相关产品推荐更多 >
万千商家帮你免费找货
0 人在求购买到急需产品
- 详细信息
- 文献和实验
- 技术资料
- 保存条件:
2~10℃
- 保质期:
长期
- 英文名:
Formononetin
- 库存:
959
- 供应商:
北京百奥莱博科技有限公司
- CAS号:
485-72-3
特别声明:本产品及我公司所售其他产品均为科研类试剂产品,严禁用于药物、医疗及其他非科研用途。
北京百奥莱博公司供应包括芒柄花素标准品价格厂家在内的化学标准品,化学对照品,杂志对照品,HPLC标准品,UV标准品等高品质标准品、对照品
名称:芒柄花素标准品价格厂家
规格:约20mg/支
产地:国产|进口
英文名:Formononetin
品牌:百奥莱博
编号:BP1304
本品为芒柄花素化学对照品,供相关物质鉴别用,使用前不需干燥处理。
CAS号:485-72-3
分子式:C16H12O4
分子量:268.26
结构式:

包装:棕色瓶
规格:约20mg/支
储存条件:冷处(2~10℃)
芒柄花素标准品价格厂家正在火爆热销,除此之外,为您推荐下别热销产品:
·人参皂苷Rg3
编号:BP1093
英文名称:Ginsenoside Rg3
规格:20mg
本品为人参皂苷Rg3化学对照品,供含量测定用,使用前不需干燥处理。含量以99.5%计。
CAS号:38243-03-7
分子式:C42H72O13
分子量:785.01
结构式:

包装:棕色安瓿瓶。
规格:约20mg/支
储存条件:冷冻保存
注意事项:本品略有引湿性,打开包装后一次使用完毕。
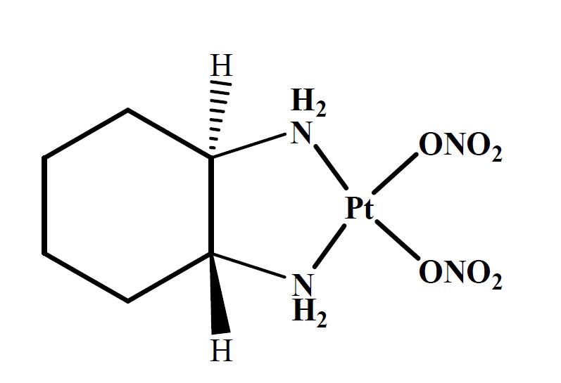
·环己二胺二硝酸合铂(奥沙利铂杂质Ⅰ)
编号:BP0795
英文名称:[SP-4-2-[(1R-trans)]-(1,2-Cyclohexanediamine-N,N’) dinitratoplatinum
规格:20mg/支
本品为环己二胺二硝酸合铂化学对照品,供奥沙利铂杂质Ⅰ检查用,使用前不需干燥处理。
CAS号:66900-68-3
分子式:C6H14N4O6Pt
分子量:433.28
结构式:

包装及装量:棕色西林瓶装,每支约20mg。
储存条件:遮光,密封保存。
·缬沙坦对映异构体
编号:BP0634
英文名称:Valsartan Enantiomer
规格:50mg
本品为环己二胺二硝酸合铂化学对照品,供奥沙利铂杂质Ⅰ检查用,使用前不需干燥处理。
CAS号:66900-68-3
分子式:C6H14N4O6Pt
分子量:433.28
结构式:

包装及装量:棕色西林瓶装,每支约20mg。
储存条件:遮光,密封保存。
·麝香草酚
编号:BP0394
英文名称:Thymol
规格:100毫克/支
本品为麝香草酚化学对照品,供含量测定用,使用前不需干燥处理,供GC法测定,按C10H14O计,含量为99.9%。
分子式:C10H14O
分子量:150.22
CAS号:89-83-8
包装:棕色西林瓶
规格:约100毫克/支
储存条件:遮光,密闭,10~30℃保存。
·地榆皂苷Ⅰ
编号:BP1486
英文名称: Ziyu-glycoside Ⅰ
规格:20mg
本品为地榆皂苷Ⅰ化学对照品,供含量测定用,含量以95.1%计。
CAS号:35286-58-9
分子式:C41H66O13
分子量:766.95
包装及装量:棕色安瓿瓶,约20mg/支
储存条件:冷冻保存
注意事项:本品有引湿性,打开包装后一次使用完毕。
芒柄花素标准品价格厂家关键词:Formononetin,芒柄花素,485-72-3
我公司所售科研每月均有新品促销,您可对我公司网站时刻进行关注,在促销期间购买您所需产品,价格更优惠。芒柄花素质量保证,品质已经得到广大客户的认可,您可放心,且我公司有专门的售后部门对客户进行全线跟踪,全程免费技术指导。欢迎询价详谈!
·尿素
编号:BP0229
英文名称:Urea
规格:100mg/支
本品为尿素的化学对照品,供含量测定用,105℃干燥2小时后使用,供UV法测定,按CH4N2O计,含量为100.0%。
分子式:CH4N2O
分子量:60.06
CAS号:57-13-6
包装及装量:棕色西林瓶装,每支约100毫克。
储存条件:遮光,密封,在阴凉处保存。
注意事项:105℃干燥2小时后使用。建议在RH70%以下环境中称量。
·盐*(代"酸")托烷司琼β-异构体
编号:BP2150
英文名称:Tropisetron Hydrochloride β-isomer
规格:50mg/支
本品为盐*(代"酸")托烷司琼β-异构体化学对照品,供HPLC法β-异构体检查用,使用前不需干燥处理,按C17H20N2O2·HCl计,含量为97.0%。
分子式:C17H20N2O2·HCl
分子量:320.81
包装:棕色安瓿瓶装
装量:每支约50mg
储存条件:遮光,密封保存
·**酸力克拉敏
编号:BP0817
英文名称:Lycoramine Hydrobromide
规格:50mg
本品为**酸力克拉敏化学对照品,供HPLC法系统适用性试验用。
分子式:C17H23NO3·HBr
分子量:370.29
包装及装量:棕色小瓶装,每支约50毫克。
储存条件:遮光,密封保存。
注意事项:使用前不需干燥处理。
·阿托伐他汀*杂质E
编号:BP0922
英文名称:Atorvastatin Calcium Impurity E
规格:30mg/支
本品为阿托伐他汀*杂质E化学对照品,供HPLC法检查用,以C40H47FN2O5计,含量为100%,使用前不需干燥处理。
CAS号:125971-95-1
分子式:C40H47FN2O5
分子量:654.82
结构式:

包装:棕色西林瓶。
规格:约30mg/支。
储存条件:密封,遮光,2-8℃保存。
芒柄花素标准品价格厂家关键词:Formononetin,芒柄花素,485-72-3
芒柄花素怎样保存?
一般试剂可保存在玻璃瓶内; 对玻璃有强烈腐蚀作用的试剂,如**酸、*氧化*应保存在聚乙*(代"烯")塑料瓶内; 易被空气氧化、分化、潮解的试剂应密封保存;易感光分解的试剂应用有色玻璃瓶贮存并藏于暗处; 易受热分解及低沸点溶剂,应存于冷处; 剧毒试剂应存于保险箱; 有放射性的试剂应存于铅罐中。如果化学试剂保管不当,就会失效变质,影响实验的效果,并造成物质的浪费,甚至有时还会发生事故。因此,科学地保管好试剂对于保证实验顺利进行,获得 可靠的实验数据具有非常重要的意义。
ARB10693 人肌养蛋白(dystrophIn)Elisa方法检测 Human dystrophin ELISA KIT
ARB10161 人SmAd7 酶标法分析 Human mothers against decapentaplegic homolog 7,smad7 ELISA KIT
ARB12211 大鼠成纤维细胞生长因子10(FGF-10)含量测试 Rat fibroblast growth factor-10,fgf-10 ELISA KIT
ARB10952 人肝细胞生长因子(HGF)含量检测 Human hepatocyte growth factor,hgf ELISA KIT
PY02-293 MRS琼脂 250克
9003-99-0 Peroxidase(POD) 辣根过氧化物酶
59-30-3 Folic acid(Vitamin M) 叶酸
齐墩果酸 G418 sulfate 508-02-1
D0301 脱纤维绵羊血(无菌 pet瓶装)
F030205 HRP标记山羊抗小鼠IgG抗体 Goat Anti-Mouse IgG*HRP
ARB13159 小鼠泰泽病原体血清中含量检测 Mouse tyzzer organism ELISA KIT
矮壮素 Triton x-114 999-81-5
BTN130518 醛基磁珠 Magnetic beads,Aldehydic
ARB13813 豚鼠总抗氧化能力(T-AOC)ELISA代测服务
298-96-4 TTC 2,3,5*化三*基四氮唑
BL0939 生物素化羊抗人C3抗体
ARB11802 人雌激素(E)elisa检测操作说明书 Human estrogen,e ELISA KIT
ARB11337 human胎盘蛋白(PP)代做ELISA实验 Human placental protein,pp ELISA KIT
ARB10620 人血栓素A2(TX-A2)检测服务 Human thromboxane a2,tx-a2 ELISA KIT
ARB11997 大鼠P物质(SP)酶标法分析 Rat substance p,sp ELISA KIT
ARB10495 人白介素8(IL-8/CXCL8)含量测试 Human interleukin 8,IL-8 ELISA KIT
生物化工学科起始于第二次世界大战时期,以抗生素的深层发酵和大规模生产技术的研究为标志。20世纪60年代末至80年代中期,转基因技术、生物催化与转比技术、动植物细胞培养技术、新型生物反应器和新型生物分离技术等开发和研究的成功,使本学科进入了新的发展时期,学科体系逐步完善。20世纪后期,随着以基因工程为代表的高新技术的迅速崛起,为本学科的进一步发展开辟了新领域,无数前人的工作和我公司的不懈奋斗。造就了高品质的芒柄花素。
我公司生产供应销*(代"售")的标准品对照品正全品类优惠促销,十分期待您的咨询选购芒柄花素标准品价格厂家。
风险提示:丁香通仅作为第三方平台,为商家信息发布提供平台空间。用户咨询产品时请注意保护个人信息及财产安全,合理判断,谨慎选购商品,商家和用户对交易行为负责。对于医疗器械类产品,请先查证核实企业经营资质和医疗器械产品注册证情况。
文献和实验本文主要介绍 ELISA 试剂盒、实验样本、相关问题,帮助大家更好地开展实验 试剂盒 Q1:科研试剂盒与临床试剂盒的区别 ? A1:临床试剂是经过权威机构认可的,如 FDA、CFDA 等;而科研试剂一般是厂家自主研制,不需要通过权威机构验证。 经营临床诊断类产品的机构需要取得《医疗器械经营企业许可证》;经营科研试剂的机构不需要此证件。 临床试剂盒一般仅用于检测人血清/血浆等较为单一的分泌性样本类型;科研试剂盒的样本检测种类、检测范围则比临床试剂盒宽广得多。但一般来说,临床试剂盒的质量
市面上的 ELISA 试剂盒五花八门,质量良莠不齐。如何浪里淘金,选择既符合科研需求,又品质上乘的 ELISA 试剂盒呢? 教你七招,快速搞定 ELISA 试剂盒的选择! 01 查找待测样本的蛋白浓度 通过检索 SCI 文献、Genecards、Mayocliniclabs 等,获得目标蛋白的表达部位及表达浓度参考值,比较 ELISA 试剂盒中给出的样本测值与参考值是否一致。 02 明确试剂盒的应用种属&检测的样本类型 不同厂家验证的样本类型不同。除试剂盒特别说明外,一般情况下,不同
GeneAp7000型荧光定量PCR仪为复杂精密仪器,其校准工作需由专业工程师进行。除与仪器厂家达成协议定期校准以外,以实判断仪器校准状态也可为何时进行仪器校准提供信息。 ⑴通过对室内质控图的分析,我们可以及时发现系统误差的出现。经过分析排除了试剂和人员误差后,应怀疑是否仪器出现了测偏差需要校准。此时进行仪器状态效实确定是否需要进行仪器校准。 ⑵仪器状态效试 ①使用标准化试剂作为效试剂。 ②在仪器处于校准状态下,由固定人员用标准化试剂对102、103、104、106标准品
技术资料暂无技术资料 索取技术资料










