万千商家帮你免费找货
0 人在求购买到急需产品
- 详细信息
- 文献和实验
- 技术资料
- 保存条件:
2-10℃
- 保质期:
长期
- 英文名:
Forsythoside A
- 库存:
266
- 供应商:
北京百奥莱博科技有限公司
- CAS号:
79916-77-1
特别声明:本产品及我公司所售其他产品均为科研类试剂产品,严禁用于药物、医疗及其他非科研用途。
北京百奥莱博公司供应包括连翘酯苷A对照品销*(代"售")在内的化学标准品,化学对照品,杂志对照品,HPLC标准品,UV标准品等高品质标准品、对照品
名称:连翘酯苷A对照品销*(代"售")
编号:BP1379
规格:20mg/支
英文名:Forsythoside A
品牌:百奥莱博
产地:国产|进口
本品为连翘酯苷A化学对照品,供鉴别及含量测定用使用,含量以93.4%计,前不需干燥处理。
CAS号:79916-77-1
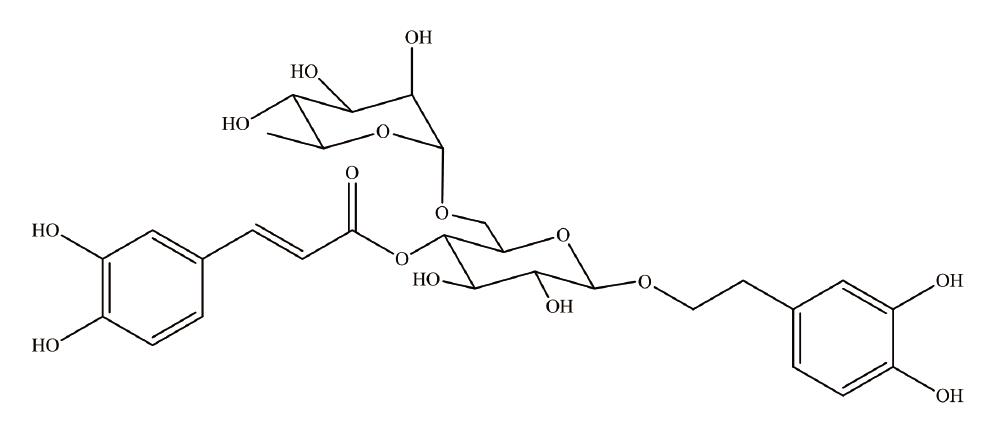
分子式:C29H36O15
分子量:624.59
结构式:

包装:棕色安瓿瓶
装量:约20mg/支
储存条件:冷处(2-10℃)保存
注意事项:本品极具引湿性,建议打开包装一次性使用完毕。
关于连翘酯苷A对照品销*(代"售")的更详细说明,请致电我公司咨询,我们将以最饱满的热情为您提供解答,此外,我公司专业供应下列产品:
·3-甲酰利福霉素SV
编号:BP1600
英文名称:3-Formylrifampicin SV
规格:50mg
本品为3-甲酰利福霉素SV标准品,供利福平品种有关物质检查及系统适用性试验用。
使用方法:精密称取本品适量,按规定的方法,配制至所需浓度的对照品溶液,立即使用。
储存条件:置5℃以下低温避光保存。开启安瓿后严密保持干燥,以防吸水。
注意事项:使用前不需干燥处理。
·盐*(代"酸")罗格列酮
编号:BP0518
英文名称:Rosiglitazone Hydrochloride
规格:100mg
本品为盐*(代"酸")罗格列酮化学对照品,含两分子结晶水, 按 C18H19N3O3S·HCl计,本品的含量为91.3%。供含量测定用。
分子式:C18H19N3O3S·HCl·2H2O
分子量:429.92
CAS号:122320-73-4(罗格列酮)
包装及装量:棕色小瓶装,每支约100毫克。
储存条件:遮光,密闭保存。
注意事项:使用前不需干燥处理。
·**酸后马托品
编号:BP0830
英文名称:Homatropine Hydrobromide
规格:100mg
本品为盐*(代"酸")罗格列酮化学对照品,含两分子结晶水, 按 C18H19N3O3S·HCl计,本品的含量为91.3%。供含量测定用。
分子式:C18H19N3O3S·HCl·2H2O
分子量:429.92
CAS号:122320-73-4(罗格列酮)
包装及装量:棕色小瓶装,每支约100毫克。
储存条件:遮光,密闭保存。
注意事项:使用前不需干燥处理。
·L-阿拉伯糖醇
编号:BP2044
英文名称:L-arabinitol
规格:50mg
本品为L-阿拉伯糖醇化学对照品,仅供木糖醇品种有关物质检查用,使用前不需干燥处理,以C5H12O5计,含量为99.6%。
CAS号:7643-75-6
分子式:C5H12O5
分子量:152.15
包装:棕色西林瓶
规格:约50毫克/支
储存条件:遮光、常温保存。
注意事项:本品具有引湿性,建议打开包装一次性使用完。
·盐*(代"酸")普*洛尔
编号:BP0601
英文名称:Propranolol Hydrochloride
规格:100mg
本品为盐*(代"酸")普*洛尔化学对照品,供检查用。供UV法测定,按C16H21NO2·HCl计,含量为100%。
CAS号:318-98-9
分子式:C16H21NO2·HCl
分子量:295.81
包装及装量:棕色西林瓶装,每支约100毫克。
储存条件:遮光,密封保存
注意事项:使用前不需干燥处理。
连翘酯苷A对照品销*(代"售")关键词:连翘酯苷A,Forsythoside A,79916-77-1
我公司是一家专业经营生化试剂、仪器、连翘酯苷A、实验室耗材的公司,代理许多国际先进水平的高科技产品,包括分子生物学、细胞生物学、免疫学等多个研究及应用领域。我们努力将欧美专业生产厂家的具有国际先进水平的产品推荐给各类研究人员;另一方面也非常重视自主产品研究和开发,推出了一系列具有竞争力的产品和服务。同时国家对于生物行业的发展给予了极大的重视,更多地侧重于科研的投入。
2-*-1,3-二甲基咪唑鎓六*磷酸盐 24-Epicastasterone 101385-69-7
85-86-9 苏丹Ⅲ
ARB11312 人促肾上腺皮质激素释放因子(CRF)检测服务 Human corticotropin-releasing factor,crf
BTN130696 G(5′)ppp(5′)A帽结构类似物 RNA Cap Structure Analogs
CYB161056 鸡IgG(冻干粉)
ARB11131 人肺癌标志物含量检测 Human lung cancer marker ELISA KIT
噻*(代"吩")-2-羧酸酰肼 Creatine phosphate sodiu*(代"m") salt 2361-27-5
中性蛋白酶 TAPSO 9068-59-1
BTN80603 微型离心管专用研磨杵 Microtube Pestle
BTN71201 柱式动物RNAOUT Column Animal RNAOUT
五肽胃泌素 Hot Taq DNA Polymerase 5534-95-2
ARB11135 人肽聚糖(PG)elisa检测操作说明书 Human peptidoglycan,pg ELISA KIT
ARB12383 大鼠肺表面活性物质相关蛋白c(SP-c)定量分析 Rat associated protein c,sp-c ELISA KIT
ARB10400 人可溶性肿瘤坏死因子-1(sTNF-1)酶联免疫定量检测 Human soluble tumor necrosis factor1,stnf-1 ELISA KIT
连翘酯苷A对照品销*(代"售")关键词:连翘酯苷A,Forsythoside A,79916-77-1
我公司位于北京市海淀区,是一家专业从事生化试剂、分子生物学试剂、实验耗材研发、销*(代"售")、服务为一体的生物科技公司,公司主要经营的进口品牌包括Sigma,Invitrogen,Roche,Abcam,BD, R&D,GE,Amresco,Merck等;产品涉及化工原料、生化试剂、分子克隆相关试剂、细胞培养及检测常用试剂、实验室常用耗材等。百奥莱博秉承博采众长、诚信为本、德行天下的宗旨服务于客户。公司合作单位及客户包括各大医院、科研机构、大专院校、制药单位、医学检验单位、卫生防疫、生物技术公司、食品单位等诸多领域,正逐步成长为一流的生化试剂和耗材供应商。 我们将一如既往的为您提供优质的产品和完善的售后服务。
·*环喹*铵
编号:BP0925
英文名称:Bencycloquidium Bromide
规格:100mg/支
本品为*环喹*铵化学对照品,供含量测定用,使用前不需干燥处理,供HPLC法测定,按C21H32NO2·Br计,含量为99.6%。
分子式:C21H32NO2·Br
分子量:410.4
包装:棕色安瓿瓶
装量:约100mg/支
储存条件:遮光,密封保存。
注意事项:建议打开包装后一次性使用完毕。
·罗库*铵杂质IV
编号:BP0972
英文名称:Rocuronium Bromide Impurity IV(1-[3α,17β-diacetoxy-2β-(morpholin-4-yl)-5α-androstan-16β-yl]-1-(prop-2-enyl)pyrrolidinium Bromide)
规格:约20毫克/支
本品为罗库*铵杂质IV化学对照品,使用前不需干燥处理,供HPLC法系统适用性试验用。
CAS号:122483-73-2
分子式:C34H55BrN2O5
分子量:651.71
结构式:

包装:棕色西林瓶
规格:约20毫克/支
储存条件:遮光,2-8℃保存
·土荆皮乙酸
编号:BP1151
英文名称:Pseudolaric acid B
规格:20mg/支
本品为土荆皮乙酸化学对照品,供鉴别和含量测定用,含量以98.3%计,使用前不需干燥处理。
CAS号:82508-31-4
分子式:C23H28O8
分子量:432.46
结构式:

包装:棕色安瓿瓶
规格:约20mg/支
储存条件:冷处(2-10℃)保存
·N-乙*(代"烯")-2-吡*(代"咯")烷酮
编号:BP1989
英文名称:N-vinyl-2-pyrrolidone
规格:1ml
本品为N-乙*(代"烯")-2-吡*(代"咯")烷酮化学对照品,供N-乙*(代"烯")-2-吡*(代"咯")烷酮检查用,标示含量为99.6%,使用前不需干燥处理。
CAS号:88-12-0
分子式:C6H9NO
分子量:111.14
包装及装量:棕色玻璃安瓿装,每支约1ml。
储存条件:遮光,密封保存。
连翘酯苷A如何储存?
化学试剂的变质,大多数情况是因为受外界条件的影响,如空气中的氧气、二氧化碳、水蒸气、空气中的酸碱性物质以及环境 温度、光照等,都可使化学试剂发生氧化、还原、潮解、风化、析晶、稀释、锈蚀、分解、挥发、升华、聚合、发霉、变色以及燃爆等变化。经常检查储存中的化学 试剂的存放状况发现实际起过的储存期或变质应及时报告,并按规定妥善处理 ( 降级使用或报废) 和销帐。在正常储存条件下,一般化学试剂贮有不宜超过2年,基准试剂不超1年。为了避免环境和其他因素的干扰,所有化学试剂一经取出不得放回贮有容器: 属于必须回收的试剂或指定、退库、的试剂,必须另设专用容器回收或贮存,具有吸潮性或易氧化,易变质的化学试试剂必须密封保存,避免吸湿解,氧化或变质。 定期盘点,核对出现差错应及时检查原因,并报主管领导或部门处理。
我公司强烈推荐标准品对照品系列产品,热情期待您的咨询选购连翘酯苷A对照品销*(代"售")。
风险提示:丁香通仅作为第三方平台,为商家信息发布提供平台空间。用户咨询产品时请注意保护个人信息及财产安全,合理判断,谨慎选购商品,商家和用户对交易行为负责。对于医疗器械类产品,请先查证核实企业经营资质和医疗器械产品注册证情况。
文献和实验一枝蒿,百病都除掉”的民间谚语,一枝蒿用于治疗毒蛇咬伤、荨麻疹、消化不良、跌打红肿、感冒发烧、咽喉肿痛等症。以一枝蒿为主药的复方制剂,已针对感冒和过敏性鼻炎等症上市销售。一枝蒿中含有黄酮类、酮酸类、氨基酸类、苷类、多糖类、挥发油类、多肽和生物碱类等化学成分[5],其中倍半萜成分――一枝蒿酮酸含量较高[6],以该化合物作为药材对照品能够较好的控制药材质量,且倍半萜类成分大多具有抗肿瘤等多种生物活性。文章建立一枝蒿酮酸的含量测定方法,简便易行,准确可靠,可为一枝蒿药材及相关产品的质量控制奠定
技术资料暂无技术资料 索取技术资料










