相关产品推荐更多 >
万千商家帮你免费找货
0 人在求购买到急需产品
- 详细信息
- 文献和实验
- 技术资料
- 保存条件:
室温
- 保质期:
长期
- 英文名:
Sudan I
- 库存:
650
- 供应商:
北京百奥莱博科技有限公司
- CAS号:
842-07-9
特别声明:本产品及我公司所售其他产品均为科研类试剂产品,严禁用于药物、医疗及其他非科研用途。
北京百奥莱博供应的苏丹I标准品特价促销用于科研目的生化试验项目,本产品质量好,且极具价格优势,深为用户称道,了解更多苏丹I等标准品对照品产品请联系我司咨询订购。
名称:苏丹I标准品特价促销
英文名:Sudan I
产地:国产|进口
品牌:百奥莱博
规格:20mg
编号:BP1487
本品为苏丹I化学对照品,供检查项对照用。
CAS号:842-07-9
分子式:C16H12N2O
分子量:248.28
结构式:

包装及装量:棕色瓶,约20mg/支
储存条件:常温保存。
欲咨询购买苏丹I标准品特价促销,请致电北京百奥莱博科技有限公司,为您提供最全面周到的产品服务,除此之外,我公司正在促销以下产品:
·盐*(代"酸")*环壬酯
编号:BP0550
英文名称:Phecynonate Hydrochloride
规格:50mg
·花旗松素
编号:BP1385
英文名称:Taxifolin
规格:约20mg/支
本品为花旗松素化学对照品,供鉴别或含量测定用,含量以98.9%计。
分子式:C15H12O7
分子量:304
包装及装量:棕色安瓿瓶,每支约20毫克。
储存条件:室温保存。
注意事项:使用前无需处理,本品具引湿性,打开包装后一次使用完毕。
·洛伐他汀
编号:BP0462
英文名称:Lovastatin
规格:100mg/支
本品为洛伐他汀化学对照品,供含量测定用,使用前不需干燥处理。供HPLC法含量测定,按C24H36O5计,含量为99.4%。
CAS号:75330-75-5
分子式:C24H36O5
分子量:404.54
包装:棕色安瓿
装量:约100毫克/支
储存条件:遮光,充氮密闭,2~8℃保存。
·依他尼酸
编号:BP0207
英文名称:Etacrynic Acid
规格:50mg
本品为洛伐他汀化学对照品,供含量测定用,使用前不需干燥处理。供HPLC法含量测定,按C24H36O5计,含量为99.4%。
CAS号:75330-75-5
分子式:C24H36O5
分子量:404.54
包装:棕色安瓿
装量:约100毫克/支
储存条件:遮光,充氮密闭,2~8℃保存。
·卡托普利二硫化物
编号:BP0256
英文名称:Captopril-Disuphide
规格:50mg
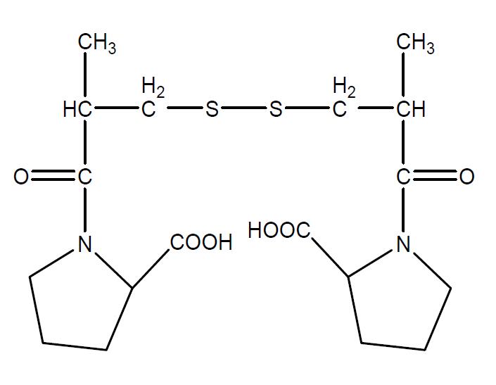
本品为卡托普利二硫化物,供检查用,使用前不需干燥处理,按C18H28N2O6S2计,含量为100.0%。
分子式:C18H28N2O6S2
结构式:

分子量:432.56
CAS号:64806-05-9
包装:棕色西林瓶
规格:约50毫克/支”
储存条件:遮光,密闭保存。
苏丹I标准品特价促销关键词:苏丹I,842-07-9,Sudan I
苏丹I由我公司长期专业供应,公司为广大顾客提供 苏丹I产品说明,生产厂家,价格,规格,哪里买 。公司遵循高品质的产品,高质量的技术服务,合理的价格,是国内研发与生产,销*(代"售")合为一体的一家大型企业,我们承诺:以最少的经费,最高的效率,得到您最需要的实验结果,同时我们承诺,若有质量问题,无条件退换。
·二*欧山芹醇当归酸酯
编号:BP1225
英文名称:Columbianadin
规格:20mg/支
本品为二*欧山芹醇当归酸酯化学对照品,供鉴别及含量测定用,含量以98.6%计,使用前不需干燥处理。
CAS号:5058-13-9
分子式:C19H20O5
分子量:328.6
结构式:

包装:棕色瓶。
装量:约20mg/支。
储存条件:冷处(2~10℃)保存。
·正十八烷
编号:BP1254
英文名称:n-Octadecane
规格:约0.2ml/支
本品为正十八烷化学对照品,供含量测定项下内标用,含量以99.4%计。
结构式:CH3(CH2)16CH3
分子式:C18H38
分子量:254.51
包装及装量:棕色安瓿瓶每支约0.2ml
储存条件:室温保存。
注意事项:使用前无需处理,本品挥发性强,打开包装后立即使用,一次使用完毕。
·盐*(代"酸")阿米洛利杂质
编号:BP0818
英文名称:4-amino-6-chloro-1,3-benzenedisulfonamide
规格:50mg
本品为4-*基-6-*-1,3-*基二硫酰胺化学对照品,供HPLC法系统适用性试验用。
CAS号:121-30-2
分子式:C6H8ClN3O4S2
分子量:285.73
包装及装量:棕色小瓶装,每支约50毫克。
储存条件:遮光,密封保存。
注意事项:使用前不需干燥处理。
·甘露醇
编号:BP0409
英文名称:Mannitol
规格:300mg
本品为D-甘露糖醇化学对照品,按C6H14O6计,供HPLC法测定,含量为99.0%。
分子式:C6H14O6
分子量:182.17
CAS号:69-65-8
包装及装量:棕色西林瓶装,每支约300毫克。
储存条件:密封,置阴凉处保存。
注意事项:使用前不需干燥处理。
苏丹I标准品特价促销关键词:苏丹I,842-07-9,Sudan I
我公司拥有专业生化试剂实验和销*(代"售")经验,为专业的您提供专业的服务。种类丰富,*基酸类、酶类、维生素类、苏丹I、缓冲剂类、色素类、植物激素及核酸类、碳水化合物类、抗生素类均有销*(代"售")。品牌代理,质量保障,其产品涉及生命科学的所有领域,包括生化试剂,抗体,ELISA试剂盒等等。
CYB162045 兔抗小鼠IgG-FC(抗血清) 0.5ml
ARB12082 大鼠内脏脂肪特异性丝*酸蛋白酶抑制剂(vAspin)含量检测 Rat visceral adipose-specific serine protease inhibitor,vaspin ELISA KIT
SP葡聚糖凝胶C-50 L-Ornithine HCL 61374-06-9
PY02-002 伊红美蓝琼脂(EMB) 250克
BL1095 DMEM(H)
ARB12990 小鼠抗中性粒细胞核周抗体(pANCA)elisa检测 Mouse perinuclear anti-neutrophil cytoplasmic antibody,panca ELISA KIT
赤霉素GA3 Tartrazine 77-06-5
PY02-240 李氏菌增菌肉汤(LB1,LB2)基础 250克
2-脱氧-D-核糖 Gum mastic 533-67-5
ARB13766 鸭抗凝血素抗体(APT1/APT2)含量测试 Duck anti-prothrombins antibodies,apt1/apt2 ELISA KIT
BL1171 真菌基因组DNA提取试剂盒
SJ0070 Banana powder 香蕉粉
ARB12956 小鼠血管内皮细胞生长因子受体3(VEGFR-3/Flt-4)免费代测 Mouse vascuoar endothelial cell growth factor receptor,vegfr-3/flt-4 ELISA KIT
HC0193 记号笔(黑色)油性
ARB14065 鲤鱼卵黄蛋白原(VTG)含量检测 Fish vtg ELISA KIT
二甲基黄 PHYTIN 60-11-7
BTN100201 海量PCR片段纯化试剂盒 Mega PCR Clean-Up Kit
ARB12083 大鼠内源性糖皮质激素(GC)Elisa方法检测 Rat glucocorticoid,gc ELISA KIT
我公司倾力为客户提供最优 、最全、最有效的苏丹I等科研试剂产品,质量被全国各大院校科研机构认可。 同时,我们售前,售中,售后全程为您服务。欢迎来电咨询!
北京百莱博科技有限公司专业生产供应销*(代"售")生物试剂、化学试剂、抗原抗体、血清血浆、Elisa试剂盒,更多试剂产品需求,欢迎来电咨询选购苏丹I标准品特价促销。
风险提示:丁香通仅作为第三方平台,为商家信息发布提供平台空间。用户咨询产品时请注意保护个人信息及财产安全,合理判断,谨慎选购商品,商家和用户对交易行为负责。对于医疗器械类产品,请先查证核实企业经营资质和医疗器械产品注册证情况。
文献和实验质分子量标准(19-119KD) (50次)--每支 280元 五. 秋季部分产品特价促销单 具体产品和价格如下: 一. DNA分子量标准产品: DNA分子量标准 规格 优惠价 DL2000 50次 58元 参照片断(bp):100 、250、500、750、1000、2000bp Marker1 50次 58元 参照片断(bp):100 、200、300、400、500、600bp Marker2 50次 58元 参照片断(bp):100 、300、500
。博士德部分现货ELISA产品超低价促销! 供应以上产品均为现货。特价产品如下: h.Activin A 1000元/96T h.MIP-1a 1500元/96T m.IL-4 1000元/96T h.BDNF 1000元/96Th.MIP-3a 1500元/96T m.IL-5 1000元/96T h.BMP-2 1500元/96Th.MCP-1 1000元/96T m.IL-6 1000元/96T h.CD54 1500元/96Th.MMP
,较大的蛋白如抗体可能需要5小时。如果需要可以在温育3小时后补加完全培养基。检测前用无血清培养基或者PBS洗涤细胞以除去未转染的蛋白,防止影响结果分析,然后就可以分析结果了。 注意事项当然是需要考究蛋白质的浓度和纯度(幸好越来越多的蛋白样本制备工具使得蛋白样本处理变得简单高效了,比如Merck自己的蛋白样品制备系列就有很多选择,现在还有75折特价呢),转染过程中要避免血清的干扰,最后检测前要彻底洗掉残留的蛋白。至于效果如何?厂家提供的图片相当漂亮。 价格和用量:好东西不便
技术资料暂无技术资料 索取技术资料










