,商家和用户对交易行为负责。对于医疗器械类产品,请先查证核实企业经营资质和医疗器械产品注册证情况。
- 作者
- 内容
- 询问日期
文献和实验相关实验
EDC见N-乙基-N‘-(二甲氨丙基)-碳二亚胺。·EMC见甲基磺酸乙酯。·乙醇[(EtOH),CH3CH2OH]可因吸入、咽下或皮肤吸收而受到危害。操作时戴合适的手套和安全眼镜。·乙醇胺(HOCH2CH2NH2)有毒;可因吸入、咽下或皮肤吸收而危害健康。谨慎操作,避免与皮肤的任何接触。操作时要戴合适的手套和护目镜,并在化学通风橱\生物安全柜里进行。乙醇胺具有高度腐蚀性并与酸剧烈反应。·乙醚参见二乙醚。·溴化乙锭是一种强有力的诱变剂,有毒。有关特殊的操作和处理程序与当局安全机构联系。避免吸入其粉末
技术资料暂无技术资料 索取技术资料
3-[(3-胆固醇氨丙基)二甲基氨基]-2-羟基-1-丙磺酸
¥180










