相关产品推荐更多 >
万千商家帮你免费找货
0 人在求购买到急需产品
- 详细信息
- 文献和实验
- 技术资料
- 保存条件:
阴凉干燥
- 保质期:
长期
- 英文名:
Dexamethasone
- 库存:
960
- 供应商:
北京百奥莱博科技有限公司
- CAS号:
50-02-2
特别声明:本产品及我公司所售其他产品均为科研类试剂产品,严禁用于药物、医疗及其他非科研用途。
北京地塞米松标准品价格是高品质的标准品对照品产品,由北京百奥莱博供应,用于科研实验,本产品质量好,且极具价格优势,深为用户称道,了解更多地塞米松等标准品对照品产品请联系我司咨询订购。
名称:北京地塞米松标准品价格
编号:BP0103
品牌:百奥莱博
英文名:Dexamethasone
规格:100mg/瓶
产地:国产|进口
本品为地塞米松的化学对照品,供HPLC法鉴别和含量测定用。本品105℃干燥2小时后使用,以C22H29FO5计,含量为99.8%。
分子式:C22H29FO5
分子量:392.47
CAS号:50-02-2
包装:棕色西林瓶
规格:约100毫克/支
储存条件:密闭避光保存
注意事项:本品配制成溶液后不稳定,应临用临配,避免长时间室温放置。
更多有关北京地塞米松标准品价格的价格及使用说明等,请联系我们的业务经理王欣女士咨询,我公司还销*(代"售")以下产品:
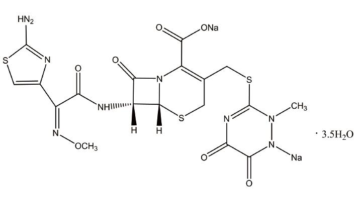
·头孢曲松
编号:BP1633
英文名称:Ceftriaxone
规格:200mg/支
本品为头孢曲松化学对照品,供高效液相法含量测定用,以头孢曲松(C18H16N8Na2O7S3)计,含量为83.9%,使用前不需要干燥处理。
CAS号:74578-69-1
分子式:C18H16N8Na2O7S3·3.5H2O
分子量:661.59
结构式:

包装:安瓿
规格:约200mg/支
储存条件:2-8℃保存
注意事项:本品建议打开
·伊维菌素
编号:BP0727
英文名称:Ivermectin
规格:100mg
本品为伊维菌素化学对照品,供含量测定用,含伊维菌素92.0%,其中含伊维菌素B1a为89.2%;伊维菌素B1b为2.8%。
| 伊维菌素B1a | 伊维菌素B1b | |
| 分子式 | C48H74O14 | C47H72O14 |
| 分子量 | 875.10 | 861.07 |
| CAS 北京地塞米松标准品价格关键词:50-02-2,Dexamethasone,地塞米松 我公司始终坚持“创新,品质,服务,节约,敬业,感恩”的理念。吸收新创意,严把质量关口,全方位的服务跟踪,坚持做出高品质产品。本着“追求、员工、技术、精神、利益”的宗旨。现拥有一批精干的管理人员和一支高素质的专业技术队伍。我们以质量为生命、时间为信誉、价格为竞争力的经营信念,立足于国内外市场。目前已在全国各大院系,和研究单位均有销*(代"售"),也得到了客户的认可。百奥莱博生产的地塞米松等试剂进入飞速发展期,为了更好的服务客户,公司长期储备海量库存,以此助推中国科技的快速发展,更好的造福人类! ·非诺贝特 编号:BP0565 英文名称:Fenofibrate 规格:100mg 本品为非诺贝特化学对照品,使用前不需干燥处理。供含量测定用,按C20H21ClO4计算,含量为99.9%。 CAS号:49562-28-9 分子式:C20H21ClO4 分子量:360.84 结构式: ![]() 包装:西林瓶装 规格:约100毫克 储存条件:遮光,密闭保存 ·伊曲康唑杂质E 编号:BP1760 英文名称:Itraconazole impurity E 规格:30mg/支 本品为伊曲康唑杂质E化学对照品,供伊曲康唑原料及其制剂HPLC法有关物质检查用,以伊曲康唑杂质E(C35H38Cl2N8O4)计,含量为97.1%。使用前不需干燥处理。 CAS号:252964-65-1 分子式:C35H38Cl2N8O4 分子量:704.2 结构式: ![]() 包装:棕色安瓿 规格:30mg/支 储存条件:常温遮光保存 ·盐*(代"酸")曲美他嗪杂质(六水哌*(代"嗪")) 编号:BP0976 英文名称:Trimetazidine Hydrochloride Impurity(Piperazin*(代"e") Hexahydrate) 规格:50mg/支 本品为伊曲康唑杂质E化学对照品,供伊曲康唑原料及其制剂HPLC法有关物质检查用,以伊曲康唑杂质E(C35H38Cl2N8O4)计,含量为97.1%。使用前不需干燥处理。 CAS号:252964-65-1 分子式:C35H38Cl2N8O4 分子量:704.2 结构式: ![]() 包装:棕色安瓿 规格:30mg/支 储存条件:常温遮光保存 ·异环磷酰胺 编号:BP0457 英文名称:Ifosfamide 规格:100mg 本品为化学对照品,供异环磷酰胺供HPLC法含量测定用,使用前不需干燥处理,按C7H15Cl2N2O2P计,含量为99.4%。 分子式:C7H15Cl2N2O2P 分子量:261.09 CAS号:3778-73-2 包装及装量:棕色西林瓶装,每支约100毫克。 储存条件:遮光,密封,在冷处保存。 注意事项:使用前不需干燥处理。 北京地塞米松标准品价格关键词:50-02-2,Dexamethasone,地塞米松 地塞米松如何储存? 化学试剂的变质,大多数情况是因为受外界条件的影响,如空气中的氧气、二氧化碳、水蒸气、空气中的酸碱性物质以及环境 温度、光照等,都可使化学试剂发生氧化、还原、潮解、风化、析晶、稀释、锈蚀、分解、挥发、升华、聚合、发霉、变色以及燃爆等变化。经常检查储存中的化学 试剂的存放状况发现实际起过的储存期或变质应及时报告,并按规定妥善处理 ( 降级使用或报废) 和销帐。在正常储存条件下,一般化学试剂贮有不宜超过2年,基准试剂不超1年。为了避免环境和其他因素的干扰,所有化学试剂一经取出不得放回贮有容器: 属于必须回收的试剂或指定、退库、的试剂,必须另设专用容器回收或贮存,具有吸潮性或易氧化,易变质的化学试试剂必须密封保存,避免吸湿解,氧化或变质。 定期盘点,核对出现差错应及时检查原因,并报主管领导或部门处理。 ARB11776 人解整合素样金属蛋白酶8(ADAM8)尿液中含量检测 Human a disintegrin and metalloprotease 8,adam8 ELISA KIT PY01-169 中性红 ind 25克 亚甲基蓝 Oxalacetic acid 7220-79-3 甘油磷酸* L(-)-Camphorsulfonic acid 58409-70-4 25322-68-3 聚乙二醇20000 PEG20000 *酞 Rifampicin 87-41-2 CYB163058 羊抗鸡IgG-RBITC 9007-83-4 γ-球蛋白 γ-Globulins from bovine blood HC0220 大龙移液器 PY04-020 新生霉素 2mg/支×10支 每支添加于100ml改良EC肉汤中制成mEC肉汤,用于肠出血性大肠杆菌O157;H7选择性增菌 ARB10494 人白介素8(IL-8)酶联免疫定量检测 Human interleukin 8,IL-8 ELISA KIT PP2401 UltraECL底物化学发光检测试剂盒 ARB12834 小鼠支原体Elisa方法检测 mpuse mycoplasma ELISA KIT L-谷*酸二甲酯盐*(代"酸")盐 Copper gluconate 23150-65-4 145224-94-8 MES 2-(N-玛啡啉)乙磺酸 BTN70801 非酶DNA清除剂-2 DNA Erasol-2 ARB12835 小鼠巨噬细胞来源的趋化因子(MDC/CCL22)酶标法分析 Mouse macrophage-derived chemokine,mdc ELISA KIT 地塞米松的不同等级: 除了优级纯、分析纯、化学纯、实验试剂外,目前市场上尚有:基准试剂(PT):专门作为基准物用,可直接配制标准溶液。光谱纯试剂(SP):表示光谱纯净。但由于有机物在光谱上显示不出,所以有时主成分达不到99.9%以上,使用时必须注意,特别是作基准物时,必须进行标定。纯度远高于优级纯的试剂叫做高纯试剂(≥ 99.99%)。 一般化学试剂的品级:一级试剂、二级试剂、三级试剂、四级试剂 国内标准名称:优级纯(保证试剂)、分析纯、化学纯 、实验试剂 国内标签颜色:绿色、红色、蓝色、中黄色 我公司生产供应销*(代"售")的标准品对照品正全品类优惠促销,十分期待您的咨询选购北京地塞米松标准品价格。 |
风险提示:丁香通仅作为第三方平台,为商家信息发布提供平台空间。用户咨询产品时请注意保护个人信息及财产安全,合理判断,谨慎选购商品,商家和用户对交易行为负责。对于医疗器械类产品,请先查证核实企业经营资质和医疗器械产品注册证情况。
文献和实验北京时间 7 月 12 日,中国科学院深圳先进技术研究院司同课题组与伊利诺伊大学厄巴纳-香槟分校 Jonathan V. Sweedler 教授团队合作,在 FASEB J 国际学术期刊上发表研究论文 Profiling of D-alanine production by the microbial isolates of rat gut microbiota。 文章建立了酶法定性快筛和手性色谱-质谱联用(chiral LC-MS/MS)准确定量的两级分析方法,对 38 株大鼠肠菌产
Oasis HLB净化和ACQUITY UPLC/TQD快速分析动物性食品中糖皮质类激素兴奋剂的含量
,所以采用梯度方法在乙腈/水的流动相体系下实现分离,结果见图1。其中泼尼松龙和可的松(405.2>329.2,405.2>359.2),倍他米松和地塞米松(437.2>361.2,437.2>391.2)两组化合物的母离子和子离子完全一样,只是在结构上空间异构,在质谱上无法区分,所以必须通过色谱实现分离后定量定性分析,实验优化了梯度程序、色谱柱温及流速,使两组化合物实现了基线分离,从而能够准确定性和定量测定。 图1 糖皮质激素素类混合标准品色谱图 3.1 质谱
了此抗体检测标准系统,完成了标准阳性血清中特异性抗Hp尿素酶抗体的定量工作。 1 材料和方法 1.1 材料 抗Hp抗体阳性及阴性血清各50份,经实验室酶联免疫吸附实验(ELISA)和免疫印迹分析(Western blots)证实。10736份其它血清采自北京和河南的四个人群现场。Hp尿素酶抗原(HpU)由本实验室分离纯化。酶标板采用美国Linbro/Titertek酶标板。IgG标准品购自百泰生物技术公司,为日本北里研究所产品,IgG含量为15.5g/L。参考血清由多份抗
技术资料暂无技术资料 索取技术资料












