相关产品推荐更多 >
万千商家帮你免费找货
0 人在求购买到急需产品
- 详细信息
- 文献和实验
- 技术资料
- 保存条件:
冷藏
- 保质期:
长期
- 英文名:
Landiolol Hydrochloride Enantiomer Ⅱ(Benzenepropanoic acid, 4-[(2R)-2-hydroxy-3-[[2-[(4-morpholinylcarbonyl)amino]ethyl]amino]propoxy]-, [(4S)-2,2-dimethyl-1,3-dioxolan-4-yl]methyl ester, hydrochloride)"
- 库存:
545
- 供应商:
北京百奥莱博科技有限公司
特别声明:本产品及我公司所售其他产品均为科研类试剂产品,严禁用于药物、医疗及其他非科研用途。
北京百奥莱博公司供应包括北京盐*(代"酸")兰地洛尔异构体Ⅱ对照品价格在内的化学标准品,化学对照品,杂志对照品,HPLC标准品,UV标准品等高品质标准品、对照品
名称:北京盐*(代"酸")兰地洛尔异构体Ⅱ对照品价格
编号:BP0915
英文名:Landiolol Hydrochloride Enantiomer Ⅱ(Benzenepropanoic acid, 4-[(2R)-2-hydroxy-3-[[2-[(4-morpholinylcarbonyl)amino]ethyl]amino]propoxy]-, [(4S)-2,2-dimethyl-1,3-dioxolan-4-yl]methyl ester, hydrochloride)"
品牌:百奥莱博
规格:20mg/支"
北京盐*(代"酸")兰地洛尔异构体Ⅱ对照品价格正在火爆热销,除此之外,为您推荐下别热销产品:
·尼扎替丁
编号:BP0649
英文名称:Nizatidine
规格:100mg/支
本品尼扎替丁为化学对照品,供IR鉴别和含量测定用,按C12H21N5O2S2计,含量为99.6%,使用前不需干燥处理。
CAS号:76963-41-2
分子式:C12H21N5O2S2
分子量:331.46
结构式:

包装:棕色西林瓶装。
规格:100毫克/支。
储存条件:遮光,密封保存。
·枸橼酸锌
编号:BP0282
英文名称:Zire Citrate
规格:100mg
本品为枸橼酸锌化学对照品,含两分子结晶水。供原子吸收法溶出度测定用。
分子式:C12H10O14Zn3·2H2O
分子量:610.35
CAS号:5990-32-9
包装及装量:棕色小瓶装,每支约100毫克。
储存条件:遮光,密闭保存。
注意事项:使用前不需干燥处理。
·盐*(代"酸")地匹福林前体
编号:BP0587
英文名称: Dipivefrin Hydrochloride impurity
规格:50mg
本品为盐*(代"酸")地匹福林杂质A化学对照品,化学名称(±)3,4-二羟基-2′-甲*基*乙酮-3,4-二新戊酸酯高*酸盐供检查用。按C19H27NO5·HClO4计,含量为100.0%。
分子式:C19H27NO5·HClO4
分子量:449.88
包装及装量:棕色小瓶装,每支约50毫克。
储存条件:遮光,密封,在干燥处保存
注意事项:使用前不需干燥处理。
·西贝母碱
编号:BP1064
英文名称:Sipeimine
规格:约20mg/支
本品为西贝母碱化学对照品,供鉴别或含量测定用,使用前不需干燥处理,含量以96.0%计。
CAS号:61825-98-7
分子式:C27H43NO3
分子量:429.64
结构式:

包装:棕色安瓿
规格:约20mg/支
储存条件:冷冻保存
北京盐*(代"酸")兰地洛尔异构体Ⅱ对照品价格关键词:Landiolol Hydrochloride Enantiomer Ⅱ(Benzenepropan,BP0915,盐*(代"酸")兰地洛尔异构体Ⅱ
盐*(代"酸")兰地洛尔异构体Ⅱ由我公司长期专业供应,公司为广大顾客提供 盐*(代"酸")兰地洛尔异构体Ⅱ产品说明,生产厂家,价格,规格,哪里买 。公司遵循高品质的产品,高质量的技术服务,合理的价格,是国内研发与生产,销*(代"售")合为一体的一家大型企业,我们承诺:以最少的经费,最高的效率,得到您最需要的实验结果,同时我们承诺,若有质量问题,无条件退换。
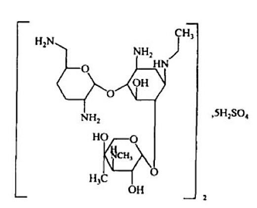
·依替米星
编号:BP1584
英文名称:Eitimicin
规格:200mg
本品为依替米星标准品,供抗生素微生物效价测定用,使用前不需干燥处理。
CAS号:362045-44-1
分子式:(C21H43N5O7)2·5H2SO4
分子量:1445.58
结构式:

包装:白色安瓿
规格:约200毫克/支
储存条件:2-8℃保存
·亚油酸甲酯
编号:BP1247
英文名称:Methyl linoleate
规格:约0.2ml/支
本品为亚油酸甲酯化学对照品,供含量测定用,含量以99.8%计,使用前不需干燥处理。
CAS号:112-63-0
分子式:C19H34O2
分子量:294
结构式:

包装:棕色安瓿瓶。
规格:约0.2毫升/支。
储存条件:冷冻(-20℃)保存。
注意事项:本品不稳定,打开包装后一次使用完毕。
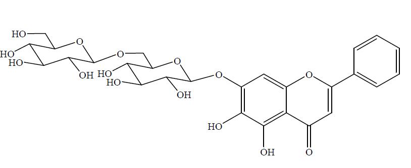
·木蝴蝶苷B
编号:BP1455
英文名称:Baicalein-7-O-diglucoside
规格:20mg/支
本品为木蝴蝶苷B化学对照品,供鉴别及含量测定用,含量以91.9%计,使用前不需干燥处理。
CAS号:114482-86-9
分子式:C27H30O15
分子量:594.16
结构式:

包装:棕色安瓿瓶
规格:约20mg/支
储存条件:冷处(2-10℃)保存
·莫诺苷
编号:BP1526
英文名称:Morroniside
规格:约20mg/支
本品为莫诺苷化学对照品,供鉴别及含量测定用,含量以96.3%计,使用前不需干燥处理。
CAS号:25406-64-8
分子式:C17H26O11
分子量:406.38
结构式:

包装:棕色安瓿瓶。
规格:约20毫克/支。
储存条件:冷处(2~10℃)保存。
注意事项:本品有引湿性,打开包装后一次使用完毕。
北京盐*(代"酸")兰地洛尔异构体Ⅱ对照品价格关键词:Landiolol Hydrochloride Enantiomer Ⅱ(Benzenepropan,BP0915,盐*(代"酸")兰地洛尔异构体Ⅱ
本公司免费技术支持,由专业的技术人员和销*(代"售")人员为科研用户提供全面的技术支持和完善的售前、售中、售后服务。百奥莱博暑期大促,凡够买我司各种生物试剂、抗体、ELISA试剂盒、抗原、血清、血浆、盐*(代"酸")兰地洛尔异构体Ⅱ、脱纤维血、抗凝血、裂解血、分子生物学试剂、培养基等优质试剂,均可享受超低会员价,各种高品质科研试剂及各种规格包装均可定制,如有需要请联系我们。
ARB13315 山羊白介素10(IL-10)血清中含量检测 Goat interleukin 10,IL-10 ELISA KIT
O-(3,4-二*-4-氧-1,2,3-*并三氮唑-3-基)-N,N,N",N"-四甲基脲六*磷酸酯 BTEE 164861-52-3
L-酪*酸二*盐 Norfloxacin 69847-45-6
ARB12413 大鼠细胞色素C(Cyt-C)免费代测 Rat cytochrome-c,cyt-c ELISA KIT
戊二酸 4-Ethyl-2-methoxyphenol 110-94-1
BL1070 聚蛋白胨
丙*(代"烯")葡聚糖凝胶S-1000 SF X-GlcA
PY01-185 荧光素 ind 25克
ARB12975 小鼠多巴胺D1受体(D1R)检测服务 Mouse dopamine d1 receptor,d1r ELISA KIT
L-鸟*酸盐*(代"酸")盐 DL-Isoleucine 3184-13-2
ARB10855 人抗类风湿关节炎核抗原(RANA)酶标法分析 Human rheumatoid arthritis associated nuclear artigen,rana ELISA KIT
ARB11136 人肽聚糖识别蛋白(PGRP-S)检测服务 Human pgrp-s ELISA kit
ARB12254 大鼠血管紧张素Ⅱ/生成素(AngⅡ)代做ELISA实验 Rat angiopoietin-2,ang-2 elis kit
BL0295 1640培养基
ARB10953 人肝细胞生长因子受体(HGFR)Elisa方法检测 Human hepatocyte growth factor receptor, hgfr ELISA KIT
ARB13899 猪血纤蛋白原降解产物(FDP)elisa检测 Porcine fibrinogen degradation product,fdp ELISA KIT
PY02-439 CLED培养基 250克
BFD015 鸡新城疫抗体检测试剂盒
乙酰基乙酰**(代"胺") 2-Aminoisobutyric Acid 102-01-2
F030832 BIOTIN标记小鼠抗猪IgG抗体 Monoclonal Mouse Anti-Pig IgG*BIOTIN
ARB12583 大鼠烟*(代"碱")型乙酰胆碱受体(N-AChR)酶免分析 Rat nicotinic acetylcholine receptor,n-achr ELISA KIT
我公司倾力为客户提供最优 、最全、最有效的盐*(代"酸")兰地洛尔异构体Ⅱ等科研试剂产品,质量被全国各大院校科研机构认可。 同时,我们售前,售中,售后全程为您服务。欢迎来电咨询!
北京百莱博科技有限公司专业生产供应销*(代"售")生物试剂、化学试剂、抗原抗体、血清血浆、Elisa试剂盒,更多试剂产品需求,欢迎来电咨询选购北京盐*(代"酸")兰地洛尔异构体Ⅱ对照品价格。
风险提示:丁香通仅作为第三方平台,为商家信息发布提供平台空间。用户咨询产品时请注意保护个人信息及财产安全,合理判断,谨慎选购商品,商家和用户对交易行为负责。对于医疗器械类产品,请先查证核实企业经营资质和医疗器械产品注册证情况。
文献和实验、乙醇、甲酸、冰醋酸实验试剂均为分析纯。黄柏、白芍、当归等中药均购置于杭州临安市医药药材公司,经2005版《中国药典》鉴别均为正品。前列安颗粒由本院制剂室提供,盐酸小檗碱、芍药苷、阿魏酸对照品均由杭州市食品药品监督管理局提供。 2 方法与结果 2.1 对照品溶液和供试品溶液的制备 2.1.1 黄柏供试品液、药材对照液、对照品液制备 取前列安颗粒3g(含黄柏生药0.225g)加甲醇20ml,超声处理30min,滤过,滤液浓缩至约1ml作为供试品液;另取黄柏
液相色谱仪,每份重复测定2次,计算。测定结果见表2。 2.3.2 TLCS法分别吸取各供试品溶液6 μl,对照品溶液6,8 μl交叉点于同一薄层板上,按上述方法展开、扫描,测量供试品与对照品吸收度积分值,测定,计算,即得。色谱图见图4,结果见表2。表2 高效液相色谱法与薄层扫描色谱法含量测定结果比较(略) 由表2可以看出,对同一批样品的含量测定结果高效液相色谱法小于薄层扫描色谱法。因齐墩果酸和熊果酸互为同分异构体,TLCS无法分开,导致定量不准确。且由于显色等诸多因素影响,同板与异
器,Chemstations工作站),BS210S型电子天平(德国赛多利斯股份公司)。 1.2 试药 原儿茶醛对照品(中国药品生物制品检定所),甲醇为色谱纯(天津科密欧化学试剂有限公司),水为重蒸馏水,近视康合剂(自制,其中药材经鉴定均符合2005年版《中国药典》各品种项下标准),其它试剂均为分析纯。 2 处方与制备 2.1 处方 丹参、当归、党参、白术、枸杞子、锁阳、柴胡、菊花、石决明、甘草、白药、茯苓。 2.2 制备工艺
技术资料暂无技术资料 索取技术资料










