相关产品推荐更多 >
万千商家帮你免费找货
0 人在求购买到急需产品
- 详细信息
- 技术资料
- 保存条件:
阴凉干燥
- 保质期:
长期
- 英文名:
Griffonilide
- 库存:
770
- 供应商:
北京百奥莱博科技有限公司
特别声明:本产品及我公司所售其他产品均为科研类试剂产品,严禁用于药物、医疗及其他非科研用途。
格列风内酯标准品优惠价的品牌:百奥莱博,是优质的标准品对照品产品,用于科研目的生化试验项目,本产品质量好,且极具价格优势,深为用户称道,了解更多格列风内酯等标准品对照品产品请联系我司咨询订购。
名称:格列风内酯标准品优惠价
规格:20mg
英文名:Griffonilide
品牌:百奥莱博
编号:BP1430
本品为格列风内酯化学对照品,供相关物质鉴别用。
分子式:C8H8O4
分子量:168.15
包装及装量:棕色瓶装。
储存条件:干燥避光保存。
注意事项:使用前无需处理。
想要了解更多关于格列风内酯标准品优惠价的价格、品牌、厂家、说明书、促销信息,请和我们联系。此外我公司还销*(代"售")下面的产品:
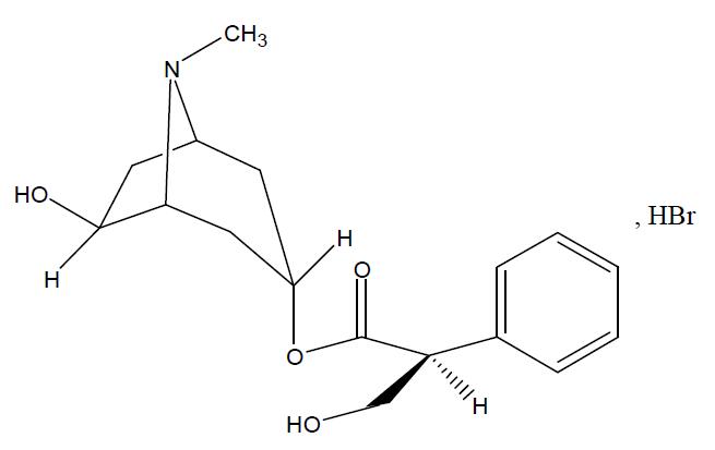
·**酸山莨菪碱
编号:BP0045
英文名称:Anisodamine Hydrobromide
规格:50mg/支
本品供UV法含量测定和TLC鉴别用,按C17H23NO4·HBr计,含量为99.3%,使用前不需要干燥处理。
分子式:C17H23NO4·HBr
结构式:

分子量:386.29
CAS号:55449-49-5
包装:棕色安瓿瓶
规格:50mg/支
储存条件:遮光,密封保存
·丙硫氧嘧啶
编号:BP0615
英文名称:Propylthiouracil
规格:100mg/支
本品为丙硫氧嘧啶化学对照品,供HPLC法鉴别和含量测定用。以C7H10N2OS计,含量为99.4%,使用前不需干燥处理。
CAS号:51-52-5
分子式:C7H10N2OS
分子量:170.24
包装:棕色西林瓶
规格:约100毫克/瓶
储存条件:密闭避光保存
·利培酮
编号:BP0436
英文名称:Risperidone
规格:100mg
本品为利培酮化学对照品,供HPLC法含量均匀度检查、溶出度检查;HPLC法含量测定时,作对照用。亦可在各利培酮国家标准中红外鉴别、X-射线衍射鉴别时,作对照用。本品使用前不需要干燥,可直接使用。含量以C23H27FN4O2计为99.9%。
CAS号:106266-06-2
分子式:C23H27FN4O2
分子量:410.49
结构式:

包装及装量:棕色西
格列风内酯标准品优惠价关键词:Griffonilide,BP1430,格列风内酯
·双*芬酸二乙*(代"胺")
编号:BP0688
英文名称:Diclofenac Diethylamine
规格:100mg
·京尼平苷酸
编号:BP1394
英文名称:Geniposidic acid
规格:约20mg/支
本品为京尼平苷酸化学对照品,供鉴别及含量测定用,含量以97.4%计,使用前不需干燥处理。
CAS号:27741-01-1
分子式:C16H22O10
分子量:374.34
结构式:

包装:棕色安瓿瓶
规格:约20毫克/支
储存条件:冷处(2~10℃)保存
注意事项:本品有引湿性,打开包装后一次使用完毕。
·交沙霉素
编号:BP1580
英文名称:Josamycin
规格:100mg/支
本品为交沙霉素标准品,供交沙霉素品种效价及组分测定用,使用前不需要干燥处理。本标准品使用时,精密称取适量,用灭菌水使溶解,并制成每1ml中约含1000单位的溶液。
分子式:C42H69NO15
分子量:827.99
结构式:

包装及装量:安瓿;100mg/支
储存条件:4℃避光保存
·羟甲香豆素
编号:BP0194
英文名称:Hymecromone
规格:100mg
本品为羟甲香豆素(Hymecromone)化学对照品。供含量测定用。
分子式:C10H8N3
分子量:176.17
CAS号:90-33-5
包装及装量:棕色小瓶装,每支约100毫克。
储存条件:密封,在干燥处保存
注意事项:使用前不需干燥处理。
格列风内酯标准品优惠价关键词:Griffonilide,BP1430,格列风内酯
我公司是一家生物高新技术企业,主要从事免疫学、分子生物学和常规生化试剂的研发、销*(代"售")。致力于为广大高校、科研院所和企事业单位提供一流的科研试剂和完善的技术服务,满足生物化学、分子生物学 、格列风内酯、细胞生物学、免疫学ELISA试剂盒等生物科技实验需求。我们诚以100%的热情换您100%的满意!
·对硝基*(代"*")甲醛
编号:BP1697
英文名称:4-Nitrobenzaldehyde
规格:50mg/支
本品为对硝基*(代"*")甲醛化学对照品,供*霉素品种有关物质定量检查用化学对照品,含量以对硝基*(代"*")甲醛(C7H5NO3)计,为99.7%。
CAS号:555-14-8
分子式:C7H5NO3
分子量:151.1
包装:安瓿
规格:约50mg/支
储存条件:2~8℃保存。
·利多卡因
编号:BP0274
英文名称:Lido*(代"c")aine
规格:100mg
本品利多卡因的化学对照品,供盐*(代"酸")利多卡因IR鉴别、HPLC鉴别和含量测定时作对照用。含量以C14H22N2O计,为99.8%。
分子式:C14H22N2O
分子量:234.34
CAS号:137-58-6
使用方法:使用前不需要干燥,可直接使用。
包装及装量:棕色西林瓶,100mg/支。
储存条件:避光,密封保存。
·奥利司他
编号:BP2184
英文名称:Orlistat
规格:100mg
本品为奥利司他化学对照品,供HPLC法含量测定用,按C29H53NO5计,含量为99.3%,使用前不需干燥处理。
CAS号:96829-58-2
分子式:C29H53NO5
分子量:495.73
结构式:

包装及装量:棕色安瓿瓶装,每支约100毫克。
储存条件:冷藏,遮光,密封保存。
·乌司他丁
编号:BP1887
英文名称:Ulinastatin
规格:1000u/瓶
本品为乌司他丁生物标准品,供乌司他丁效价测定用。
包装及装量:白色西林瓶,每瓶效价为 1000U 单位
储存条件:-20℃保存
注意事项:开瓶后溶解一次使用。
·阿莫西林克拉维酸系统适用性对照品
编号:BP1713
英文名称:Amoxicillin and Clavulanate Acid for system suitability
规格:30mg/支
本品为阿莫西林克拉维酸系统适用性对照品,供含量测定HPLC系统适用性试验用。
标准图谱:

包装:白色安瓿
规格:约30毫克/支
储存条件:2-8℃保存
我公司为您您提供格列风内酯相关的所有信息,如:第二名称、CAS号、规格、熔点、MSDS、用途、作用、毒性、价格等。规格包装,现货供应,极速发货,实验即可安排,试剂随叫随到,无需等待!
我公司坚持“品质至上”, 通过与国际知名品牌的合作,选择高品质的产品,提供优质的客户服务。格列风内酯现货供应,以保证产品质量和市场需求率为主要目标,争取能在科研生命道路上能够长久的服务于广大新老客户。
我公司生产供应销*(代"售")的标准品对照品产品正全系列现货促销,满分期待您的垂询选购格列风内酯标准品优惠价。
风险提示:丁香通仅作为第三方平台,为商家信息发布提供平台空间。用户咨询产品时请注意保护个人信息及财产安全,合理判断,谨慎选购商品,商家和用户对交易行为负责。对于医疗器械类产品,请先查证核实企业经营资质和医疗器械产品注册证情况。
技术资料暂无技术资料 索取技术资料










