相关产品推荐更多 >
万千商家帮你免费找货
0 人在求购买到急需产品
- 详细信息
- 文献和实验
- 技术资料
- 保存条件:
-20℃
- 保质期:
三年
- 英文名:
AEBSF
- 库存:
805
- 供应商:
北京百奥莱博科技有限公司
特别声明:本产品及我公司所售其他产品均为科研类试剂产品,严禁用于药物、医疗及其他非科研用途。
北京AEBSF现货是高品质的蛋白质研究产品,由北京百奥莱博供应,用于科研实验,本产品质量好,且极具价格优势,深为用户称道,了解更多AEBSF等蛋白质研究产品请联系我司咨询订购。
北京百奥莱博科技有限公司专业生产供应北京AEBSF现货,产品信息:
类别:蛋白质研究
英文名:AEBSF
| 产品名 | CAS号 | 包装规格 |
| AEBSF | 30827-99-7 | 50mg |
规格:50mg
品牌:百奥莱博
英文名:AEBSF
编号:SY0312
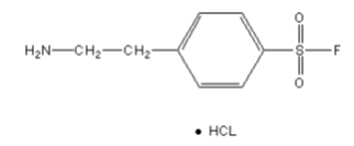
EBSF,英文名4-(2-Aminoethyl)benzenesulfonyl fluoride hydrochloride,中文名4-2-胺乙基*磺酰*盐*(代"酸")盐,是一种水溶性,不可逆的丝*酸蛋白酶抑制剂,广谱抑制胰蛋白酶、糜蛋白酶、纤溶酶、激肽释放酶和凝血酶活性。高产品蛋白纯化过程中往往需要蛋白酶抑制剂来预防蛋白降解,并提高蛋白制剂的纯度。AEBSF是传统蛋白酶抑制剂PMSF和DFP的替代物,因其毒性低,水溶性强,但水溶液稳定性更好。另外,AEBSF的抑制常数类似于 PMSF和DFP,且LD50(依小鼠的口服剂量)高于PMSF和DFP。近期报道发现AEBSF可以延长急性弓形虫感染小鼠的寿命,且在SNU-16人胃腺癌细胞中抑制TNF-α诱导的所有凋亡特征。
AEBSF已用于细胞培养及下游纯化,使用浓度可达 0.25 mM,推荐使用浓度为0.1-1 mM。
中文别名:4-(2-*乙基)*磺酰*盐*(代"酸")盐;;4-(2-*基乙基)**磺酰盐*(代"酸")盐
英文别名:AEBSF HCL; PEFABLOC SC;4-(2-Aminoethyl)benz;
分子式:C8H10FNO2S.HCl
分子量:239.7
CAS:30827-99-7
纯度:≥98%
外观:白色或灰白色结晶
熔点:180~182℃
溶解性:溶于水(50mg/ml),DMSO(50mg/ml)
结构式:

注意事项
1)AEBSF可诱导蛋白修饰,例如,可能影响蛋白的等电点。
2)AEBSF水溶液呈微弱酸性,4℃保持可维持其抑制活性高达6个月。而pH高于7.0水溶液稳定很弱。
3)为了您的安全和健康,请穿实验服并戴一次性手套操作。
储存条件:-20℃,有效期三年。
北京AEBSF现货专业优质供应商:北京百奥莱博科技有限公司
关键词:4-(2-*基乙基)**磺酰盐*(代"酸")盐,4-(2-*乙基)*磺酰*盐*(代"酸")盐,AEBSF
我公司是一家生物高新技术企业,主要从事免疫学、分子生物学和常规生化试剂的研发、销*(代"售")。并代理销*(代"售")Omega、Sigma、R&D、GBD、ATCC、HYCLONE等二十多家国外知名品牌,致力于为广大高校、科研院所和企事业单位提供一流的科研试剂和完善的技术服务,满足生物化学、分子生物学 、AEBSF、细胞生物学、免疫学 ELISA试剂盒等生物科技实验需求。
更多有关北京AEBSF现货的价格及使用说明等,请联系我们的业务经理王欣女士咨询,我公司还销*(代"售")以下产品:
| 编号 | 类别 | 名称 |
| SY0474 | 细胞凋亡与增殖 | 细胞凋亡检测试剂盒(Annexin V-Alexa Fluor 488/PI) |
| SY0256 | 核酸电泳和回收 | 高分辨率琼脂糖(PCR级) |
| SY0520 | 其他培养基 | 丙*(代"酮")酸*溶液(100 mM) |
| SY0552 | 探针标记及检测 | Hoechst 33342 |
| SY0117 | 报告基因检测 | AP3-Luc荧光素酶报告基因质粒 |
| SY0047 | 核酸扩增(PCR) | dNTP混合溶液(10 mM each) |
| SY0148 | 报告基因检测 | HIF-1-Luc报告基因慢病毒颗粒 |
| SY0270 | RNA纯化 | 脱氧核糖核酸酶I,来源于牛胰腺 |
| SY0617 | 培养基配套试剂 | 反玉米素 |
| SY0086 | 报告基因检测 | ER-Luc荧光素酶报告基因质粒 |
| SY0591 | 探针标记及检测 | 内质网红色荧光探针(活细胞) |
| SY0404 | 蛋白质研究 | 1ml重力层析空柱 |
| SY0339 | 蛋白质研究 | 40%丙*(代"烯")酰胺/甲叉双丙*(代"烯")酰胺,19:1 |
| SY0259 | 核酸电泳和回收 | 双链DNA(dsDNA)定量试剂 |
| SY0225 | 报告基因检测 | RORα2-GFP报告基因质粒 |
| SY0229 | 报告基因检测 | YY1-GFP报告基因质粒 |
| SY0154 | 报告基因检测 | VDR-GFP报告基因质粒 |
| SY0465 | 蛋白质研究 | 基底膜基质胶基底胶(低生长因子) |
| SY0151 | 报告基因检测 | 慢病毒报告基因阴性对照 |
| SY0509 | 细胞凋亡与增殖 | 细胞增殖与示踪检测试剂盒 |
| SY0722 | 二抗 | Alexa Fluor 594标记驴抗小鼠IgG(H+L) |
| SY0402 | 蛋白质研究 | MBP标签蛋白纯化预装柱,1ML |
| SY0635 | 一抗 | 小鼠抗GAPDH单克隆抗体 |
我公司强烈推荐蛋白质研究系列产品,热情期待您的咨询选购北京AEBSF现货。
风险提示:丁香通仅作为第三方平台,为商家信息发布提供平台空间。用户咨询产品时请注意保护个人信息及财产安全,合理判断,谨慎选购商品,商家和用户对交易行为负责。对于医疗器械类产品,请先查证核实企业经营资质和医疗器械产品注册证情况。
文献和实验就到 有些抗体有现货,有些抗体没有现货,需要订购。 米宝 只有等着了。。 bianbenjamin 中山金桥,北京的,他们的二抗也是jakson分装的,我个人觉得二抗没有那么关键。 米宝 今天做上了。。问公司要了点进口分装的。。明天看出不出结果了。。晕 米宝 出结果了!结果条带比较杂,但是p-akt还是比较清楚的!另外,出现诡异现象就是,无法解释!糖
Cell Signaling Technology(CST)宣布个性化癌症诊断许可
成立的全资子公司,于2008年成立于上海,公司拥有非常专业的技术支持和应用团队,拥有经验丰富的市场、销售和物流团队,拥有功能齐全的仓库和配送中心,且在上海和北京备有丰富的现货,致力于为中国客户提供一流的技术支持和客户服务。始于客户需求,终于客户满意是我们的宗旨! 更多信息请联系美国CST公司中国分公司: 地址:上海市浦东南路1101号远东大厦514室,200120 电话:86-21-5835-6288ext 811 或 822 传真:86
。北京大学李毓龙团队利用可与神经递质相结合的G蛋白偶联受体作为探针的骨架,将荧光蛋白(cpEGFP)与特异性的人源神经递质受体巧妙地进行分子水平的融合和改造,成功开发出新型可遗传编码的一系列神经递质荧光探针。1)神经递质荧光探针原理这一系列神经递质探针原理类似,都是基于人源神经递质受体,其原理在于把cpEGFP嵌入特定的神经递质受体,受体与神经递质结合后会引发受体构象改变转换为荧光信号(图10)。目前通过病毒注射、转染等技术手段,可以将这种可遗传编码的探针表达在细胞或小鼠脑部,借助成像技术,观察神经
技术资料暂无技术资料 索取技术资料










